• 文献检索
  • 文档翻译
  • 深度研究
  • 学术资讯
  • Suppr Zotero 插件Zotero 插件
  • 邀请有礼
  • 套餐&价格
  • 历史记录
应用&插件
Suppr Zotero 插件Zotero 插件浏览器插件Mac 客户端Windows 客户端微信小程序
定价
高级版会员购买积分包购买API积分包
服务
文献检索文档翻译深度研究API 文档MCP 服务
关于我们
关于 Suppr公司介绍联系我们用户协议隐私条款
关注我们

Suppr 超能文献

核心技术专利:CN118964589B侵权必究
粤ICP备2023148730 号-1Suppr @ 2026

文献检索

告别复杂PubMed语法,用中文像聊天一样搜索,搜遍4000万医学文献。AI智能推荐,让科研检索更轻松。

立即免费搜索

文件翻译

保留排版,准确专业,支持PDF/Word/PPT等文件格式,支持 12+语言互译。

免费翻译文档

深度研究

AI帮你快速写综述,25分钟生成高质量综述,智能提取关键信息,辅助科研写作。

立即免费体验

使用配备应变传感器的锤子进行冲击分析对非骨水泥髋臼杯稳定性的体外评估。

Ex Vivo Evaluation of Cementless Acetabular Cup Stability Using Impact Analyses with a Hammer Instrumented with Strain Sensors.

作者信息

Tijou Antoine, Rosi Giuseppe, Hernigou Philippe, Flouzat-Lachaniette Charles-Henri, Haïat Guillaume

机构信息

Laboratoire de Modélisation et de Simulation Multi-Echelle, CNRS, UMR CNRS 8208, 61 Avenue du Général de Gaulle, 94010 Créteil, France.

Laboratoire de Modélisation et de Simulation Multi-Echelle, UMR CNRS 8208, Université Paris-Est, 61 Avenue du Général de Gaulle, 94010 Créteil, France.

出版信息

Sensors (Basel). 2017 Dec 27;18(1):62. doi: 10.3390/s18010062.

DOI:10.3390/s18010062
PMID:29280982
原文链接:https://pmc.ncbi.nlm.nih.gov/articles/PMC5796378/
Abstract

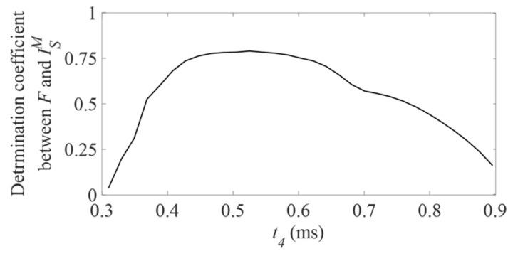
The acetabular cup (AC) implant stability is determinant for the success of cementless hip arthroplasty. A method based on the analysis of the impact force applied during the press-fit insertion of the AC implant using a hammer instrumented with a force sensor was developed to assess the AC implant stability. The aim of the present study was to investigate the performance of a method using a hammer equipped with strain sensors to retrieve the AC implant stability. Different AC implants were inserted in five bovine samples with different stability conditions leading to 57 configurations. The AC implant was impacted 16 times by the two hammers consecutively. For each impact; an indicator (respectively ) determined by analyzing the time variation of the signal corresponding to the averaged strain (respectively force) obtained with the stress (respectively strain) hammer was calculated. The pull-out force was measured for each configuration. was significantly correlated with (R² = 0.79) and (R² = 0.80). The present method has the advantage of not modifying the shape of the hammer that can be sterilized easily. This study opens new paths towards the development of a decision support system to assess the AC implant stability.

