• 文献检索
  • 文档翻译
  • 深度研究
  • 学术资讯
  • Suppr Zotero 插件Zotero 插件
  • 邀请有礼
  • 套餐&价格
  • 历史记录
应用&插件
Suppr Zotero 插件Zotero 插件浏览器插件Mac 客户端Windows 客户端微信小程序
定价
高级版会员购买积分包购买API积分包
服务
文献检索文档翻译深度研究API 文档MCP 服务
关于我们
关于 Suppr公司介绍联系我们用户协议隐私条款
关注我们

Suppr 超能文献

核心技术专利:CN118964589B侵权必究
粤ICP备2023148730 号-1Suppr @ 2026

文献检索

告别复杂PubMed语法,用中文像聊天一样搜索,搜遍4000万医学文献。AI智能推荐,让科研检索更轻松。

立即免费搜索

文件翻译

保留排版,准确专业,支持PDF/Word/PPT等文件格式,支持 12+语言互译。

免费翻译文档

深度研究

AI帮你快速写综述,25分钟生成高质量综述,智能提取关键信息,辅助科研写作。

立即免费体验

基于荧光共振能量转移的复合凝聚核胶束交换动力学测定

FRET-Based Determination of the Exchange Dynamics of Complex Coacervate Core Micelles.

作者信息

Bos Inge, Timmerman Marga, Sprakel Joris

机构信息

Physical Chemistry and Soft Matter, Wageningen University & Research, Stippeneng 4, 6708 WE Wageningen, The Netherlands.

出版信息

Macromolecules. 2021 Jan 12;54(1):398-411. doi: 10.1021/acs.macromol.0c02387. Epub 2020 Dec 24.

DOI:10.1021/acs.macromol.0c02387
PMID:33456072
原文链接:https://pmc.ncbi.nlm.nih.gov/articles/PMC7808214/
Abstract

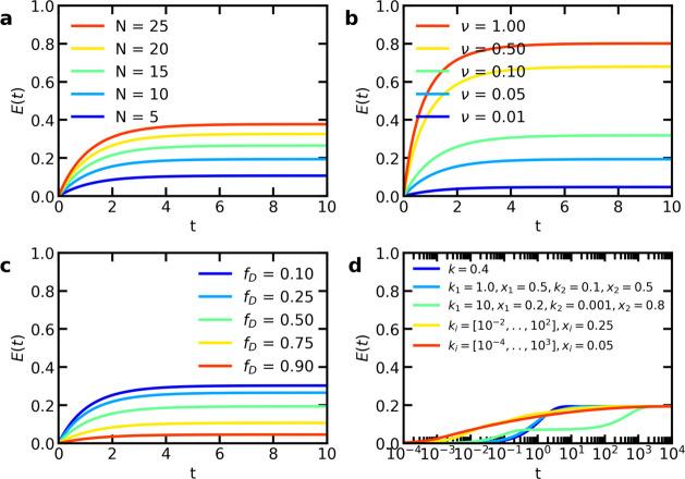
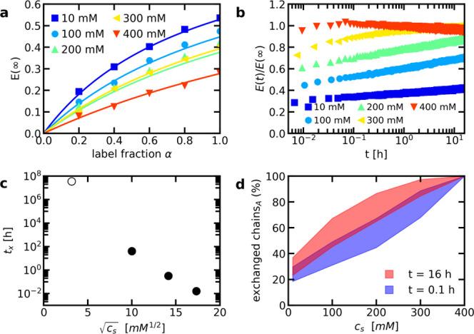
Complex coacervate core micelles (C3Ms) are nanoscopic structures formed by charge interactions between oppositely charged macroions and used to encapsulate a wide variety of charged (bio)molecules. In most cases, C3Ms are in a dynamic equilibrium with their surroundings. Understanding the dynamics of molecular exchange reactions is essential as this determines the rate at which their cargo is exposed to the environment. Here, we study the molecular exchange in C3Ms by making use of Förster resonance energy transfer (FRET) and derive an analytical model to relate the experimentally observed increase in FRET efficiency to the underlying macromolecular exchange rates. We show that equilibrated C3Ms have a broad distribution of exchange rates. The overall exchange rate can be strongly increased by increasing the salt concentration. In contrast, changing the unlabeled homopolymer length does not affect the exchange of the labeled homopolymers and an increase in the micelle concentration only affects the FRET increase rate at low micelle concentrations. Together, these results suggest that the exchange of these equilibrated C3Ms occurs mainly by expulsion and insertion, where the rate-limiting step is the breaking of ionic bonds to expel the chains from the core. These are important insights to further improve the encapsulation efficiency of C3Ms.

