Department of Surgical, Oncological and Stomatological Disciplines (DiChirOnS), University of Palermo, 90133 Palermo, Italy.
Int J Environ Res Public Health. 2021 Jan 8;18(2):446. doi: 10.3390/ijerph18020446.
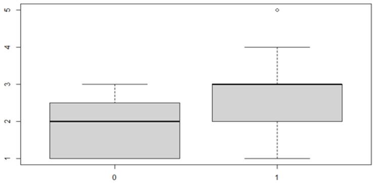
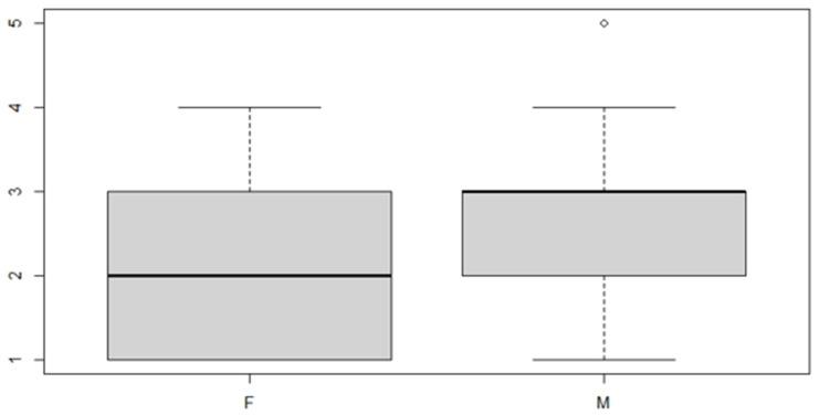
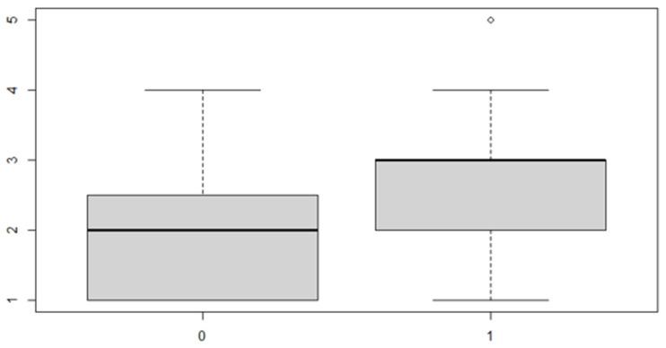
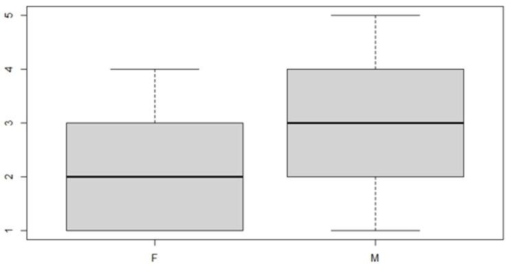
In the formulation of an orthodontic treatment plan, the three-dimensional analysis of the dental arches represents a fundamental moment for the evaluation of all the morphological parameters necessary in order to have a correct and complete diagnosis. In this regard, the study of the dental arches on the horizontal plane is sometimes neglected or not thorough enough. When evaluating the transverse dimensions of the dental upper arche, the presence of an asymmetry is frequently found, and it means that an hemiarch is larger than the other. Furthermore, any variation in one of the three planes of space always involves an alteration also on the other two planes in order to have compensation. The morphology of a bone segment depends on various factors, mainly genetical, acquired and environmental. Regarding the environmental factors, the function determines the morphology, but this in turn determines the function. In the case of unilateral mastication, the upper maxilla will be asymmetrical, so growing patients will have compensation on other skull bones. From these considerations arises the need for a careful study of the horizontal plane of the maxilla in the presence of a malocclusion during diagnostic evaluations. These asymmetries, however, must be evaluated and quantified in the diagnostic phase in order to formulate a correct plan of treatment. The aim of this work is to demonstrate that there are almost always transverse asymmetries of the maxilla, albeit of a slight entity, even in healthy and apparently symmetrical subjects.
在制定正畸治疗计划时,对牙弓的三维分析是评估所有必要形态参数的基本环节,以便进行正确和完整的诊断。在这方面,对牙弓的水平分析有时会被忽视或不够彻底。在评估上颌牙弓的横向尺寸时,经常会发现存在不对称的情况,这意味着半侧牙弓比另一侧更大。此外,空间三个平面中的任何一个变化总是会导致其他两个平面也发生改变,以进行代偿。骨段的形态取决于多种因素,主要包括遗传、获得性和环境因素。就环境因素而言,功能决定形态,但反过来形态也决定功能。在单侧咀嚼的情况下,上颌骨会不对称,因此生长中的患者会在其他颅骨上进行代偿。基于这些考虑,在诊断评估中出现错牙合时,需要仔细研究上颌骨的水平平面。然而,这些不对称性必须在诊断阶段进行评估和量化,以便制定正确的治疗计划。本研究旨在证明,即使在健康且表面对称的个体中,上颌骨也几乎总是存在横向不对称,尽管程度较轻。