• 文献检索
  • 文档翻译
  • 深度研究
  • 学术资讯
  • Suppr Zotero 插件Zotero 插件
  • 邀请有礼
  • 套餐&价格
  • 历史记录
应用&插件
Suppr Zotero 插件Zotero 插件浏览器插件Mac 客户端Windows 客户端微信小程序
定价
高级版会员购买积分包购买API积分包
服务
文献检索文档翻译深度研究API 文档MCP 服务
关于我们
关于 Suppr公司介绍联系我们用户协议隐私条款
关注我们

Suppr 超能文献

核心技术专利:CN118964589B侵权必究
粤ICP备2023148730 号-1Suppr @ 2026

文献检索

告别复杂PubMed语法,用中文像聊天一样搜索,搜遍4000万医学文献。AI智能推荐,让科研检索更轻松。

立即免费搜索

文件翻译

保留排版,准确专业,支持PDF/Word/PPT等文件格式,支持 12+语言互译。

免费翻译文档

深度研究

AI帮你快速写综述,25分钟生成高质量综述,智能提取关键信息,辅助科研写作。

立即免费体验

心血管磁共振中心脏形态和功能的年龄和性别相关参考值。

Age- and gender-related reference values of cardiac morphology and function in cardiovascular magnetic resonance.

机构信息

Department of Cardiology, Angiology and Pneumology, University of Heidelberg, Im Neuenheimer Feld 410, 69120, Heidelberg, Germany.

DZHK (German Centre for Cardiovascular Research), Partner Site Heidelberg, Germany.

出版信息

Int J Cardiovasc Imaging. 2021 Jun;37(6):2011-2023. doi: 10.1007/s10554-021-02160-z. Epub 2021 Jan 22.

DOI:10.1007/s10554-021-02160-z
PMID:33483891
原文链接:https://pmc.ncbi.nlm.nih.gov/articles/PMC8255261/
Abstract

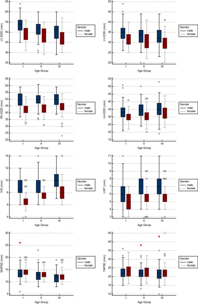
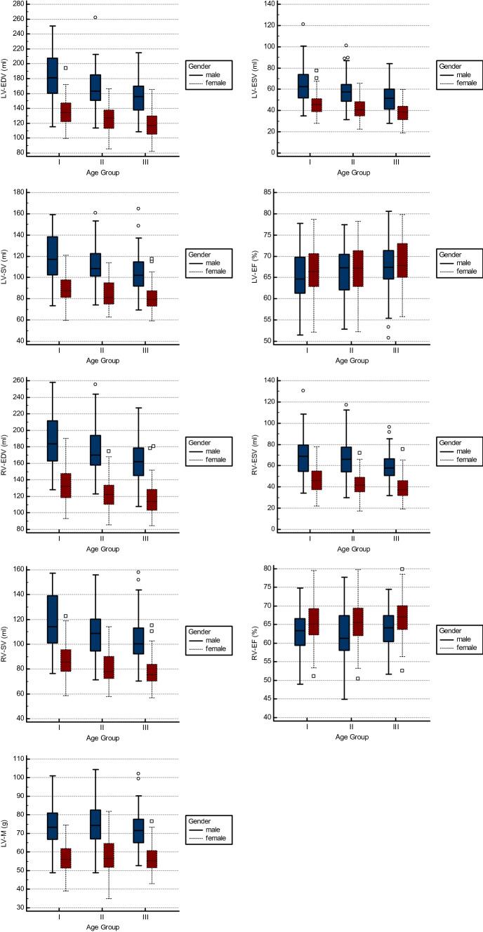
Cardiovascular magnetic resonance (CMR) is the reference standard for the quantitative assessment of cardiac morphology and function. The aim of the study was to determine age- and gender-related reference values for cardiac morphology and function according to current recommendations. 454 healthy volunteers (235 men, median age 52.0 (44.0-59.0) years) underwent a standard CMR scan and were divided into six groups of nearly equal size with regard to sex (male, female) and age (21-47 years, 48-57 years, 58-84 years). Left ventricular end-diastolic (LV-EDV) and end-systolic (LV-ESV) volumes and LV mass (LV-M) were measured at end-diastole and end-systole in steady-state free precession series with including papillary muscles and trabecular tissue in the LV-M. Absolute and indexed volumetric parameters were significantly different between gender groups with higher values in men compared to women (all p < 0.001). Furthermore, a significant age-dependent decline could be observed for left ventricular and right ventricular volumes (all p < 0.001), while LV-M did not show differences between the different age-groups. Parameters of longitudinal function for the left and right ventricle were higher in female compared to male subjects with a significant age-dependent decline. We provided normal values for cardiac volumes, function, and mass derived in accordance with current guidelines from a large population of healthy subjects, which can be implemented in clinical routine as a standard of reference.