摘要

复合凝聚核心胶束(C3M)是由带相反电荷的大离子之间的电荷相互作用形成的纳米结构,用于封装多种带电(生物)分子。在大多数情况下,C3M与其周围环境处于动态平衡。了解分子交换反应的动力学至关重要,因为这决定了其负载物暴露于环境的速率。在这里,我们利用Förster共振能量转移(FRET)研究C3M中的分子交换,并推导了一个分析模型,将实验观察到的FRET效率增加与潜在的大分子交换速率联系起来。我们表明,平衡的C3M具有广泛的交换速率分布。通过增加盐浓度可以显著提高整体交换速率。相比之下,改变未标记的均聚物长度不会影响标记均聚物的交换,并且胶束浓度的增加仅在低胶束浓度下影响FRET增加速率。总之,这些结果表明,这些平衡的C3M的交换主要通过排出和插入发生,其中限速步骤是打破离子键以将链从核心排出。这些是进一步提高C3M封装效率的重要见解。

https://cdn.ncbi.nlm.nih.gov/pmc/blobs/add6/7808214/bdef9f0c1048/ma0c02387_0009.jpg
https://cdn.ncbi.nlm.nih.gov/pmc/blobs/add6/7808214/194d5be73944/ma0c02387_0002.jpg
https://cdn.ncbi.nlm.nih.gov/pmc/blobs/add6/7808214/71400f68c850/ma0c02387_0003.jpg
https://cdn.ncbi.nlm.nih.gov/pmc/blobs/add6/7808214/6441c1c64cd0/ma0c02387_0004.jpg
https://cdn.ncbi.nlm.nih.gov/pmc/blobs/add6/7808214/4df4bf9bd951/ma0c02387_0005.jpg
https://cdn.ncbi.nlm.nih.gov/pmc/blobs/add6/7808214/084aeac3afcf/ma0c02387_0006.jpg
https://cdn.ncbi.nlm.nih.gov/pmc/blobs/add6/7808214/3526fc9e2635/ma0c02387_0007.jpg
https://cdn.ncbi.nlm.nih.gov/pmc/blobs/add6/7808214/02bbc26b775c/ma0c02387_0008.jpg
https://cdn.ncbi.nlm.nih.gov/pmc/blobs/add6/7808214/bdef9f0c1048/ma0c02387_0009.jpg
https://cdn.ncbi.nlm.nih.gov/pmc/blobs/add6/7808214/194d5be73944/ma0c02387_0002.jpg
https://cdn.ncbi.nlm.nih.gov/pmc/blobs/add6/7808214/71400f68c850/ma0c02387_0003.jpg
https://cdn.ncbi.nlm.nih.gov/pmc/blobs/add6/7808214/6441c1c64cd0/ma0c02387_0004.jpg
https://cdn.ncbi.nlm.nih.gov/pmc/blobs/add6/7808214/4df4bf9bd951/ma0c02387_0005.jpg
https://cdn.ncbi.nlm.nih.gov/pmc/blobs/add6/7808214/084aeac3afcf/ma0c02387_0006.jpg
https://cdn.ncbi.nlm.nih.gov/pmc/blobs/add6/7808214/3526fc9e2635/ma0c02387_0007.jpg
https://cdn.ncbi.nlm.nih.gov/pmc/blobs/add6/7808214/02bbc26b775c/ma0c02387_0008.jpg
https://cdn.ncbi.nlm.nih.gov/pmc/blobs/add6/7808214/bdef9f0c1048/ma0c02387_0009.jpg

