• 文献检索
  • 文档翻译
  • 深度研究
  • 学术资讯
  • Suppr Zotero 插件Zotero 插件
  • 邀请有礼
  • 套餐&价格
  • 历史记录
应用&插件
Suppr Zotero 插件Zotero 插件浏览器插件Mac 客户端Windows 客户端微信小程序
定价
高级版会员购买积分包购买API积分包
服务
文献检索文档翻译深度研究API 文档MCP 服务
关于我们
关于 Suppr公司介绍联系我们用户协议隐私条款
关注我们

Suppr 超能文献

核心技术专利:CN118964589B侵权必究
粤ICP备2023148730 号-1Suppr @ 2026

文献检索

告别复杂PubMed语法,用中文像聊天一样搜索,搜遍4000万医学文献。AI智能推荐,让科研检索更轻松。

立即免费搜索

文件翻译

保留排版,准确专业,支持PDF/Word/PPT等文件格式,支持 12+语言互译。

免费翻译文档

深度研究

AI帮你快速写综述,25分钟生成高质量综述,智能提取关键信息,辅助科研写作。

立即免费体验

COVID-19 对血管外科学会血管质量倡议静脉手术登记处(静脉曲张和下腔静脉滤器)的影响。

Impact of COVID-19 on the Society for Vascular Surgery Vascular Quality Initiative Venous Procedure Registries (varicose vein and inferior vena cava filter).

机构信息

Feinberg School of Medicine, Northwestern University, Chicago, Ill.

College of Medicine, Northeast Ohio Medical University, Rootstown, Ohio.

出版信息

J Vasc Surg Venous Lymphat Disord. 2021 Sep;9(5):1093-1098. doi: 10.1016/j.jvsv.2021.01.002. Epub 2021 Jan 20.

DOI:10.1016/j.jvsv.2021.01.002
PMID:33482377
原文链接:https://pmc.ncbi.nlm.nih.gov/articles/PMC7816572/
Abstract

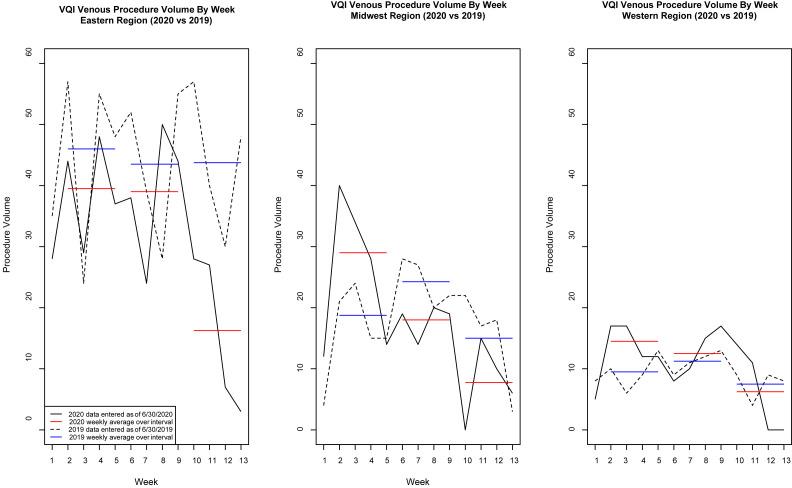
In response to the pandemic, an abrupt pivot of Vascular Quality Initiative physician members away from standard clinical practice to a restrictive phase of emergent and urgent vascular procedures occurred. The Society for Vascular Surgery Patient Safety Organization queried both data managers and physicians in May 2020. Approximately three-fourths (74%) of physicians adopted restrictive operating policies for urgent and emergent cases only, whereas one-half proceeded with "time sensitive" elective cases as urgent. Data manager case entry was negatively affected by both low case volumes and staffing due to reassignment or furlough. Venous registry volumes were reduced fivefold in the first quarter of 2020 compared with a similar period in 2019. The consequences of delaying vascular procedures for ambulatory venous practice remain unknown with increased morbidity likely. Challenges to determine venous thromboembolism mortality impact exist given difficulty in verifying "in home and extended care facility" deaths. Further ramifications of a pandemic shutdown will likely be amplified if postponement of elective vascular care extends beyond a short window of time. It will be important to monitor disease progression and case severity as a result of policy shifts adopted locally in response to pandemic surges.