摘要

心血管磁共振(CMR)是心脏形态和功能定量评估的参考标准。本研究的目的是根据当前的建议,确定与年龄和性别相关的心脏形态和功能参考值。454 名健康志愿者(235 名男性,中位年龄 52.0(44.0-59.0)岁)接受了标准的 CMR 扫描,并根据性别(男性、女性)和年龄(21-47 岁、48-57 岁、58-84 岁)分为六个大小几乎相等的组。在稳态自由进动序列中,在舒张末期和收缩末期测量左心室舒张末期(LV-EDV)和收缩末期(LV-ESV)容积和左心室质量(LV-M),包括乳头肌和小梁组织在内的 LV-M。绝对和指数容积参数在性别组之间存在显著差异,男性的数值高于女性(均 p<0.001)。此外,还可以观察到左心室和右心室容积随年龄的显著下降(均 p<0.001),而 LV-M 在不同年龄组之间没有差异。与男性相比,女性的左、右心室纵向功能参数较高,且随年龄呈显著下降趋势。我们根据当前的指南,从大量健康受试者中提供了符合指南的心脏容积、功能和质量的正常参考值,这些参考值可在临床常规中作为标准实施。

https://cdn.ncbi.nlm.nih.gov/pmc/blobs/3dd3/8255261/ad020a630862/10554_2021_2160_Fig3_HTML.jpg
https://cdn.ncbi.nlm.nih.gov/pmc/blobs/3dd3/8255261/96cccf2150d0/10554_2021_2160_Fig1_HTML.jpg
https://cdn.ncbi.nlm.nih.gov/pmc/blobs/3dd3/8255261/321ce4d9067f/10554_2021_2160_Fig2_HTML.jpg
https://cdn.ncbi.nlm.nih.gov/pmc/blobs/3dd3/8255261/ad020a630862/10554_2021_2160_Fig3_HTML.jpg
https://cdn.ncbi.nlm.nih.gov/pmc/blobs/3dd3/8255261/96cccf2150d0/10554_2021_2160_Fig1_HTML.jpg
https://cdn.ncbi.nlm.nih.gov/pmc/blobs/3dd3/8255261/321ce4d9067f/10554_2021_2160_Fig2_HTML.jpg
https://cdn.ncbi.nlm.nih.gov/pmc/blobs/3dd3/8255261/ad020a630862/10554_2021_2160_Fig3_HTML.jpg