相似文献

1
FRET-Based Determination of the Exchange Dynamics of Complex Coacervate Core Micelles.基于荧光共振能量转移的复合凝聚核胶束交换动力学测定
Macromolecules. 2021 Jan 12;54(1):398-411. doi: 10.1021/acs.macromol.0c02387. Epub 2020 Dec 24.
2
DNA dynamics in complex coacervate droplets and micelles.复杂凝聚液滴和胶束中的 DNA 动力学。
Soft Matter. 2022 Mar 9;18(10):2012-2027. doi: 10.1039/d1sm01787j.
3
FRET Reveals the Formation and Exchange Dynamics of Protein-Containing Complex Coacervate Core Micelles.FRET 揭示了含蛋白复合凝聚核心胶束的形成和交换动力学。
Langmuir. 2018 Oct 9;34(40):12083-12092. doi: 10.1021/acs.langmuir.8b01272. Epub 2018 Sep 26.
4
Langevin Dynamics Simulations of the Exchange of Complex Coacervate Core Micelles: The Role of Nonelectrostatic Attraction and Polyelectrolyte Length.复合凝聚层核心胶束交换的朗之万动力学模拟:非静电吸引力和聚电解质长度的作用。
Macromolecules. 2019 Nov 26;52(22):8923-8931. doi: 10.1021/acs.macromol.9b01442. Epub 2019 Nov 13.
5
Balancing Enzyme Encapsulation Efficiency and Stability in Complex Coacervate Core Micelles.在复合凝聚层核心胶束中平衡酶的包封效率与稳定性
Langmuir. 2020 Jul 28;36(29):8494-8502. doi: 10.1021/acs.langmuir.0c01073. Epub 2020 Jul 14.
6
Scaling Theory of Complex Coacervate Core Micelles.复合凝聚核胶束的标度理论。
ACS Macro Lett. 2018 Jul 17;7(7):811-816. doi: 10.1021/acsmacrolett.8b00316. Epub 2018 Jun 22.
7
Enhanced stability of complex coacervate core micelles following different core-crosslinking strategies.采用不同的核交联策略后,复合凝聚层核心胶束的稳定性增强。
Soft Matter. 2022 Apr 13;18(15):3052-3062. doi: 10.1039/d2sm00088a.
8
Assessing the Structure and Equilibrium Conditions of Complex Coacervate Core Micelles by Varying Their Shell Composition and Medium Ionic Strength.通过改变复合凝聚核胶束的壳层组成和介质离子强度来评估其结构和平衡条件。
Langmuir. 2024 Jan 30;40(4):2015-2027. doi: 10.1021/acs.langmuir.3c01606. Epub 2024 Jan 19.
9
On the stability and morphology of complex coacervate core micelles: from spherical to wormlike micelles.复杂凝聚核心胶束的稳定性和形态:从球形到蠕虫状胶束。
Langmuir. 2012 Oct 9;28(40):14180-91. doi: 10.1021/la303211b. Epub 2012 Sep 25.
10
Charged Polypeptide Tail Boosts the Salt Resistance of Enzyme-Containing Complex Coacervate Micelles.带电多聚肽尾增强含酶复合凝聚胶束的耐盐性。
Biomacromolecules. 2022 Mar 14;23(3):1195-1204. doi: 10.1021/acs.biomac.1c01466. Epub 2022 Jan 18.

引用本文的文献

1
Coacervation in Slow Motion: Kinetics of Complex Micelle Formation Induced by the Hydrolysis of an Antibiotic Prodrug.慢动作中的凝聚:抗生素前药水解诱导的复杂胶束形成动力学。
Mol Pharm. 2024 Aug 5;21(8):4157-4168. doi: 10.1021/acs.molpharmaceut.4c00579. Epub 2024 Jul 16.
2
Crafting Stable Antibiotic Nanoparticles via Complex Coacervation of Colistin with Block Copolymers.通过多粘菌素与嵌段共聚物的复杂共凝聚作用制备稳定的抗生素纳米粒子。
Biomacromolecules. 2024 Jul 8;25(7):4267-4280. doi: 10.1021/acs.biomac.4c00337. Epub 2024 Jun 17.
3
Fluorescence-readout as a powerful macromolecular characterisation tool.