摘要

髋臼杯(AC)植入物的稳定性是无水泥髋关节置换术成功的决定性因素。开发了一种基于使用配备力传感器的锤子对AC植入物进行压入配合插入过程中施加的冲击力分析的方法,以评估AC植入物的稳定性。本研究的目的是研究使用配备应变传感器的锤子来获取AC植入物稳定性的方法的性能。将不同的AC植入物插入具有不同稳定性条件的五个牛样本中,产生57种配置。用两把锤子依次对AC植入物进行16次撞击。对于每次撞击,计算一个指标(分别为 ),该指标通过分析与用应力(分别为应变)锤子获得的平均应变(分别为力)对应的信号的时间变化来确定。测量每种配置的拔出力 。 与 (R² = 0.79)和 (R² = 0.80)显著相关。本方法的优点是不改变易于消毒的锤子的形状。这项研究为开发评估AC植入物稳定性的决策支持系统开辟了新途径。

https://cdn.ncbi.nlm.nih.gov/pmc/blobs/f97c/5796378/5be7b982f722/sensors-18-00062-g009.jpg
https://cdn.ncbi.nlm.nih.gov/pmc/blobs/f97c/5796378/4796f0c87851/sensors-18-00062-g001.jpg
https://cdn.ncbi.nlm.nih.gov/pmc/blobs/f97c/5796378/a16ed5e1a055/sensors-18-00062-g002.jpg
https://cdn.ncbi.nlm.nih.gov/pmc/blobs/f97c/5796378/0e03e3e275e7/sensors-18-00062-g003.jpg
https://cdn.ncbi.nlm.nih.gov/pmc/blobs/f97c/5796378/789a408e0d69/sensors-18-00062-g004.jpg
https://cdn.ncbi.nlm.nih.gov/pmc/blobs/f97c/5796378/67c26e42c92e/sensors-18-00062-g005.jpg
https://cdn.ncbi.nlm.nih.gov/pmc/blobs/f97c/5796378/f0fd8053ecee/sensors-18-00062-g006.jpg
https://cdn.ncbi.nlm.nih.gov/pmc/blobs/f97c/5796378/a19712779efc/sensors-18-00062-g007.jpg
https://cdn.ncbi.nlm.nih.gov/pmc/blobs/f97c/5796378/5d92c4f3db60/sensors-18-00062-g008.jpg
https://cdn.ncbi.nlm.nih.gov/pmc/blobs/f97c/5796378/5be7b982f722/sensors-18-00062-g009.jpg
https://cdn.ncbi.nlm.nih.gov/pmc/blobs/f97c/5796378/4796f0c87851/sensors-18-00062-g001.jpg
https://cdn.ncbi.nlm.nih.gov/pmc/blobs/f97c/5796378/a16ed5e1a055/sensors-18-00062-g002.jpg
https://cdn.ncbi.nlm.nih.gov/pmc/blobs/f97c/5796378/0e03e3e275e7/sensors-18-00062-g003.jpg
https://cdn.ncbi.nlm.nih.gov/pmc/blobs/f97c/5796378/789a408e0d69/sensors-18-00062-g004.jpg
https://cdn.ncbi.nlm.nih.gov/pmc/blobs/f97c/5796378/67c26e42c92e/sensors-18-00062-g005.jpg
https://cdn.ncbi.nlm.nih.gov/pmc/blobs/f97c/5796378/f0fd8053ecee/sensors-18-00062-g006.jpg
https://cdn.ncbi.nlm.nih.gov/pmc/blobs/f97c/5796378/a19712779efc/sensors-18-00062-g007.jpg
https://cdn.ncbi.nlm.nih.gov/pmc/blobs/f97c/5796378/5d92c4f3db60/sensors-18-00062-g008.jpg
https://cdn.ncbi.nlm.nih.gov/pmc/blobs/f97c/5796378/5be7b982f722/sensors-18-00062-g009.jpg

