• 文献检索
  • 文档翻译
  • 深度研究
  • 学术资讯
  • Suppr Zotero 插件Zotero 插件
  • 邀请有礼
  • 套餐&价格
  • 历史记录
应用&插件
Suppr Zotero 插件Zotero 插件浏览器插件Mac 客户端Windows 客户端微信小程序
定价
高级版会员购买积分包购买API积分包
服务
文献检索文档翻译深度研究API 文档MCP 服务
关于我们
关于 Suppr公司介绍联系我们用户协议隐私条款
关注我们

Suppr 超能文献

核心技术专利:CN118964589B侵权必究
粤ICP备2023148730 号-1Suppr @ 2026

文献检索

告别复杂PubMed语法,用中文像聊天一样搜索,搜遍4000万医学文献。AI智能推荐,让科研检索更轻松。

立即免费搜索

文件翻译

保留排版,准确专业,支持PDF/Word/PPT等文件格式,支持 12+语言互译。

免费翻译文档

深度研究

AI帮你快速写综述,25分钟生成高质量综述,智能提取关键信息,辅助科研写作。

立即免费体验

tertiary 医院学术中心急性肾损伤的季节性:一项观察性队列研究。

Seasonality of acute kidney injury in a tertiary hospital academic center: an observational cohort study.

机构信息

U.O.C. Nefrologia, Azienda Ospedaliera Universitaria Integrata di Verona, Verona, Italy.

U.O.C. Nefrologia, Dipartimento di Scienze Mediche e Chirurgiche, Fondazione Policlinico Universitario A. Gemelli IRCCS, Rome, Italy.

出版信息

Environ Health. 2021 Jan 15;20(1):8. doi: 10.1186/s12940-021-00691-5.

DOI:10.1186/s12940-021-00691-5
PMID:33451322
原文链接:https://pmc.ncbi.nlm.nih.gov/articles/PMC7811228/
Abstract

BACKGROUND

The aim of our study was to describe seasonal trends of acute kidney injury (AKI) and its relationship with weather conditions in a hospitalized population.

METHODS

We retrospectively collected demographic (age, sex), clinical (ICD-9-CM codes of diagnosis discharge) and laboratory data (creatinine values) from the inpatient population admitted to Fondazione Policlinico Universitario A. Gemelli IRCCS between January 2010 and December 2014 with inclusion of all patients ≥18 years with at least two values available for creatinine. The outcome of interest was AKI development, defined according to creatinine kinetics criteria. The exposures of interest were the months and seasons of the year; air temperature and humidity level were also evaluated. Log-binomial regression models adjusted for age, sex, eGFR, comorbidities, Charlson/Deyo index score, year of hospitalization were used to estimate risk ratios (RR) and 95% confidential intervals (CI).