摘要

针对疫情,血管质量倡议的医生成员突然从标准临床实践转向紧急和紧急血管手术的限制阶段。血管外科学会患者安全组织于 2020 年 5 月向数据管理员和医生进行了查询。大约四分之三(74%)的医生仅对紧急和紧急情况采用限制手术政策,而一半则将“时间敏感”的择期病例视为紧急情况。由于重新分配或休假,数据管理员的病例输入受到低病例量和人员配置的负面影响。与 2019 年同期相比,2020 年第一季度静脉登记册数量减少了五倍。由于发病率可能增加,延迟门诊静脉手术的后果仍不得而知。由于难以核实“在家和延长护理设施”的死亡情况,因此确定静脉血栓栓塞死亡率影响存在挑战。如果 elective 血管护理的推迟时间超过短时间窗口,大流行关闭的进一步影响可能会放大。由于针对大流行激增而在当地采用的政策转变,监测疾病进展和病例严重程度将非常重要。

https://cdn.ncbi.nlm.nih.gov/pmc/blobs/492b/7816572/dae59b796286/gr3_lrg.jpg
https://cdn.ncbi.nlm.nih.gov/pmc/blobs/492b/7816572/f09fd3b3166a/gr1_lrg.jpg
https://cdn.ncbi.nlm.nih.gov/pmc/blobs/492b/7816572/e64902367224/gr2_lrg.jpg
https://cdn.ncbi.nlm.nih.gov/pmc/blobs/492b/7816572/dae59b796286/gr3_lrg.jpg
https://cdn.ncbi.nlm.nih.gov/pmc/blobs/492b/7816572/f09fd3b3166a/gr1_lrg.jpg
https://cdn.ncbi.nlm.nih.gov/pmc/blobs/492b/7816572/e64902367224/gr2_lrg.jpg
https://cdn.ncbi.nlm.nih.gov/pmc/blobs/492b/7816572/dae59b796286/gr3_lrg.jpg

相似文献

1
Impact of COVID-19 on the Society for Vascular Surgery Vascular Quality Initiative Venous Procedure Registries (varicose vein and inferior vena cava filter).COVID-19 对血管外科学会血管质量倡议静脉手术登记处(静脉曲张和下腔静脉滤器)的影响。
J Vasc Surg Venous Lymphat Disord. 2021 Sep;9(5):1093-1098. doi: 10.1016/j.jvsv.2021.01.002. Epub 2021 Jan 20.
2
Effects of coronavirus disease 2019 on the Society for Vascular Surgery Vascular Quality Initiative arterial procedure registry.2019 年冠状病毒病对血管外科学会血管质量倡议动脉手术登记处的影响。
J Vasc Surg. 2021 Jun;73(6):1852-1857. doi: 10.1016/j.jvs.2020.12.087. Epub 2021 Feb 4.
3
Vena cava filter practices of a regional vascular surgery society.一个地区血管外科学会的腔静脉滤器应用情况
Ann Vasc Surg. 2012 Jul;26(5):630-5. doi: 10.1016/j.avsg.2011.11.033.
4
Trends in inferior vena cava filter placement and retrieval at a tertiary care institution.三级医疗机构下腔静脉滤器置入和取出的趋势。
J Vasc Surg Venous Lymphat Disord. 2019 May;7(3):405-412. doi: 10.1016/j.jvsv.2018.11.007. Epub 2019 Mar 15.
5
A survey of vascular specialists' practice patterns of inferior vena cava filter placement and retrieval.一项关于血管专家在下腔静脉滤器置入与取出方面的实践模式的调查。
Vascular. 2019 Jun;27(3):291-298. doi: 10.1177/1708538118815394. Epub 2018 Dec 1.
6
Changes in inferior vena cava filter placement over the past decade at a large community-based academic health center.过去十年间,在一家大型社区学术医疗中心,下腔静脉滤器放置情况的变化。
J Vasc Surg. 2008 Jan;47(1):157-165. doi: 10.1016/j.jvs.2007.08.057. Epub 2007 Dec 3.
7
Hospitalization metrics associated with hospital-level variation in inferior vena cava filter utilization for patients with venous thromboembolism in the United States: Implications for quality of care.美国静脉血栓栓塞症患者下腔静脉滤器应用中与医院水平变异相关的住院指标:对护理质量的影响。
Vasc Med. 2018 Aug;23(4):365-371. doi: 10.1177/1358863X18768685. Epub 2018 May 20.
8
Changes in vascular surgery practice patterns 1 year into the COVID-19 pandemic.新冠疫情爆发1年后血管外科手术模式的变化。
J Vasc Surg. 2021 Aug;74(2):683-684. doi: 10.1016/j.jvs.2021.04.022.
9
Identifying Patient and Hospital Characteristics Resulting in Higher Use of Inferior Vena Cava Filters among Inpatients with Venous Thromboembolic Disease: Analysis of the 2014 Nationwide Inpatient Sample.确定导致静脉血栓栓塞性疾病住院患者更多使用下腔静脉滤器的患者和医院特征:对2014年全国住院患者样本的分析。
J Vasc Interv Radiol. 2018 Aug;29(8):1206-1208.e1. doi: 10.1016/j.jvir.2018.03.011.
10
Predicting the Safety and Effectiveness of Inferior Vena Cava Filters Study: Design of a unique safety and effectiveness study of inferior vena cava filters in clinical practice.下腔静脉滤器安全性和有效性预测研究:一项独特的下腔静脉滤器在临床实践中的安全性和有效性研究的设计。
J Vasc Surg Venous Lymphat Disord. 2020 Mar;8(2):187-194.e1. doi: 10.1016/j.jvsv.2019.07.009. Epub 2019 Oct 18.