相似文献

1
Ex Vivo Evaluation of Cementless Acetabular Cup Stability Using Impact Analyses with a Hammer Instrumented with Strain Sensors.使用配备应变传感器的锤子进行冲击分析对非骨水泥髋臼杯稳定性的体外评估。
Sensors (Basel). 2017 Dec 27;18(1):62. doi: 10.3390/s18010062.
2
Ex vivo estimation of cementless acetabular cup stability using an impact hammer.使用冲击锤对非骨水泥髋臼杯稳定性进行体外评估。
Med Eng Phys. 2016 Feb;38(2):80-6. doi: 10.1016/j.medengphy.2015.10.006. Epub 2015 Dec 3.
3
Assessing the Acetabular Cup Implant Primary Stability by Impact Analyses: A Cadaveric Study.通过冲击分析评估髋臼杯植入物的初始稳定性:一项尸体研究。
PLoS One. 2016 Nov 28;11(11):e0166778. doi: 10.1371/journal.pone.0166778. eCollection 2016.
4
Influence of soft tissue in the assessment of the primary fixation of acetabular cup implants using impact analyses.使用冲击分析评估髋臼杯植入物初次固定时软组织的影响。
Clin Biomech (Bristol). 2018 Jun;55:7-13. doi: 10.1016/j.clinbiomech.2018.03.013. Epub 2018 Mar 20.
5
In vitro evaluation of the acetabular cup primary stability by impact analysis.通过冲击分析对髋臼杯初始稳定性进行体外评估。
J Biomech Eng. 2015 Mar;137(3). doi: 10.1115/1.4029505. Epub 2015 Feb 2.
6
Finite element model of the impaction of a press-fitted acetabular cup.压配髋臼杯植入的有限元模型
Med Biol Eng Comput. 2017 May;55(5):781-791. doi: 10.1007/s11517-016-1545-2. Epub 2016 Aug 4.
7
Monitoring the press-fit insertion of an acetabular cup by impact measurements: influence of bone abrasion.通过冲击测量监测髋臼杯的压配插入:骨磨损的影响
Proc Inst Mech Eng H. 2014 Oct;228(10):1027-34. doi: 10.1177/0954411914552433. Epub 2014 Sep 25.
8
Ex vivo estimation of cementless femoral stem stability using an instrumented hammer.使用带仪器的锤子对非骨水泥股骨柄稳定性进行的体外评估。
Clin Biomech (Bristol). 2020 Jun;76:105006. doi: 10.1016/j.clinbiomech.2020.105006. Epub 2020 Apr 26.
9
Monitoring cementless femoral stem insertion by impact analyses: An in vitro study.通过冲击分析监测非骨水泥股骨柄植入:一项体外研究。
J Mech Behav Biomed Mater. 2018 Dec;88:102-108. doi: 10.1016/j.jmbbm.2018.08.009. Epub 2018 Aug 10.
10
Variation of the impact duration during the in vitro insertion of acetabular cup implants.体外植入髋臼杯植入物过程中冲击持续时间的变化。
Med Eng Phys. 2013 Nov;35(11):1558-63. doi: 10.1016/j.medengphy.2013.04.005. Epub 2013 Jun 6.

引用本文的文献

1
Revisiting two thousand hinge fractures in open wedge high tibial osteotomy with a fifty years review: the oscillating saw cannot replace the traditional "ear-hand" dialogue between osteotome and hammer to estimate the elastic modulus of bone.回顾两千例开放性楔形高位胫骨截骨术的铰链骨折:五十年回顾——摆动锯无法取代骨凿与锤子之间传统的“耳手”对话来评估骨的弹性模量。
SICOT J. 2025;11:5. doi: 10.1051/sicotj/2024060. Epub 2025 Jan 20.
2
An Instrumented Hammer to Detect the Rupture of the Pterygoid Plates.一种用于检测翼突板破裂的仪器化锤子。
Ann Biomed Eng. 2025 Jan;53(1):59-70. doi: 10.1007/s10439-024-03596-9. Epub 2024 Aug 22.
3

