Suppr超能文献

抗血管内皮生长因子(anti-VEGF)生物类似药使用变化趋势:来自印度玻璃体视网膜学会抗 VEGF 生物类似药调查的见解。

Changing trends in the use of anti-vascular endothelial growth factor (anti-VEGF) biosimilars: Insights from the Vitreoretinal Society of India Biosimilars of Anti-VEGF Survey.

机构信息

Department of Vitreoretinal Services, Surya Eye Institute and Research Center, Mumbai, Maharashtra, India.

Department of Ophthalmology, Mayo Clinic, Jacksonville, FL, USA.

出版信息

Indian J Ophthalmol. 2021 Feb;69(2):352-356. doi: 10.4103/ijo.IJO_2703_20.

Abstract

PURPOSE

The aim of this study was to present the outcomes of the 2018 and 2020 Vitreo-retinal Society of India (VRSI) biosimilars of anti-vascular endothelial growth factor (VEGF) (VIBE) surveys.

METHODS

An online survey of members of VRSI was conducted in July 2018 and January 2020 regarding their practice-patterns on anti-VEGF biosimilars pertaining to safety, efficacy, pricing, and need for enhanced clinical trials before regulatory approval.

RESULTS

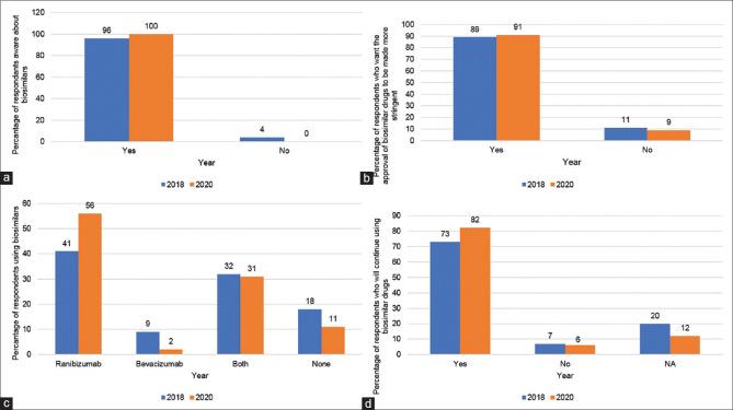
In 2018, 112 VRSI members participated, whereas in 2020, 98 society members participated. In both surveys, majority of respondents were aware of biosimilars (96%, 2018 vs. 100%, 2020; P = 0.9) and felt that approval of biosimilar drugs should be made more stringent with larger clinical trials (89%, 2018 vs. 91%, 2020; P = 0.93). An increase in use of ranibizumab-biosimilar (41%, 2018 to 56%, 2020; P = 0.2) and a simultaneous significant decline in use of bevacizumab-biosimilar (9%, 2018 to 2%, 2020; P = 0.04) was noted from 2018 to 2020. From 2018 to 2020, the proportion of respondents satisfied with safety (61% to 68%; P = 0.59) and efficacy (65% to 81%; P = 0.32) of ranibizumab-biosimilar increased. However, during the same period, we noted in reduction in satisfaction levels with safety of bevacizumab-biosimilar (30% to 25%; P = 0.54), whereas satisfaction with its efficacy was stable (29% vs 30%; P = 0.99). A substantial proportion of retina specialists considered that current cost of ranibizumab-biosimilar ($130) was sufficiently low for it to be used as a substitute for Avastin (37%, 2018 and 40%, 2020; P = 0.82).

CONCLUSION

The VRSI surveys reveal that Indian vitreoretinal specialists are familiar with anti-VEGF biosimilars. There was a progressive trend favoring ranibizumab-biosimilar over bevacizumab-biosimilar. One-third of the participants deem the current price of ranibizumab-biosimilar as appropriate to replace Avastin. Simultaneously, the need for enhanced pharmacovigilance and larger clinical trials are warranted for regulatory approval of these agents.

摘要

目的

本研究旨在介绍 2018 年和 2020 年印度玻璃体视网膜学会(VRSI)血管内皮生长因子(VEGF)生物类似物(VIBE)调查的结果。

方法

2018 年 7 月和 2020 年 1 月,对 VRSI 成员进行了一项在线调查,内容涉及他们在与安全性、疗效、定价相关的抗 VEGF 生物类似物方面的实践模式,以及在监管批准前是否需要进行更多的临床试验。

结果

2018 年有 112 名 VRSI 成员参与,2020 年有 98 名学会成员参与。在这两项调查中,大多数受访者都知道生物类似物(96%,2018 年 vs. 100%,2020 年;P = 0.9),并认为生物类似药的批准应该更加严格,需要进行更大规模的临床试验(89%,2018 年 vs. 91%,2020 年;P = 0.93)。从 2018 年到 2020 年,雷珠单抗生物类似物的使用量有所增加(41%,2018 年至 56%,2020 年;P = 0.2),而贝伐单抗生物类似物的使用量则显著下降(9%,2018 年至 2%,2020 年;P = 0.04)。从 2018 年到 2020 年,对雷珠单抗生物类似物安全性(61%至 68%;P = 0.59)和疗效(65%至 81%;P = 0.32)满意的受访者比例有所增加。然而,在此期间,我们注意到,对贝伐单抗生物类似物安全性的满意度有所下降(30%至 25%;P = 0.54),而其疗效的满意度则保持稳定(29%与 30%;P = 0.99)。相当一部分视网膜专家认为,雷珠单抗生物类似物的当前价格(130 美元)足够低,可以替代阿瓦斯汀(37%,2018 年和 40%,2020 年;P = 0.82)。

结论

VRSI 调查显示,印度玻璃体视网膜专家熟悉抗 VEGF 生物类似物。雷珠单抗生物类似物逐渐取代贝伐单抗生物类似物。三分之一的参与者认为雷珠单抗生物类似物的当前价格适合替代阿瓦斯汀。同时,这些药物的监管批准需要加强药物警戒和更大规模的临床试验。

https://cdn.ncbi.nlm.nih.gov/pmc/blobs/1763/7933895/6f43a8b07860/IJO-69-352-g001.jpg

文献检索

告别复杂PubMed语法,用中文像聊天一样搜索,搜遍4000万医学文献。AI智能推荐,让科研检索更轻松。

立即免费搜索

文件翻译

保留排版,准确专业,支持PDF/Word/PPT等文件格式,支持 12+语言互译。

免费翻译文档

深度研究

AI帮你快速写综述,25分钟生成高质量综述,智能提取关键信息,辅助科研写作。

立即免费体验