Suppr超能文献

提取物对原发性髓系白血病母细胞的优先活性。

Preferential Activity of Extract on Primary Myeloid Leukemic Blast.

作者信息

Ballesteros-Ramírez Ricardo, Aldana Eliana, Herrera María Victoria, Urueña Claudia, Rojas Laura Yinneth, Echeverri Luis Fernando, Costa Geison Modesti, Quijano Sandra, Fiorentino Susana

机构信息

Grupo de Inmunobiología y Biología Celular, Unidad de Investigación en Ciencias Biomédicas, Facultad de Ciencias, Pontificia Universidad Javeriana, Bogotá, Colombia.

Servicio de Hematología, Hospital Universitario San Ignacio, Bogotá, Colombia.

出版信息

Evid Based Complement Alternat Med. 2020 Dec 11;2020:4736206. doi: 10.1155/2020/4736206. eCollection 2020.

Abstract

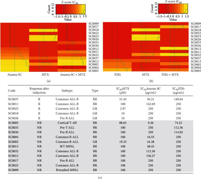
The need for new therapeutic approaches to improve the response in acute leukemia (AL), either by directing therapy or with new therapeutic alternatives, has been a research and clinical interest topic. We evaluated whether blasts from AL patients were sensitive ex vivo to the induction chemotherapy and whether the extracts of (Anamu SC) and (P2Et) modulated the sensitivity of leukemic cells to death. Bone marrow samples were taken from 26 patients with de novo AL and 6 in relapse, and the cytotoxicity of the extracts alone or in combination with the chemotherapeutic was evaluated by XTT. Patients were classified as good (GR) and bad responders (BR) according to the ex vivo test. 70.5% of the GR patients to the ex vivo test achieved postinduction remission to induction chemotherapy with a median overall survival of 12.50 months versus 7.23 months in the two groups. Furthermore, it was found that the ex vivo response to extracts and chemotherapeutics is heterogeneous and shows an exclusive pattern between the extracts, Anamu being the more effective in inducing cell death. The combination of extracts with chemotherapeutic agents showed synergistic or antagonistic effects in the patients' blasts. These results show that the ex vivo evaluation of the sensitivity to induction drugs using primary blasts from patients exhibits a correlation with the response to induction chemotherapy in patients. These analyses would allow establishing a system to predict response to treatment and determine ex vivo susceptibility to new therapies under development, among which is phytotherapeutics.

摘要

通过直接进行治疗或采用新的治疗方案来改善急性白血病(AL)的治疗反应,这一需求一直是研究和临床关注的热点。我们评估了AL患者的原始细胞在体外对诱导化疗的敏感性,以及(阿纳木SC)和(P2Et)的提取物是否能调节白血病细胞对死亡的敏感性。从26例初发AL患者和6例复发患者中采集骨髓样本,通过XTT评估单独提取物或与化疗药物联合使用时的细胞毒性。根据体外试验将患者分为良好反应者(GR)和不良反应者(BR)。体外试验中70.5%的GR患者在诱导化疗后达到诱导缓解,中位总生存期为12.50个月,而两组患者的中位总生存期为7.23个月。此外,还发现提取物和化疗药物的体外反应具有异质性,并且提取物之间呈现出独特的模式,阿纳木在诱导细胞死亡方面更有效。提取物与化疗药物的联合在患者原始细胞中显示出协同或拮抗作用。这些结果表明,使用患者的原始细胞对诱导药物的体外敏感性评估与患者对诱导化疗的反应具有相关性。这些分析将有助于建立一个预测治疗反应的系统,并确定正在开发的新疗法的体外敏感性,其中包括植物疗法。

https://cdn.ncbi.nlm.nih.gov/pmc/blobs/908b/7787761/a3895bb478b1/ECAM2020-4736206.001.jpg

文献检索

告别复杂PubMed语法,用中文像聊天一样搜索,搜遍4000万医学文献。AI智能推荐,让科研检索更轻松。

立即免费搜索

文件翻译

保留排版,准确专业,支持PDF/Word/PPT等文件格式,支持 12+语言互译。

免费翻译文档

深度研究

AI帮你快速写综述,25分钟生成高质量综述,智能提取关键信息,辅助科研写作。

立即免费体验