本文引用的文献

1
Influence of anisotropic bone properties on the biomechanical behavior of the acetabular cup implant: a multiscale finite element study.各向异性骨特性对髋臼杯植入物生物力学行为的影响:一项多尺度有限元研究
Comput Methods Biomech Biomed Engin. 2017 Sep;20(12):1312-1325. doi: 10.1080/10255842.2017.1357703. Epub 2017 Aug 3.
2
Development of an acoustic measurement protocol to monitor acetabular implant fixation in cementless total hip Arthroplasty: A preliminary study.一种用于监测非骨水泥型全髋关节置换术中髋臼植入物固定情况的声学测量方案的开发:一项初步研究。
Med Eng Phys. 2017 Nov;49:28-38. doi: 10.1016/j.medengphy.2017.07.006. Epub 2017 Jul 29.
3
Using an Instrumented Hammer to Predict the Rupture of Bone Samples Subject to an Osteotomy.
使用仪器锤预测接受截骨术的骨样本的破裂。
Sensors (Basel). 2023 Feb 18;23(4):2304. doi: 10.3390/s23042304.
4
Machine Learning-Based Diagnosis in Laser Resonance Frequency Analysis for Implant Stability of Orthopedic Pedicle Screws.基于机器学习的激光共振频率分析在骨科椎弓根螺钉植入稳定性诊断中的应用。
Sensors (Basel). 2021 Nov 13;21(22):7553. doi: 10.3390/s21227553.
5
Laser resonance frequency analysis of pedicle screw stability: A cadaveric model bone study.椎弓根螺钉稳定性的激光共振频率分析:尸体模型骨研究。
J Orthop Res. 2021 Nov;39(11):2474-2484. doi: 10.1002/jor.24983. Epub 2021 Jan 28.
6
Laser Resonance Frequency Analysis: A Novel Measurement Approach to Evaluate Acetabular Cup Stability During Surgery.激光共振频率分析:一种评估手术中髋臼杯稳定性的新测量方法。
Sensors (Basel). 2019 Nov 8;19(22):4876. doi: 10.3390/s19224876.
Non-invasive vibrometry-based diagnostic detection of acetabular cup loosening in total hip replacement (THR).
基于非侵入性振动测量法对全髋关节置换术(THR)中髋臼杯松动的诊断检测。
Med Eng Phys. 2017 Oct;48:188-195. doi: 10.1016/j.medengphy.2017.06.037. Epub 2017 Jul 11.
4
Assessing the Acetabular Cup Implant Primary Stability by Impact Analyses: A Cadaveric Study.通过冲击分析评估髋臼杯植入物的初始稳定性:一项尸体研究。
PLoS One. 2016 Nov 28;11(11):e0166778. doi: 10.1371/journal.pone.0166778. eCollection 2016.
5
Finite element model of the impaction of a press-fitted acetabular cup.压配髋臼杯植入的有限元模型
Med Biol Eng Comput. 2017 May;55(5):781-791. doi: 10.1007/s11517-016-1545-2. Epub 2016 Aug 4.
6
Ex vivo estimation of cementless acetabular cup stability using an impact hammer.使用冲击锤对非骨水泥髋臼杯稳定性进行体外评估。
Med Eng Phys. 2016 Feb;38(2):80-6. doi: 10.1016/j.medengphy.2015.10.006. Epub 2015 Dec 3.
7
Periprosthetic acetabular fractures.人工关节周围髋臼骨折
Int Orthop. 2015 Oct;39(10):1959-63. doi: 10.1007/s00264-015-2971-8. Epub 2015 Aug 27.
8
Development of a non-invasive diagnostic technique for acetabular component loosening in total hip replacements.全髋关节置换术中髋臼组件松动的非侵入性诊断技术的开发。
Med Eng Phys. 2015 Aug;37(8):739-45. doi: 10.1016/j.medengphy.2015.05.012. Epub 2015 Jun 6.
9
Evaluation of acetabular cup initial fixation by using resonance frequency principle.利用共振频率原理评估髋臼杯初始固定情况。
Proc Inst Mech Eng H. 2015 Jan;229(1):3-8. doi: 10.1177/0954411914561485.
10
In vitro evaluation of the acetabular cup primary stability by impact analysis.通过冲击分析对髋臼杯初始稳定性进行体外评估。
J Biomech Eng. 2015 Mar;137(3). doi: 10.1115/1.4029505. Epub 2015 Feb 2.