Suppr超能文献

替莫唑胺紫苏醇缀合物(NEO212)在小鼠体内的药代动力学特性。

Pharmacokinetic properties of the temozolomide perillyl alcohol conjugate (NEO212) in mice.

作者信息

Cho Hee-Yeon, Swenson Steve, Thein Thu Zan, Wang Weijun, Wijeratne Neloni R, Marín-Ramos Nagore I, Katz Jonathan E, Hofman Florence M, Schönthal Axel H, Chen Thomas C

机构信息

Department of Neurosurgery, Keck School of Medicine, University of Southern California, Los Angeles, California, USA.

Lawrence J. Ellison Institute for Transformative Medicine, University of Southern California, Los Angeles, California, USA.

出版信息

Neurooncol Adv. 2020 Nov 20;2(1):vdaa160. doi: 10.1093/noajnl/vdaa160. eCollection 2020 Jan-Dec.

Abstract

BACKGROUND

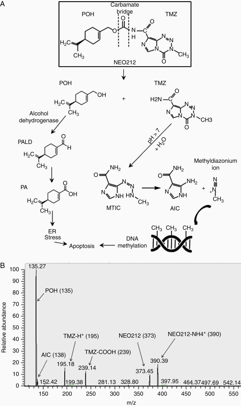
NEO212 is a novel small-molecule anticancer agent that was generated by covalent conjugation of the natural monoterpene perillyl alcohol (POH) to the alkylating agent temozolomide (TMZ). It is undergoing preclinical development as a therapeutic for brain-localized malignancies. The aim of this study was to characterize metabolism and pharmacokinetic (PK) properties of NEO212 in preclinical models.

METHODS

We used mass spectrometry (MS) and modified high-performance liquid chromatography to identify and quantitate NEO212 and its metabolites in cultured glioblastoma cells, in mouse plasma, brain, and excreta after oral gavage.

RESULTS

Our methods allowed identification and quantitation of NEO212, POH, TMZ, as well as primary metabolites 5-aminoimidazole-4-carboxamide (AIC) and perillic acid (PA). Intracellular concentrations of TMZ were greater after treatment of U251TR cells with NEO212 than after treatment with TMZ. The half-life of NEO212 in mouse plasma was 94 min. In mice harboring syngeneic GL261 brain tumors, the amount of NEO212 was greater in the tumor-bearing hemisphere than in the contralateral normal hemisphere. The brain:plasma ratio of NEO212 was greater than that of TMZ. Excretion of unaltered NEO212 was through feces, whereas its AIC metabolite was excreted via urine.

CONCLUSIONS

NEO212 preferentially concentrates in brain tumor tissue over normal brain tissue, and compared to TMZ has a higher brain:plasma ratio, altogether revealing favorable features to encourage its further development as a brain-targeted therapeutic. Its breakdown into well-characterized, long-lived metabolites, in particular AIC and PA, will provide useful equivalents for PK studies during further drug development and clinical trials with NEO212.

摘要

背景

NEO212是一种新型小分子抗癌剂,由天然单萜紫苏醇(POH)与烷化剂替莫唑胺(TMZ)共价结合而成。它正作为一种针对脑局部恶性肿瘤的治疗药物进行临床前开发。本研究的目的是在临床前模型中表征NEO212的代谢和药代动力学(PK)特性。

方法

我们使用质谱(MS)和改良的高效液相色谱法来鉴定和定量口服灌胃后培养的胶质母细胞瘤细胞、小鼠血浆、脑和排泄物中的NEO212及其代谢物。

结果

我们的方法能够鉴定和定量NEO212、POH、TMZ以及主要代谢物5-氨基咪唑-4-甲酰胺(AIC)和紫苏酸(PA)。用NEO212处理U251TR细胞后,细胞内TMZ的浓度高于用TMZ处理后。NEO212在小鼠血浆中的半衰期为94分钟。在患有同基因GL261脑肿瘤的小鼠中,荷瘤半球的NEO212量大于对侧正常半球。NEO212的脑血浆比高于TMZ。未改变的NEO212通过粪便排泄,而其AIC代谢物通过尿液排泄。

结论

与正常脑组织相比,NEO212优先在脑肿瘤组织中富集,并且与TMZ相比具有更高的脑血浆比,这些特性共同表明它具有良好的特征,可鼓励其作为脑靶向治疗药物进一步开发。它分解为特征明确的长寿代谢物,特别是AIC和PA,将为NEO212进一步药物开发和临床试验期间的PK研究提供有用的等效物。

https://cdn.ncbi.nlm.nih.gov/pmc/blobs/9d1e/7764505/bb3b2da28bdc/vdaa160_fig1.jpg

文献AI研究员

20分钟写一篇综述,助力文献阅读效率提升50倍。

立即体验

用中文搜PubMed

大模型驱动的PubMed中文搜索引擎

马上搜索

文档翻译

学术文献翻译模型,支持多种主流文档格式。

立即体验