RESULTS

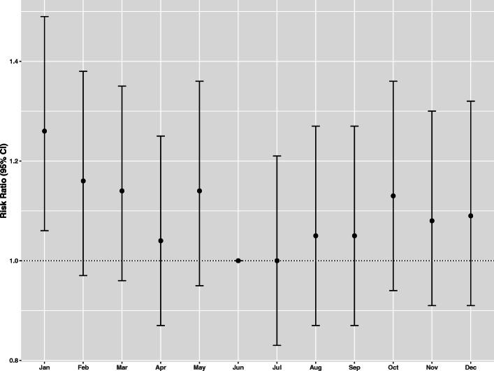
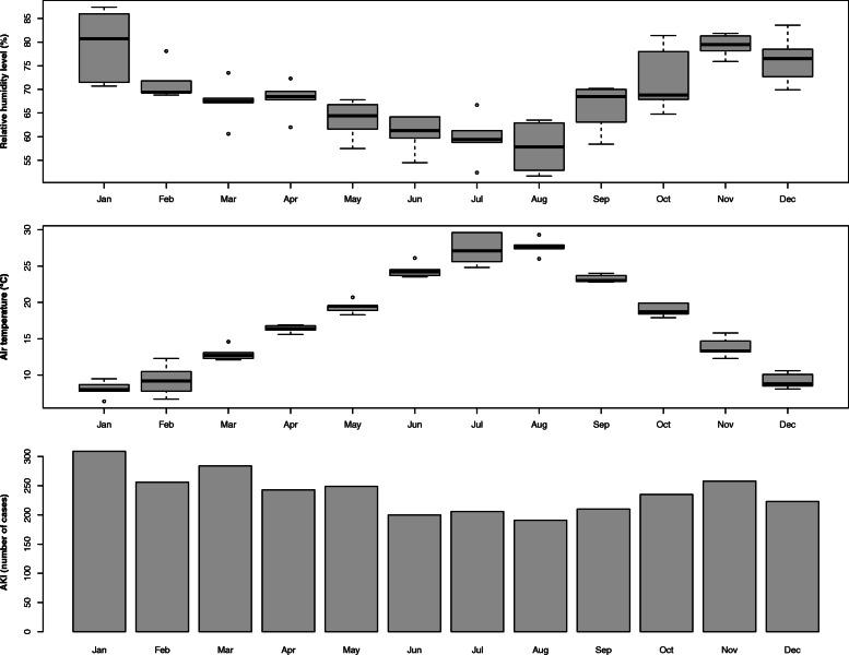
A total of 64,610 patients met the inclusion criteria. AKI occurred in 2864 (4.4%) hospital admissions. After full adjustment, winter period was associated with increased risk of AKI (RR 1.16, 95% CI 1.05, 1.29, p=0.003). Lower air temperature and higher humidity level were associated with risk of AKI, however in multivariable-adjusted models only higher humidity level showed a significant and independent association.

CONCLUSIONS

AKI is one of the most common complications of hospitalized populations with a defined seasonal pattern and a significant increase in incidence during wintertime; weather conditions, particularly higher humidity level, are independent predictors of AKI and could partially justify the observed seasonal variations.

摘要

背景

本研究旨在描述住院人群中急性肾损伤(AKI)的季节性趋势及其与天气条件的关系。

方法

我们回顾性地收集了 2010 年 1 月至 2014 年 12 月期间在 Fondazione Policlinico Universitario A. Gemelli IRCCS 住院的患者的人口统计学(年龄、性别)、临床(ICD-9-CM 诊断出院代码)和实验室数据(肌酐值),纳入所有年龄≥18 岁且至少有两次肌酐值的患者。研究的结局是 AKI 的发生,根据肌酐动力学标准定义。研究的暴露因素是一年中的月份和季节;还评估了空气温度和湿度水平。使用调整了年龄、性别、eGFR、合并症、Charlson/Deyo 指数评分和住院年份的对数二项式回归模型来估计风险比(RR)和 95%置信区间(CI)。

结果

共有 64610 名患者符合纳入标准。在 2864 次住院治疗中发生了 AKI(4.4%)。经过完全调整后,冬季与 AKI 风险增加相关(RR 1.16,95%CI 1.05,1.29,p=0.003)。较低的空气温度和较高的湿度水平与 AKI 风险相关,但在多变量调整模型中,只有较高的湿度水平显示出显著且独立的相关性。

结论

AKI 是住院人群中最常见的并发症之一,具有明确的季节性模式,冬季发病率显著增加;天气条件,特别是较高的湿度水平,是 AKI 的独立预测因素,部分解释了观察到的季节性变化。

https://cdn.ncbi.nlm.nih.gov/pmc/blobs/0910/7811228/5e624574377f/12940_2021_691_Fig3_HTML.jpg
https://cdn.ncbi.nlm.nih.gov/pmc/blobs/0910/7811228/dc33afcff901/12940_2021_691_Fig1_HTML.jpg
https://cdn.ncbi.nlm.nih.gov/pmc/blobs/0910/7811228/9b414cdd904c/12940_2021_691_Fig2_HTML.jpg
https://cdn.ncbi.nlm.nih.gov/pmc/blobs/0910/7811228/5e624574377f/12940_2021_691_Fig3_HTML.jpg
https://cdn.ncbi.nlm.nih.gov/pmc/blobs/0910/7811228/dc33afcff901/12940_2021_691_Fig1_HTML.jpg
https://cdn.ncbi.nlm.nih.gov/pmc/blobs/0910/7811228/9b414cdd904c/12940_2021_691_Fig2_HTML.jpg
https://cdn.ncbi.nlm.nih.gov/pmc/blobs/0910/7811228/5e624574377f/12940_2021_691_Fig3_HTML.jpg

