• 文献检索
  • 文档翻译
  • 深度研究
  • 学术资讯
  • Suppr Zotero 插件Zotero 插件
  • 邀请有礼
  • 套餐&价格
  • 历史记录
应用&插件
Suppr Zotero 插件Zotero 插件浏览器插件Mac 客户端Windows 客户端微信小程序
定价
高级版会员购买积分包购买API积分包
服务
文献检索文档翻译深度研究API 文档MCP 服务
关于我们
关于 Suppr公司介绍联系我们用户协议隐私条款
关注我们

Suppr 超能文献

核心技术专利:CN118964589B侵权必究
粤ICP备2023148730 号-1Suppr @ 2026

文献检索

告别复杂PubMed语法,用中文像聊天一样搜索,搜遍4000万医学文献。AI智能推荐,让科研检索更轻松。

立即免费搜索

文件翻译

保留排版,准确专业,支持PDF/Word/PPT等文件格式,支持 12+语言互译。

免费翻译文档

深度研究

AI帮你快速写综述,25分钟生成高质量综述,智能提取关键信息,辅助科研写作。

立即免费体验

负载银纳米颗粒及脉冲电磁波的电纺纳米纤维毡的抗菌协同作用

Antibacterial Synergism of Electrospun Nanofiber Mats Functioned with Silver Nanoparticles and Pulsed Electromagnetic Waves.

作者信息

El-Kaliuoby Mai I, Khalil Alaa M, El-Khatib Ahmed M, Shehata Nader

机构信息

Faculty of Education, Alexandria University, Alexandria 21544, Egypt.

Faculty of Engineering, Pharos University in Alexandria, Alexandria 21544, Egypt.

出版信息

Polymers (Basel). 2021 Jan 15;13(2):277. doi: 10.3390/polym13020277.

DOI:10.3390/polym13020277
PMID:33467752
原文链接:https://pmc.ncbi.nlm.nih.gov/articles/PMC7829770/
Abstract

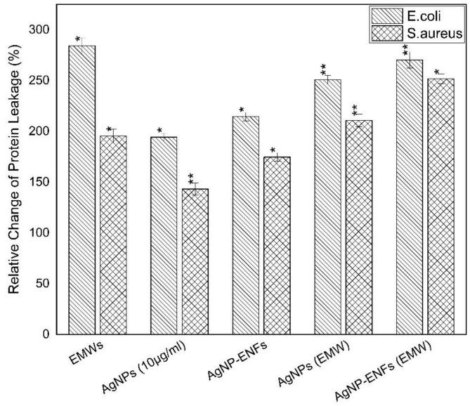
The over-reliance on antibiotics and their enormous misuse has led to warnings of a future without effective medicines and so, the need for alternatives to antibiotics has become a must. Non-traditional antibacterial treatment was performed by using an aray of nanocomposites synergised with exposure to electromagnetic waves. In this manuscript, electrospun poly(vinyl alcohol) (PVA) nanofiber mats embedded with silver nanoparticles (Ag NPs) were synthesized. The nanocomposites were characterized by Transmission Electron Microscope (TEM), Scanning Electron Microscope (SEM), Current-Voltage (I-V) curves, and Thermogravimetric analysis (TGA) along with analysis of antibacterial impact against and bacteria, studied by bacterial growing analysis, growth kinetics, and cellular cytotoxicity. The results indicated a spherical grain shape of silver of average size 20 nm and nanofibers' mean diameter of less than 100 nm. The nanocomposite mats showed good exposure to bacteria and the ability to sustain release of silver for a relatively long time. Moreover, the applied electromagnetic waves (EMWs) were shown to be a synergistic co-factor in killing bacteria even at low concentrations of Ag NPs. This caused pronounced alterations of the bacterial preserved packing of the cell membrane. Thereby, the treatment with nanocomposite mats under EM wave exposure elucidated maximum inhibition for both bacterial strains. It was concluded that the functioning of nanofiber with silver nanoparticles and exposure to electromagnetic waves improved the antibacterial impact compared to each one alone.

