Suppr超能文献

铜催化不饱和化合物的乙烯型需氧氧化的计算探索

Computational exploration of copper catalyzed vinylogous aerobic oxidation of unsaturated compounds.

作者信息

Wang Ting, Zhou Yu, Xu Yao, Cheng Gui-Juan

机构信息

Warshel Institute for Computational Biology, Shenzhen Key Laboratory of Steroid Drug Development, School of Life and Health Sciences, The Chinese University of Hong Kong (Shenzhen), Shenzhen, 518172, China.

School of Life Sciences, University of Science and Technology of China, Hefei, 230027, Anhui, China.

出版信息

Sci Rep. 2021 Jan 14;11(1):1304. doi: 10.1038/s41598-020-80188-2.

Abstract

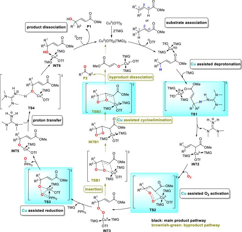
Selective oxidation is one of the most important and challenging transformations in both academic research and chemical industry. Recently, a highly selective and efficient way to synthesize biologically active γ-hydroxy-α,β-unsaturated molecules from Cu-catalyzed vinylogous aerobic oxidation of α,β- and β,γ-unsaturated compounds has been developed. However, the detailed reaction mechanism remains elusive. Herein, we report a density functional theory study on this Cu-catalyzed vinylogous aerobic oxidation of γ,γ-disubstituted α,β- and β,γ-unsaturated isomers. Our computational study unveils detailed mechanism for each elementary step, i.e. deprotonation, O activation, and reduction. Besides, the origin of regioselectivity, divergent reactivities of substrates as well as reducing agents, and the byproduct generation have also been investigated. Notably, the copper catalyst retains the + 2 oxidation state through the whole catalytic cycle and plays essential roles in multiple steps. These findings would provide hints on mechanistic studies and future development of transition metal-catalyzed aerobic oxidation reactions.

摘要

选择性氧化是学术研究和化学工业中最重要且最具挑战性的转化反应之一。最近,已经开发出一种高度选择性且高效的方法,通过铜催化的α,β - 和β,γ - 不饱和化合物的烯醇式有氧氧化来合成具有生物活性的γ - 羟基-α,β - 不饱和分子。然而,详细的反应机理仍然不清楚。在此,我们报道了关于这种铜催化的γ,γ - 二取代α,β - 和β,γ - 不饱和异构体的烯醇式有氧氧化的密度泛函理论研究。我们的计算研究揭示了每个基元步骤的详细机理,即去质子化、氧活化和还原。此外,还研究了区域选择性的起源、底物以及还原剂的不同反应性和副产物的生成。值得注意的是,铜催化剂在整个催化循环中保持 +2 氧化态,并在多个步骤中发挥重要作用。这些发现将为过渡金属催化的有氧氧化反应的机理研究和未来发展提供线索。

https://cdn.ncbi.nlm.nih.gov/pmc/blobs/da61/7809353/f1b5c50b810e/41598_2020_80188_Sch1_HTML.jpg

文献检索

告别复杂PubMed语法,用中文像聊天一样搜索,搜遍4000万医学文献。AI智能推荐,让科研检索更轻松。

立即免费搜索

文件翻译

保留排版,准确专业,支持PDF/Word/PPT等文件格式,支持 12+语言互译。

免费翻译文档

深度研究

AI帮你快速写综述,25分钟生成高质量综述,智能提取关键信息,辅助科研写作。

立即免费体验