本文引用的文献

1
Time-Ionic Strength Superposition: A Unified Description of Chain Relaxation Dynamics in Polyelectrolyte Complexes.时间-离子强度叠加:聚电解质复合物中链松弛动力学的统一描述
ACS Macro Lett. 2020 Jul 21;9(7):1067-1073. doi: 10.1021/acsmacrolett.0c00252. Epub 2020 Jul 10.
2
Molecular Exchange in Diblock Copolymer Micelles: Bimodal Distribution in Core-Block Molecular Weights.两嵌段共聚物胶束中的分子交换:核嵌段分子量的双峰分布
ACS Macro Lett. 2012 Aug 21;1(8):982-985. doi: 10.1021/mz300285x. Epub 2012 Jul 19.
3
Chain Exchange in Binary Copolymer Micelles at Equilibrium: Confirmation of the Independent Chain Hypothesis.
荧光读出作为一种强大的大分子表征工具。
Chem Sci. 2023 Oct 20;14(45):12815-12849. doi: 10.1039/d3sc04052f. eCollection 2023 Nov 22.
4
Effect of Charged Block Length Mismatch on Double Diblock Polyelectrolyte Complex Micelle Cores.带电嵌段长度不匹配对双二嵌段聚电解质复合胶束核的影响。
Macromolecules. 2023 Jul 6;56(14):5557-5566. doi: 10.1021/acs.macromol.3c00555. eCollection 2023 Jul 25.
5
Controlling Trapping, Release, and Exchange Dynamics of Micellar Core Components.控制胶束核组分的捕获、释放和交换动力学。
ACS Nano. 2022 Sep 27;16(9):14611-14621. doi: 10.1021/acsnano.2c05144. Epub 2022 Sep 15.
6
Responsive Pickering Emulsions Stabilized by Frozen Complex Coacervate Core Micelles.响应型 Pickering 乳液由冷冻复合凝聚核胶束稳定。
ACS Macro Lett. 2022 Jan 18;11(1):20-25. doi: 10.1021/acsmacrolett.1c00647. Epub 2021 Dec 14.
7
DNA dynamics in complex coacervate droplets and micelles.复杂凝聚液滴和胶束中的 DNA 动力学。
Soft Matter. 2022 Mar 9;18(10):2012-2027. doi: 10.1039/d1sm01787j.
8
Universal Scaling for the Exit Dynamics of Block Copolymers from Micelles at Short and Long Time Scales.短时间和长时间尺度下嵌段共聚物从胶束中脱出动力学的通用标度律
Macromolecules. 2022 Feb 8;55(3):914-927. doi: 10.1021/acs.macromol.1c02387. Epub 2022 Jan 24.
9
Advances in the Structural Design of Polyelectrolyte Complex Micelles.聚电解质复合胶束的结构设计进展。
J Phys Chem B. 2021 Jul 8;125(26):7076-7089. doi: 10.1021/acs.jpcb.1c01258. Epub 2021 Jun 23.
二元共聚物胶束在平衡态下的链交换:独立链假说的证实
ACS Macro Lett. 2013 May 21;2(5):451-455. doi: 10.1021/mz400167x. Epub 2013 May 9.
4
Chemical Feedback in Templated Reaction-Assembly Networks.模板反应-组装网络中的化学反馈
Macromolecules. 2020 Dec 8;53(23):10675-10685. doi: 10.1021/acs.macromol.0c01915. Epub 2020 Nov 23.
5
On Complex Coacervate Core Micelles: Structure-Function Perspectives.关于复合凝聚核心胶束:结构-功能视角
Polymers (Basel). 2020 Aug 28;12(9):1953. doi: 10.3390/polym12091953.
6
Balancing Enzyme Encapsulation Efficiency and Stability in Complex Coacervate Core Micelles.在复合凝聚层核心胶束中平衡酶的包封效率与稳定性
Langmuir. 2020 Jul 28;36(29):8494-8502. doi: 10.1021/acs.langmuir.0c01073. Epub 2020 Jul 14.
7
Tale of Two Tails: Molecular Exchange Kinetics of Telechelic Polymer Micelles.双尾故事:遥爪聚合物胶束的分子交换动力学
Phys Rev Lett. 2020 May 15;124(19):197801. doi: 10.1103/PhysRevLett.124.197801.
8
Langevin Dynamics Simulations of the Exchange of Complex Coacervate Core Micelles: The Role of Nonelectrostatic Attraction and Polyelectrolyte Length.复合凝聚层核心胶束交换的朗之万动力学模拟:非静电吸引力和聚电解质长度的作用。
Macromolecules. 2019 Nov 26;52(22):8923-8931. doi: 10.1021/acs.macromol.9b01442. Epub 2019 Nov 13.
9
Cooperativity during Melting and Molecular Exchange in Micelles with Crystalline Cores.胶束中结晶核的熔融和分子交换协同作用。
Phys Rev Lett. 2019 Feb 22;122(7):078001. doi: 10.1103/PhysRevLett.122.078001.
10
Non-equilibrium phenomena and kinetic pathways in self-assembled polyelectrolyte complexes.自组装聚电解质复合物中的非平衡现象和动力学途径。
J Chem Phys. 2018 Oct 28;149(16):163330. doi: 10.1063/1.5039621.