相似文献

1
Seasonality of acute kidney injury in a tertiary hospital academic center: an observational cohort study. tertiary 医院学术中心急性肾损伤的季节性:一项观察性队列研究。
Environ Health. 2021 Jan 15;20(1):8. doi: 10.1186/s12940-021-00691-5.
2
Serum sodium variability and acute kidney injury: a retrospective observational cohort study on a hospitalized population.血清钠变异性与急性肾损伤:一项住院人群的回顾性观察队列研究。
Intern Emerg Med. 2021 Apr;16(3):617-624. doi: 10.1007/s11739-020-02462-5. Epub 2020 Aug 9.
3
Hyperchloremia and acute kidney injury: a retrospective observational cohort study on a general mixed medical-surgical not ICU-hospitalized population.高氯血症与急性肾损伤:一项针对普通混合内科-外科非 ICU 住院人群的回顾性观察性队列研究。
Intern Emerg Med. 2020 Mar;15(2):273-280. doi: 10.1007/s11739-019-02165-6. Epub 2019 Aug 6.
4
Serum Potassium Disorders Predict Subsequent Kidney Injury: A Retrospective Observational Cohort Study of Hospitalized Patients.血清钾紊乱预测后续肾损伤:一项住院患者的回顾性观察队列研究。
Kidney Blood Press Res. 2022;47(4):270-276. doi: 10.1159/000521833. Epub 2022 Jan 13.
5
Seasonality of acute kidney injury incidence and mortality among hospitalized patients.住院患者急性肾损伤发病率和死亡率的季节性。
Nephrol Dial Transplant. 2018 Aug 1;33(8):1354-1362. doi: 10.1093/ndt/gfy011.
6
Seasonal pattern in elderly hospitalized with acute kidney injury: a retrospective nationwide study in Italy.意大利全国范围内一项老年急性肾损伤住院患者季节性模式的回顾性研究。
Int Urol Nephrol. 2022 Dec;54(12):3243-3253. doi: 10.1007/s11255-022-03271-9. Epub 2022 Jul 2.
7
Hospital-acquired acute kidney injury and hospital readmission: a cohort study.医院获得性急性肾损伤与再次入院:一项队列研究。
Am J Kidney Dis. 2015 Feb;65(2):275-82. doi: 10.1053/j.ajkd.2014.08.024. Epub 2014 Oct 22.
8
Seasonal variation in the detection rate and all-cause in-hospital mortality of AKI in China: A nationwide cohort study.中国急性肾损伤(AKI)检出率和全因住院死亡率的季节性变化:一项全国性队列研究。
Front Public Health. 2022 Oct 3;10:947185. doi: 10.3389/fpubh.2022.947185. eCollection 2022.
9
Acute kidney injury in hospitalized patients with nonexacerbated chronic obstructive pulmonary disease.住院的非加重期慢性阻塞性肺疾病患者的急性肾损伤。
BMC Pulm Med. 2020 Apr 29;20(1):108. doi: 10.1186/s12890-020-1161-7.
10
Renal function changes and seasonal temperature in patients undergoing cardiac surgery.心脏手术患者的肾功能变化与季节温度
Chronobiol Int. 2014 Mar;31(2):175-81. doi: 10.3109/07420528.2013.836533. Epub 2013 Oct 28.

引用本文的文献

1
Associations between short-term exposure to ambient temperature and renal disease mortality in Japan during 1979-2019: A time-stratified case-crossover analysis.1979 - 2019年日本短期暴露于环境温度与肾脏疾病死亡率之间的关联:一项时间分层病例交叉分析
Environ Epidemiol. 2024 Feb 2;8(1):e293. doi: 10.1097/EE9.0000000000000293. eCollection 2024 Feb.
2
Where do you live and what do you do? Two questions that might impact your kidney health.你住在哪里以及你从事什么工作?这两个问题可能会影响你的肾脏健康。
Front Nephrol. 2022 Oct 5;2:1011964. doi: 10.3389/fneph.2022.1011964. eCollection 2022.
3
Seasonal variation in the detection rate and all-cause in-hospital mortality of AKI in China: A nationwide cohort study.