相似文献

1
Age- and gender-related reference values of cardiac morphology and function in cardiovascular magnetic resonance.心血管磁共振中心脏形态和功能的年龄和性别相关参考值。
Int J Cardiovasc Imaging. 2021 Jun;37(6):2011-2023. doi: 10.1007/s10554-021-02160-z. Epub 2021 Jan 22.
2
Cardiovascular magnetic resonance of cardiac morphology and function: impact of different strategies of contour drawing and indexing.心脏形态和功能的心血管磁共振:不同轮廓绘制和索引策略的影响。
Clin Res Cardiol. 2019 Apr;108(4):411-429. doi: 10.1007/s00392-018-1371-7. Epub 2018 Sep 10.
3
Meta-Analysis of Normal Reference Values for Right and Left Ventricular Quantification by Cardiovascular Magnetic Resonance.磁共振心血管成像右、左心室定量分析的正常参考值的荟萃分析。
Circ Cardiovasc Imaging. 2024 Feb;17(2):e016090. doi: 10.1161/CIRCIMAGING.123.016090. Epub 2024 Feb 20.
4
Reference ranges for cardiac structure and function using cardiovascular magnetic resonance (CMR) in Caucasians from the UK Biobank population cohort.英国生物银行人群队列中白种人使用心血管磁共振成像(CMR)测量心脏结构和功能的参考范围
J Cardiovasc Magn Reson. 2017 Feb 3;19(1):18. doi: 10.1186/s12968-017-0327-9.
5
Correlation of trabeculae and papillary muscles with clinical and cardiac characteristics and impact on CMR measures of LV anatomy and function.小梁和乳头肌与临床和心脏特征的相关性及其对左心室解剖和功能的 CMR 测量的影响。
JACC Cardiovasc Imaging. 2012 Nov;5(11):1115-23. doi: 10.1016/j.jcmg.2012.05.015.
6
Age- and gender-specific differences in left and right ventricular cardiac function and mass determined by cine magnetic resonance imaging.通过电影磁共振成像确定的左、右心室心脏功能和质量的年龄及性别特异性差异。
Eur Radiol. 2000;10(3):438-42. doi: 10.1007/s003300050072.
7
Normal sex and age-specific parameters in a multi-ethnic population: a cardiovascular magnetic resonance study of the Canadian Alliance for Healthy Hearts and Minds cohort.多民族人群中的正常性别和年龄特异性参数:加拿大心脏和思维健康联盟队列的心血管磁共振研究。
J Cardiovasc Magn Reson. 2022 Jan 3;24(1):2. doi: 10.1186/s12968-021-00819-z.
8
Multicentre reference values for cardiac magnetic resonance imaging derived ventricular size and function for children aged 0-18 years.多中心参考值用于儿童 0-18 岁的心脏磁共振成像得出的心室大小和功能。
Eur Heart J Cardiovasc Imaging. 2020 Jan 1;21(1):102-113. doi: 10.1093/ehjci/jez164.
9
Reference ventricular dimensions and function parameters by cardiovascular magnetic resonance in highly trained Caucasian athletes.心血管磁共振参照心室尺寸和功能参数在高度训练的白种人运动员中。
J Cardiovasc Magn Reson. 2023 Feb 9;25(1):12. doi: 10.1186/s12968-023-00910-7.
10
Reference values of cardiac ventricular structure and function by steady-state free-procession MRI at 3.0T in healthy adult chinese volunteers.3.0T稳态自由进动磁共振成像测量健康中国成年志愿者心脏心室结构和功能的参考值
J Magn Reson Imaging. 2017 Jun;45(6):1684-1692. doi: 10.1002/jmri.25520. Epub 2016 Nov 9.

引用本文的文献

1
Left ventricle inflow and outflow tract angle in normal fetuses.正常胎儿左心室流入道与流出道夹角
Front Cardiovasc Med. 2023 Nov 24;10:1257475. doi: 10.3389/fcvm.2023.1257475. eCollection 2023.
2
Longitudinal assessment of structural phenotype in Brugada syndrome using cardiac magnetic resonance imaging.使用心脏磁共振成像对 Brugada 综合征的结构表型进行纵向评估。
Heart Rhythm O2. 2022 Oct 18;4(1):34-41. doi: 10.1016/j.hroo.2022.10.004. eCollection 2023 Jan.
3
Reported Signs, Symptoms, and Diagnostic Tests Before Cardiotoxicity Among Women With Breast Cancer: A Pilot Study.
乳腺癌女性发生心脏毒性前的报告体征、症状和诊断性检测:一项初步研究。
J Cardiovasc Nurs. 2022;37(2):104-111. doi: 10.1097/JCN.0000000000000848.