Suppr超能文献

预测放疗对前列腺癌患者膀胱晚期毒性的影响:一项观察性研究。

Predicting Radiotherapy Impact on Late Bladder Toxicity in Prostate Cancer Patients: An Observational Study.

作者信息

Catucci Francesco, Alitto Anna Rita, Masciocchi Carlotta, Dinapoli Nicola, Gatta Roberto, Martino Antonella, Mazzarella Ciro, Fionda Bruno, Frascino Vincenzo, Piras Antonio, D'Aviero Andrea, Preziosi Francesco, Palazzoni Giovanni, Valentini Vincenzo, Mantini Giovanna

机构信息

UOC Radioterapia Oncologica, Dipartimento di Diagnostica per Immagini, Radioterapia Oncologica ed Ematologia,Fondazione Policlinico Universitario "A. Gemelli" IRCCS, Largo Agostino Gemelli 8, 00168 Roma, Italy.

Dipartimento di Scienze Cliniche e Sperimentali dell'Università Degli Studi di Brescia, v.le Europa 11, 25121 Brescia, Italy.

出版信息

Cancers (Basel). 2021 Jan 6;13(2):175. doi: 10.3390/cancers13020175.

Abstract

BACKGROUND AND PURPOSE

The aim of our study was to elaborate a suitable model on bladder late toxicity in prostate cancer (PC) patients treated by radiotherapy with volumetric technique.

MATERIALS AND METHODS

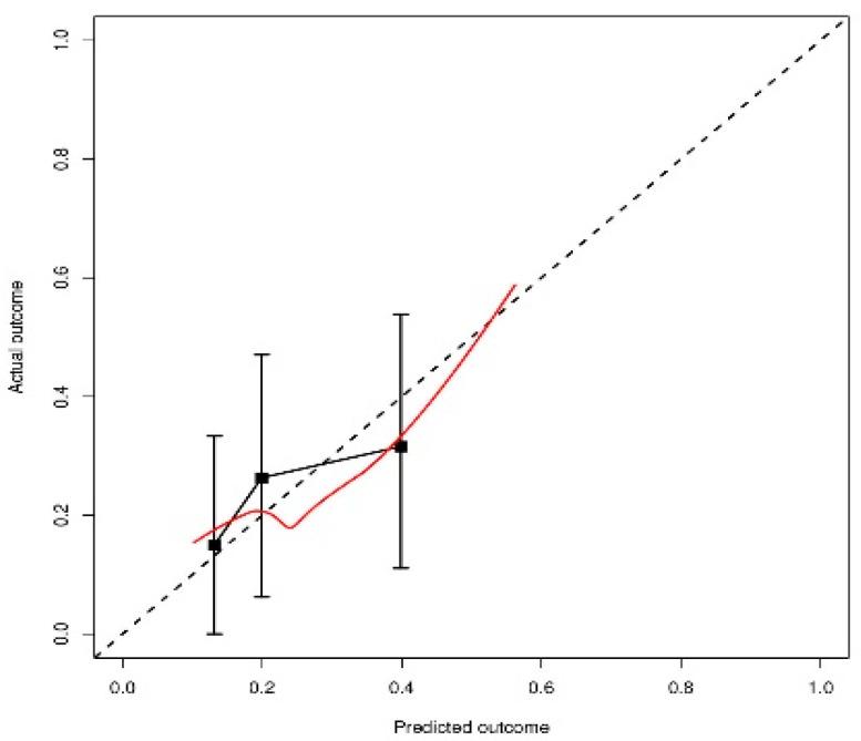
PC patients treated between September 2010 and April 2017 were included in the analysis. An observational study was performed collecting late toxicity data of any grade, according to RTOG and CTCAE 4.03 scales, cumulative dose volumes histograms were exported for each patient. Vdose, the value of dose to a specific volume of organ at risk (OAR), impact was analyzed through the Mann-Whitney rank-sum test. Logistic regression was used as the final model. The model performance was estimated by taking 1000 samples with replacement from the original dataset and calculating the AUC average. In addition, the calibration plot (Hosmer-Lemeshow goodness-of-fit test) was used to evaluate the performance of internal validation. RStudio Software version 3.3.1 and an in house developed software package "Moddicom" were used.

RESULTS

Data from 175 patients were collected. The median follow-up was 39 months (min-max 3.00-113.00). We performed Mann-Whitney rank-sum test with continuity correction in the subset of patients with late bladder toxicity grade ≥ 2: a statistically significant -value with a Vdose of 51.43 Gy by applying a logistic regression model (coefficient 4.3, value 0.025) for the prediction of the development of late G ≥ 2 GU toxicity was observed. The performance for the model's internal validation was evaluated, with an AUC equal to 0.626. Accuracy was estimated through the elaboration of a calibration plot.

CONCLUSIONS

Our preliminary results could help to optimize treatment planning procedures and customize treatments.

摘要

背景与目的

我们研究的目的是建立一个适用于采用容积技术进行放射治疗的前列腺癌(PC)患者膀胱晚期毒性的模型。

材料与方法

纳入2010年9月至2017年4月期间接受治疗的PC患者进行分析。进行一项观察性研究,根据RTOG和CTCAE 4.03量表收集任何级别的晚期毒性数据,为每位患者导出累积剂量体积直方图。通过Mann-Whitney秩和检验分析特定体积的危及器官(OAR)的剂量值Vdose的影响。使用逻辑回归作为最终模型。通过从原始数据集中有放回地抽取1000个样本并计算AUC平均值来估计模型性能。此外,使用校准图(Hosmer-Lemeshow拟合优度检验)来评估内部验证的性能。使用RStudio软件版本3.3.1和一个内部开发的软件包“Moddicom”。

结果

收集了175例患者的数据。中位随访时间为39个月(最小值 - 最大值为3.00 - 113.00)。我们对晚期膀胱毒性分级≥2的患者子集进行了连续性校正的Mann-Whitney秩和检验:通过应用逻辑回归模型(系数4.3,P值0.025)预测晚期G≥2 GU毒性的发生,观察到Vdose为51.43 Gy时具有统计学意义的P值。评估了模型内部验证的性能,AUC等于0.626。通过绘制校准图估计准确性。

结论

我们的初步结果有助于优化治疗计划程序并实现个体化治疗。

https://cdn.ncbi.nlm.nih.gov/pmc/blobs/8ca6/7825573/a5e2b8a29c28/cancers-13-00175-g001.jpg

文献AI研究员

20分钟写一篇综述,助力文献阅读效率提升50倍。

立即体验

用中文搜PubMed

大模型驱动的PubMed中文搜索引擎

马上搜索

文档翻译

学术文献翻译模型,支持多种主流文档格式。

立即体验