摘要

对抗生素的过度依赖及其大量滥用已引发了对未来无有效药物的警告,因此,寻找抗生素替代品已成为必然需求。采用一系列与电磁波协同作用的纳米复合材料进行非传统抗菌治疗。在本论文中,合成了嵌入银纳米颗粒(Ag NPs)的静电纺聚(乙烯醇)(PVA)纳米纤维垫。通过透射电子显微镜(TEM)、扫描电子显微镜(SEM)、电流-电压(I-V)曲线和热重分析(TGA)对纳米复合材料进行了表征,并通过细菌生长分析、生长动力学和细胞毒性研究了其对两种细菌的抗菌作用。结果表明,银的球形颗粒平均尺寸为20 nm,纳米纤维的平均直径小于100 nm。纳米复合垫对细菌具有良好的接触性,并能在较长时间内持续释放银。此外,即使在低浓度的Ag NPs下,所施加的电磁波(EMWs)也被证明是杀灭细菌的协同辅助因素。这导致细菌细胞膜的保留包装发生明显改变。因此,在电磁波照射下用纳米复合垫进行治疗对两种细菌菌株均显示出最大抑制作用。得出的结论是,与单独使用纳米纤维或银纳米颗粒相比,含银纳米颗粒的纳米纤维与电磁波照射共同作用可增强抗菌效果。

https://cdn.ncbi.nlm.nih.gov/pmc/blobs/eb72/7829770/933357606223/polymers-13-00277-g013.jpg
https://cdn.ncbi.nlm.nih.gov/pmc/blobs/eb72/7829770/4183f278e697/polymers-13-00277-g001.jpg
https://cdn.ncbi.nlm.nih.gov/pmc/blobs/eb72/7829770/53546847503d/polymers-13-00277-g002.jpg
https://cdn.ncbi.nlm.nih.gov/pmc/blobs/eb72/7829770/c03d276daf8b/polymers-13-00277-g003.jpg
https://cdn.ncbi.nlm.nih.gov/pmc/blobs/eb72/7829770/1b046669708d/polymers-13-00277-g004.jpg
https://cdn.ncbi.nlm.nih.gov/pmc/blobs/eb72/7829770/4dbd7e3a656a/polymers-13-00277-g005.jpg
https://cdn.ncbi.nlm.nih.gov/pmc/blobs/eb72/7829770/1d8cc557d529/polymers-13-00277-g006.jpg
https://cdn.ncbi.nlm.nih.gov/pmc/blobs/eb72/7829770/49faffc8d6d3/polymers-13-00277-g007.jpg
https://cdn.ncbi.nlm.nih.gov/pmc/blobs/eb72/7829770/25eb68a23a7a/polymers-13-00277-g008.jpg
https://cdn.ncbi.nlm.nih.gov/pmc/blobs/eb72/7829770/e910d51550e0/polymers-13-00277-g009.jpg
https://cdn.ncbi.nlm.nih.gov/pmc/blobs/eb72/7829770/f563a49435e8/polymers-13-00277-g010.jpg
https://cdn.ncbi.nlm.nih.gov/pmc/blobs/eb72/7829770/7cebbccb194c/polymers-13-00277-g011.jpg
https://cdn.ncbi.nlm.nih.gov/pmc/blobs/eb72/7829770/c39e3bc77a45/polymers-13-00277-g012.jpg
https://cdn.ncbi.nlm.nih.gov/pmc/blobs/eb72/7829770/933357606223/polymers-13-00277-g013.jpg
https://cdn.ncbi.nlm.nih.gov/pmc/blobs/eb72/7829770/4183f278e697/polymers-13-00277-g001.jpg
https://cdn.ncbi.nlm.nih.gov/pmc/blobs/eb72/7829770/53546847503d/polymers-13-00277-g002.jpg
https://cdn.ncbi.nlm.nih.gov/pmc/blobs/eb72/7829770/c03d276daf8b/polymers-13-00277-g003.jpg
https://cdn.ncbi.nlm.nih.gov/pmc/blobs/eb72/7829770/1b046669708d/polymers-13-00277-g004.jpg
https://cdn.ncbi.nlm.nih.gov/pmc/blobs/eb72/7829770/4dbd7e3a656a/polymers-13-00277-g005.jpg
https://cdn.ncbi.nlm.nih.gov/pmc/blobs/eb72/7829770/1d8cc557d529/polymers-13-00277-g006.jpg
https://cdn.ncbi.nlm.nih.gov/pmc/blobs/eb72/7829770/49faffc8d6d3/polymers-13-00277-g007.jpg
https://cdn.ncbi.nlm.nih.gov/pmc/blobs/eb72/7829770/25eb68a23a7a/polymers-13-00277-g008.jpg
https://cdn.ncbi.nlm.nih.gov/pmc/blobs/eb72/7829770/e910d51550e0/polymers-13-00277-g009.jpg
https://cdn.ncbi.nlm.nih.gov/pmc/blobs/eb72/7829770/f563a49435e8/polymers-13-00277-g010.jpg
https://cdn.ncbi.nlm.nih.gov/pmc/blobs/eb72/7829770/7cebbccb194c/polymers-13-00277-g011.jpg
https://cdn.ncbi.nlm.nih.gov/pmc/blobs/eb72/7829770/c39e3bc77a45/polymers-13-00277-g012.jpg
https://cdn.ncbi.nlm.nih.gov/pmc/blobs/eb72/7829770/933357606223/polymers-13-00277-g013.jpg

