Suppr超能文献

椎弓根螺钉稳定性的激光共振频率分析:尸体模型骨研究。

Laser resonance frequency analysis of pedicle screw stability: A cadaveric model bone study.

机构信息

Department of Orthopedic Surgery, Keio University School of Medicine, Shinjuku, Tokyo, Japan.

Faculty of Biology-Oriented Science and Technology, Kindai University, Kinokawa, Wakayama, Japan.

出版信息

J Orthop Res. 2021 Nov;39(11):2474-2484. doi: 10.1002/jor.24983. Epub 2021 Jan 28.

Abstract

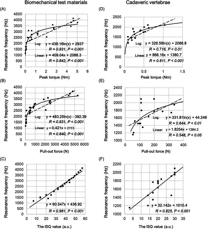
There is no evaluation method currently available to assess intraoperative pedicle screw fixation (PSF) strength. In this study, we established a laser-based resonance frequency analysis (RFA) system with high-speed, noncontact, quantitative measurements of PSF. Clinical investigations in the future can assess surgical failure risk of implants. We investigated the characteristics of the laser RFA and compared them with the conventional methods. We inserted a pedicle screw in the vertebral pedicle of human cadaver or model bone, followed by screw pull-out, peak torque, implant stability quotient (ISQ) value obtained by the magnetic dental RFA system, and fixation force of laser RFA. We compared the outcomes using best-fit linear or logarithmic approximations. For the model bone study, the resonance frequency (RF) versus peak torque/pull-out force (POF) demonstrated strong correlations using logarithmic approximation (vs. peak torque: R = 0.931, p < .001, vs. POF: R = 0.931, p < .001). RF strongly correlated with the ISQ value using linear approximation (R = 0.981, p < .001). For the cadaveric vertebrae study, the correlation coefficients between RF and the peak torque/POF were significant regardless of approximation method (peak torque: logarithmic: R = 0.716 vs. linear: R = 0.811; p < .001) (POF: logarithmic: R = 0.644 vs. linear: R = 0.548; p < .05). Thus, the results of this study revealed a constant correlation between RFA and conventional methods as a measurement validation, predicting favorable support for intraoperative PSF. RFA has the potential to be a new index for evaluating the implant fixation force.

摘要

目前尚无评估术中椎弓根螺钉固定(PSF)强度的评估方法。在这项研究中,我们建立了一种基于激光的共振频率分析(RFA)系统,该系统具有高速、非接触、定量测量 PSF 的功能。未来的临床研究可以评估植入物的手术失败风险。我们研究了激光 RFA 的特点,并将其与传统方法进行了比较。我们将椎弓根螺钉插入人体尸体或模型骨的椎弓根中,然后进行螺钉拔出、峰值扭矩、磁性牙科 RFA 系统获得的植入物稳定性指数(ISQ)值以及激光 RFA 的固定力。我们使用最佳拟合线性或对数近似值比较结果。对于模型骨研究,共振频率(RF)与峰值扭矩/拔出力(POF)的对数近似值显示出很强的相关性(与峰值扭矩:R=0.931,p<0.001,与 POF:R=0.931,p<0.001)。RF 与 ISQ 值呈线性近似值的强相关性(R=0.981,p<0.001)。对于尸体椎骨研究,RF 与峰值扭矩/POF 之间的相关系数无论近似方法如何均具有统计学意义(峰值扭矩:对数:R=0.716 与线性:R=0.811;p<0.001)(POF:对数:R=0.644 与线性:R=0.548;p<0.05)。因此,这项研究的结果表明,RFA 与传统方法之间存在恒定的相关性,作为测量验证,预测对术中 PSF 的有利支持。RFA 有可能成为评估植入物固定力的新指标。

https://cdn.ncbi.nlm.nih.gov/pmc/blobs/a3b1/8596623/57c279e240ed/JOR-39-2474-g001.jpg

文献检索

告别复杂PubMed语法,用中文像聊天一样搜索,搜遍4000万医学文献。AI智能推荐,让科研检索更轻松。

立即免费搜索

文件翻译

保留排版,准确专业,支持PDF/Word/PPT等文件格式,支持 12+语言互译。

免费翻译文档

深度研究

AI帮你快速写综述,25分钟生成高质量综述,智能提取关键信息,辅助科研写作。

立即免费体验