Suppr超能文献

混合酸三酰甘油 POP、PPO 及其混合物的α-晶型结晶动力学研究。

Kinetic Study on Alpha-Form Crystallization of Mixed-Acid Triacylglycerols POP, PPO, and Their Mixture.

机构信息

Graduate School of Advanced Science and Engineering, Hiroshima University, Higashi-Hiroshima 739-8521, Japan.

School of Food and Nutritional Sciences, University of Shizuoka, Shizuoka 422-8526, Japan.

出版信息

Molecules. 2021 Jan 4;26(1):220. doi: 10.3390/molecules26010220.

Abstract

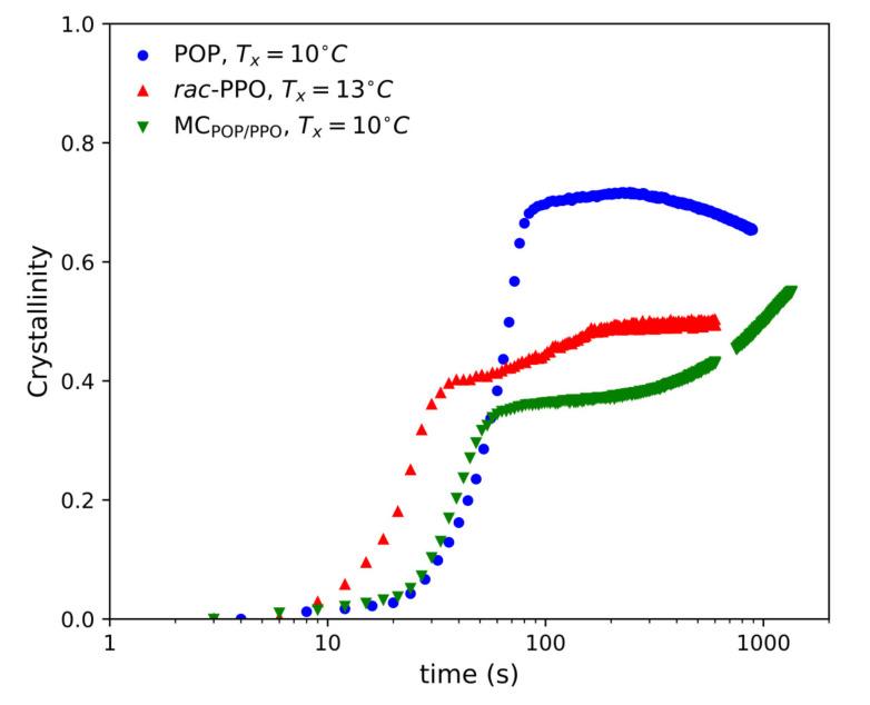
The crystallization behavior of the metastable α form of triacylglycerols (TAGs) plays a critical role as a precursor for the crystallization of more stable β' and β forms for various applications in food and pharmaceutical products. However, precise analysis of the crystallization kinetics of α has not been performed, likely due to its rapid and complex behavior. This paper presents the observation results of the initial stages of the isothermal crystallization kinetics of α forms of 1,3-dipalmitoyl-2-oleoyl-glycerol (POP), 1,2-dipalmitoyl-3-oleoyl--glycerol (-PPO), and molecular compound (MC) crystals of a POP/-PPO (1/1) mixture (MCPOP/PPO) using synchrotron radiation time-resolved X-ray diffraction and polarized optical microscopy. In all the TAGs, α crystals with a worm-like morphology started to grow rapidly in the first stage. Then, the α crystals slowly transformed into more stable forms in different manners for different TAG samples. In POP, the conversion was simple, as the α-2 form transformed into γ-3, whereas in -PPO, the lamellar distance values of the α-2 form continuously decreased with time and changed into the α-3 form. In the MCPOP/PPO crystals, in contrast, separate crystallization of α-2 of a -PPO fraction initially occurred, followed by the crystallization of α-2 of POP, and the two α forms merged into α-2 of MCPOP/PPO. This separate crystallization was caused by large differences in the crystallization kinetics of the α forms of POP and -PPO.

摘要

甘油三酸酯(TAGs)的亚稳 α 形式的结晶行为在各种食品和医药产品中的应用中起着至关重要的作用,是更稳定的β'和β形式结晶的前体。然而,由于其快速和复杂的行为,尚未对 α 的结晶动力学进行精确分析。本文利用同步辐射时间分辨 X 射线衍射和偏光显微镜,观察了 1,3-二棕榈酰-2-油酰甘油(POP)、1,2-二棕榈酰-3-油酰甘油(-PPO)和 POP/-PPO(1/1)混合物(MCPOP/PPO)的分子化合物(MC)晶体的等温结晶动力学的初始阶段的α形式的观察结果。在所有的 TAGs 中,具有虫状形态的α晶体在第一阶段迅速开始生长。然后,α晶体以不同的方式缓慢转化为不同的 TAG 样品的更稳定形式。在 POP 中,转化很简单,因为α-2 形式转化为γ-3,而在 -PPO 中,α-2 形式的层间距值随时间连续减小,并转化为α-3 形式。相比之下,在 MCPOP/PPO 晶体中,最初先发生 a -PPO 分数的α-2 的独立结晶,然后是 POP 的α-2 的结晶,并且这两种α形式合并为 MCPOP/PPO 的α-2。这种独立结晶是由于 POP 和 -PPO 的α 形式的结晶动力学存在很大差异所致。

https://cdn.ncbi.nlm.nih.gov/pmc/blobs/586d/7794724/ffcde36aeedf/molecules-26-00220-g001.jpg

文献检索

告别复杂PubMed语法,用中文像聊天一样搜索,搜遍4000万医学文献。AI智能推荐,让科研检索更轻松。

立即免费搜索

文件翻译

保留排版,准确专业,支持PDF/Word/PPT等文件格式,支持 12+语言互译。

免费翻译文档

深度研究

AI帮你快速写综述,25分钟生成高质量综述,智能提取关键信息,辅助科研写作。

立即免费体验