相似文献

1
Antibacterial Synergism of Electrospun Nanofiber Mats Functioned with Silver Nanoparticles and Pulsed Electromagnetic Waves.负载银纳米颗粒及脉冲电磁波的电纺纳米纤维毡的抗菌协同作用
Polymers (Basel). 2021 Jan 15;13(2):277. doi: 10.3390/polym13020277.
2
Antibacterial electrospun chitosan-polyethylene oxide nanocomposite mats containing bioactive silver nanoparticles.含有生物活性银纳米颗粒的抗菌电纺壳聚糖-聚环氧乙烷纳米复合垫。
Carbohydr Polym. 2016 Apr 20;140:287-98. doi: 10.1016/j.carbpol.2015.12.075. Epub 2015 Dec 31.
3
Antimicrobial Electrospun Biopolymer Nanofiber Mats Functionalized with Graphene Oxide-Silver Nanocomposites.用氧化石墨烯-银纳米复合材料功能化的抗菌电纺生物聚合物纳米纤维垫
ACS Appl Mater Interfaces. 2015 Jun 17;7(23):12751-9. doi: 10.1021/acsami.5b01639. Epub 2015 Jun 2.
4
Cellulose acetate/multi-wall carbon nanotube/Ag nanofiber composite for antibacterial applications.醋酸纤维素/多壁碳纳米管/Ag 纳米纤维复合材料在抗菌应用中的研究。
Mater Sci Eng C Mater Biol Appl. 2020 May;110:110679. doi: 10.1016/j.msec.2020.110679. Epub 2020 Jan 20.
5
Innovative Electrospun Nanofiber Mats Based on Polylactic Acid Composited with Silver Nanoparticles for Medical Applications.基于聚乳酸与银纳米颗粒复合的创新型电纺纳米纤维垫在医学应用中的研究
Polymers (Basel). 2024 Feb 1;16(3):409. doi: 10.3390/polym16030409.
6
Synthesis of Ag and TiO modified polycaprolactone electrospun nanofibers (PCL/TiO-Ag NFs) as a multifunctional material for SERS, photocatalysis and antibacterial applications.Ag 和 TiO 修饰的聚己内酯电纺纳米纤维(PCL/TiO-Ag NFs)的合成作为用于 SERS、光催化和抗菌应用的多功能材料。
Ecotoxicol Environ Saf. 2020 Jan 30;188:109856. doi: 10.1016/j.ecoenv.2019.109856. Epub 2019 Nov 11.
7
Fabrication of silver nanoparticles embedded into polyvinyl alcohol (Ag/PVA) composite nanofibrous films through electrospinning for antibacterial and surface-enhanced Raman scattering (SERS) activities.通过静电纺丝制备嵌入聚乙烯醇(Ag/PVA)复合纳米纤维膜中的银纳米颗粒,用于抗菌和表面增强拉曼散射(SERS)活性。
Mater Sci Eng C Mater Biol Appl. 2016 Dec 1;69:462-9. doi: 10.1016/j.msec.2016.07.015. Epub 2016 Jul 7.
8
Silver sulfadiazine loaded zein nanofiber mats as a novel wound dressing.载有磺胺嘧啶银的玉米醇溶蛋白纳米纤维垫作为一种新型伤口敷料。
RSC Adv. 2019 Jan 2;9(1):268-277. doi: 10.1039/c8ra09082c. eCollection 2018 Dec 19.
9
Antimicrobial wound dressing nanofiber mats from multicomponent (chitosan/silver-NPs/polyvinyl alcohol) systems.由多组分(壳聚糖/银纳米颗粒/聚乙烯醇)系统制成的抗菌伤口敷料纳米纤维垫。
Carbohydr Polym. 2014 Jan 16;100:166-78. doi: 10.1016/j.carbpol.2012.12.043. Epub 2012 Dec 29.
10
Photocatalytic and antibacterial properties of a TiO2/nylon-6 electrospun nanocomposite mat containing silver nanoparticles.含银纳米粒子的 TiO2/尼龙-6 静电纺纳米复合毡的光催化和抗菌性能。
J Hazard Mater. 2011 May 15;189(1-2):465-71. doi: 10.1016/j.jhazmat.2011.02.062. Epub 2011 Feb 24.