引用本文的文献

1
Long-term Impacts of Long COVID: Increased Incidence of Cardiomyopathies, Joint Diseases, and Psychoanxiety Disorders.长新冠的长期影响:心肌病、关节疾病和心理焦虑障碍发病率上升。
In Vivo. 2024 Nov-Dec;38(6):3022-3032. doi: 10.21873/invivo.13786.
2
Narrative Review of New Insight into the Influence of the COVID-19 Pandemic on Cardiovascular Care.对 COVID-19 大流行对心血管护理影响的新见解的叙述性综述。
Medicina (Kaunas). 2022 Oct 29;58(11):1554. doi: 10.3390/medicina58111554.
3
Preliminary analysis of coronavirus disease 2019 variable insertion into Vascular Quality Initiative registries.

本文引用的文献

1
The "Vascular Surgery COVID-19 Collaborative" (VASCC).“血管外科 COVID-19 协作组”(VASCC)
Eur J Vasc Endovasc Surg. 2020 Sep;60(3):489-490. doi: 10.1016/j.ejvs.2020.07.072. Epub 2020 Jul 29.
2
COVID-19-Related Aortic Thrombosis: A Report of Four Cases.新型冠状病毒肺炎相关主动脉血栓形成:4例报告
Ann Vasc Surg. 2020 Aug;67:10-13. doi: 10.1016/j.avsg.2020.05.031. Epub 2020 May 29.
3
Out-of-hospital cardiac arrest during the COVID-19 pandemic in Paris, France: a population-based, observational study.法国巴黎 COVID-19 大流行期间的院外心脏骤停:一项基于人群的观察性研究。
2019冠状病毒病在血管质量倡议登记系统中的可变插入情况的初步分析。
J Vasc Surg. 2022 Nov;76(5):1383-1387.e3. doi: 10.1016/j.jvs.2022.06.009. Epub 2022 Jun 20.
4
A scoping review on the changes in vascular surgical practice during the early phases of the COVID-19 pandemic.一项关于新冠疫情早期血管外科手术实践变化的范围综述。
Semin Vasc Surg. 2021 Sep;34(3):63-73. doi: 10.1053/j.semvascsurg.2021.07.002. Epub 2021 Aug 8.
5
The impact of COVID-19 pandemic on vascular registries and clinical trials.2019年冠状病毒病大流行对血管登记处和临床试验的影响。
Semin Vasc Surg. 2021 Jun;34(2):28-36. doi: 10.1053/j.semvascsurg.2021.04.001. Epub 2021 May 21.
Lancet Public Health. 2020 Aug;5(8):e437-e443. doi: 10.1016/S2468-2667(20)30117-1. Epub 2020 May 27.
4
Fewer Hospitalizations for Acute Cardiovascular Conditions During the COVID-19 Pandemic.新冠肺炎大流行期间急性心血管疾病住院人数减少。
J Am Coll Cardiol. 2020 Jul 21;76(3):280-288. doi: 10.1016/j.jacc.2020.05.038. Epub 2020 May 26.
5
Delays in Stroke Onset to Hospital Arrival Time During COVID-19.新冠疫情期间脑卒中发病到医院就诊时间的延迟。
Stroke. 2020 Jul;51(7):2228-2231. doi: 10.1161/STROKEAHA.120.030105. Epub 2020 May 20.
6
Severe arterial thrombosis associated with Covid-19 infection.严重的动脉血栓与新冠病毒感染有关。
Thromb Res. 2020 Aug;192:75-77. doi: 10.1016/j.thromres.2020.05.025. Epub 2020 May 16.
7
Risk of peripheral arterial thrombosis in COVID-19.新型冠状病毒肺炎患者外周动脉血栓形成的风险
J Vasc Surg. 2020 Aug;72(2):756-757. doi: 10.1016/j.jvs.2020.04.477. Epub 2020 May 7.
8
Impact of the Coronavirus (COVID-19) pandemic on surgical practice - Part 2 (surgical prioritisation).冠状病毒(COVID-19)大流行对外科实践的影响 - 第 2 部分(手术优先级)。
Int J Surg. 2020 Jul;79:233-248. doi: 10.1016/j.ijsu.2020.05.002. Epub 2020 May 12.
9
Venous and arterial thromboembolic complications in COVID-19 patients admitted to an academic hospital in Milan, Italy.意大利米兰一家学术医院收治的 COVID-19 患者的静脉和动脉血栓栓塞并发症。
Thromb Res. 2020 Jul;191:9-14. doi: 10.1016/j.thromres.2020.04.024. Epub 2020 Apr 23.
10
COVID-19 and Thrombotic or Thromboembolic Disease: Implications for Prevention, Antithrombotic Therapy, and Follow-Up: JACC State-of-the-Art Review.新型冠状病毒肺炎与血栓栓塞性疾病:预防、抗栓治疗与随访的相关问题:美国心脏病学会临床实践更新。
J Am Coll Cardiol. 2020 Jun 16;75(23):2950-2973. doi: 10.1016/j.jacc.2020.04.031. Epub 2020 Apr 17.