本文引用的文献

1
Serum sodium variability and acute kidney injury: a retrospective observational cohort study on a hospitalized population.血清钠变异性与急性肾损伤:一项住院人群的回顾性观察队列研究。
Intern Emerg Med. 2021 Apr;16(3):617-624. doi: 10.1007/s11739-020-02462-5. Epub 2020 Aug 9.
2
Hyperchloremia and acute kidney injury: a retrospective observational cohort study on a general mixed medical-surgical not ICU-hospitalized population.高氯血症与急性肾损伤:一项针对普通混合内科-外科非 ICU 住院人群的回顾性观察性队列研究。
Intern Emerg Med. 2020 Mar;15(2):273-280. doi: 10.1007/s11739-019-02165-6. Epub 2019 Aug 6.
3
Seasonality of acute kidney injury incidence and mortality among hospitalized patients.
中国急性肾损伤(AKI)检出率和全因住院死亡率的季节性变化:一项全国性队列研究。
Front Public Health. 2022 Oct 3;10:947185. doi: 10.3389/fpubh.2022.947185. eCollection 2022.
4
Acute kidney injury in Turkey: epidemiological characteristics, etiology, clinical course, and prognosis.土耳其的急性肾损伤:流行病学特征、病因、临床经过和预后。
BMC Nephrol. 2022 Oct 5;23(1):326. doi: 10.1186/s12882-022-02933-1.
5
Seasonal pattern in elderly hospitalized with acute kidney injury: a retrospective nationwide study in Italy.意大利全国范围内一项老年急性肾损伤住院患者季节性模式的回顾性研究。
Int Urol Nephrol. 2022 Dec;54(12):3243-3253. doi: 10.1007/s11255-022-03271-9. Epub 2022 Jul 2.
住院患者急性肾损伤发病率和死亡率的季节性。
Nephrol Dial Transplant. 2018 Aug 1;33(8):1354-1362. doi: 10.1093/ndt/gfy011.
4
Humidity May Modify the Relationship between Temperature and Cardiovascular Mortality in Zhejiang Province, China.湿度可能会改变中国浙江省温度与心血管疾病死亡率之间的关系。
Int J Environ Res Public Health. 2017 Nov 14;14(11):1383. doi: 10.3390/ijerph14111383.
5
Seasonal variations in cardiovascular disease.心血管疾病的季节性变化。
Nat Rev Cardiol. 2017 Nov;14(11):654-664. doi: 10.1038/nrcardio.2017.76. Epub 2017 May 18.
6
Incidence, outcomes, and comparisons across definitions of AKI in hospitalized individuals.住院患者急性肾损伤不同定义的发病率、结局及比较。
Clin J Am Soc Nephrol. 2014 Jan;9(1):12-20. doi: 10.2215/CJN.02730313. Epub 2013 Oct 31.
7
Incidence, risk factors and 90-day mortality of patients with acute kidney injury in Finnish intensive care units: the FINNAKI study.芬兰重症监护病房急性肾损伤患者的发病率、危险因素和 90 天死亡率:FINNAKI 研究。
Intensive Care Med. 2013 Mar;39(3):420-8. doi: 10.1007/s00134-012-2796-5. Epub 2013 Jan 5.
8
Epidemiology and outcome of severe pneumococcal pneumonia admitted to intensive care unit: a multicenter study.重症监护病房收治的重症肺炎球菌肺炎的流行病学及转归:一项多中心研究
Crit Care. 2012 Aug 15;16(4):R155. doi: 10.1186/cc11471.
9
Acute kidney injury.急性肾损伤。
Lancet. 2012 Aug 25;380(9843):756-66. doi: 10.1016/S0140-6736(11)61454-2. Epub 2012 May 21.
10
Chronic kidney disease after acute kidney injury: a systematic review and meta-analysis.急性肾损伤后慢性肾脏病:系统评价和荟萃分析。
Kidney Int. 2012 Mar;81(5):442-8. doi: 10.1038/ki.2011.379. Epub 2011 Nov 23.