引用本文的文献

1
Electrospinning Enables Opportunity for Green and Effective Antibacterial Coatings of Medical Devices.静电纺丝为医疗设备的绿色高效抗菌涂层提供了机会。
J Funct Biomater. 2025 Jul 6;16(7):249. doi: 10.3390/jfb16070249.
2
Antimicrobial Clothing Based on Electrospun Fibers with ZnO Nanoparticles.基于含 ZnO 纳米粒子的静电纺纤维的抗菌服装。
Int J Mol Sci. 2023 Jan 13;24(2):1629. doi: 10.3390/ijms24021629.
3
Anticancer and antibacterial potentials induced post short-term exposure to electromagnetic field and silver nanoparticles and related pathological and genetic alterations: in vitro study.

本文引用的文献

1
Comparative Study on Injury and Recovery of Staphylococcus aureus using Microwaves and Conventional Heating.微波与传统加热对金黄色葡萄球菌损伤及恢复的比较研究
J Food Prot. 1988 Mar;51(3):181-186. doi: 10.4315/0362-028X-51.3.181.
2
Nanoparticle administration method in cell culture alters particle-cell interaction.细胞培养中纳米颗粒的给药方式改变了颗粒与细胞的相互作用。
Sci Rep. 2019 Jan 29;9(1):900. doi: 10.1038/s41598-018-36954-4.
3
Biophysical control of the growth of Agrobacterium tumefaciens using extremely low frequency electromagnetic waves at resonance frequency.
短期暴露于电磁场和银纳米颗粒后诱导的抗癌和抗菌潜力以及相关的病理和基因改变:体外研究
Infect Agent Cancer. 2022 Feb 4;17(1):4. doi: 10.1186/s13027-022-00416-4.
4
Enhancement of Nano-Biopolymer Antibacterial Activity by Pulsed Electric Fields.脉冲电场增强纳米生物聚合物抗菌活性
Polymers (Basel). 2021 Jun 4;13(11):1869. doi: 10.3390/polym13111869.
利用共振频率下的极低频电磁波对根癌土壤杆菌生长进行生物物理控制。
Biochem Biophys Res Commun. 2017 Dec 9;494(1-2):365-371. doi: 10.1016/j.bbrc.2017.10.008. Epub 2017 Oct 4.
4
Effect of extremely low frequency electromagnetic fields on bacterial membrane.极低频电磁场对细菌细胞膜的影响。
Int J Radiat Biol. 2016;92(1):42-9. doi: 10.3109/09553002.2015.1101500. Epub 2015 Oct 30.
5
Antimicrobial Electrospun Biopolymer Nanofiber Mats Functionalized with Graphene Oxide-Silver Nanocomposites.用氧化石墨烯-银纳米复合材料功能化的抗菌电纺生物聚合物纳米纤维垫
ACS Appl Mater Interfaces. 2015 Jun 17;7(23):12751-9. doi: 10.1021/acsami.5b01639. Epub 2015 Jun 2.
6
Neuroprotective effect of weak static magnetic fields in primary neuronal cultures.弱静磁场对原代神经元培养物的神经保护作用。
Neuroscience. 2014 Oct 10;278:313-26. doi: 10.1016/j.neuroscience.2014.08.029. Epub 2014 Aug 27.
7
Antimicrobial activity of zinc oxide (ZnO) nanoparticle against Klebsiella pneumoniae.氧化锌纳米颗粒对肺炎克雷伯菌的抗菌活性。
Pharm Biol. 2014 Nov;52(11):1388-97. doi: 10.3109/13880209.2014.893001. Epub 2014 Jul 15.
8
Incompatibility of silver nanoparticles with lactate dehydrogenase leakage assay for cellular viability test is attributed to protein binding and reactive oxygen species generation.银纳米粒子与用于细胞活力测试的乳酸脱氢酶漏出测定法的不兼容性归因于蛋白质结合和活性氧的产生。
Toxicol Lett. 2014 Mar 21;225(3):422-32. doi: 10.1016/j.toxlet.2014.01.015. Epub 2014 Jan 22.
9
Exposure to the proton scavenger glycine under alkaline conditions induces Escherichia coli viability loss.在碱性条件下暴露于质子清除剂甘氨酸会导致大肠杆菌活力丧失。
PLoS One. 2013;8(3):e60328. doi: 10.1371/journal.pone.0060328. Epub 2013 Mar 27.
10
Silver nanoparticles induce toxicity in A549 cells via ROS-dependent and ROS-independent pathways.银纳米粒子通过 ROS 依赖和非依赖途径诱导 A549 细胞毒性。
Toxicol In Vitro. 2013 Feb;27(1):330-8. doi: 10.1016/j.tiv.2012.08.021. Epub 2012 Aug 24.