Suppr超能文献

估计食管鳞状细胞癌的个体化绝对风险:一项基于中国高风险地区人群的研究。

Estimating Individualized Absolute Risk for Esophageal Squamous Cell Carcinoma: A Population-Based Study in High-Risk Areas of China.

作者信息

Shen Yi, Xie Shuanghua, Zhao Lei, Song Guohui, Shao Yi, Hao Changqing, Niu Chen, Ruan Xiaoli, Zang Zhaoping, Nakyeyune Rena, Liu Fen, Wei Wenqiang

机构信息

Department of Epidemiology and Health Statistics, School of Public Health, Beijing Municipal Key Laboratory of Clinical Epidemiology, Capital Medical University, Beijing, China.

National Central Cancer Registry, National Cancer Center/National Clinical Research Center for Cancer/Cancer Hospital, Chinese Academy of Medical Sciences and Peking Union Medical College, Beijing, China.

出版信息

Front Oncol. 2021 Jan 8;10:598603. doi: 10.3389/fonc.2020.598603. eCollection 2020.

Abstract

BACKGROUND

Esophageal squamous cell carcinoma (ESCC) has a high incidence rate and poor prognosis. In this study, we aimed to develop a predictive model to estimate the individualized 5-year absolute risk for ESCC in Chinese populations living in the high-risk areas of China.

METHODS

We developed a risk-predicting model based on the epidemiologic data from a population-based case-control study including 244 newly diagnosed ESCC patients and 1,220 healthy controls. Initially, we included easy-to-obtain risk factors to construct the model using the multivariable logistic regression analysis. The area under the ROC curves (AUC) with cross-validation methods was used to evaluate the performance of the model. Combined with local age- and sex-specific ESCC incidence and mortality rates, the model was then used to estimate the absolute risk of developing ESCC within 5 years.

RESULTS

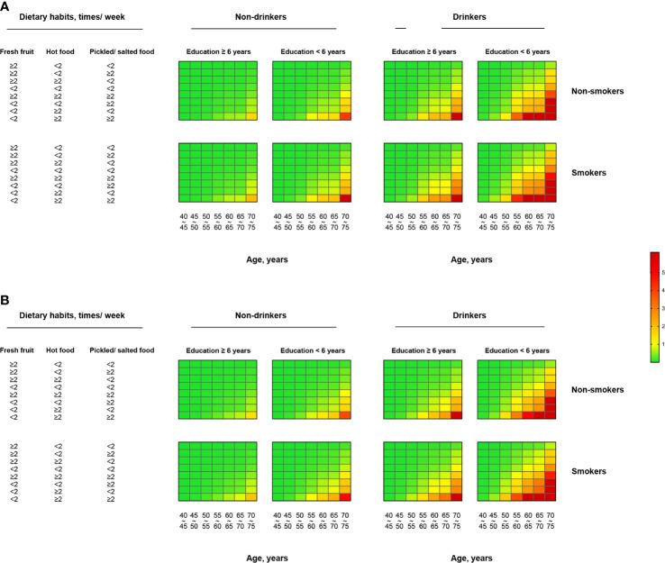
A relative risk model was established that included eight factors: age, sex, tobacco smoking, alcohol drinking, education, and dietary habits (intake of hot food, intake of pickled/salted food, and intake of fresh fruit). The relative risk model had good discrimination [AUC, 0.785; 95% confidence interval (CI), 0.749-0.821]. The estimated 5-year absolute risk of ESCC for individuals varied widely, from 0.0003% to 19.72% in the studied population, depending on the exposure to risk factors.

CONCLUSIONS

Our model based on readily identifiable risk factors showed good discriminative accuracy and strong robustness. And it could be applied to identify individuals with a higher risk of developing ESCC in the Chinese population, who might benefit from further targeted screening to prevent esophageal cancer.

摘要

背景

食管鳞状细胞癌(ESCC)发病率高且预后较差。在本研究中,我们旨在建立一种预测模型,以估计生活在中国高危地区的中国人群中ESCC的个体化5年绝对风险。

方法

我们基于一项基于人群的病例对照研究的流行病学数据开发了一种风险预测模型,该研究包括244例新诊断的ESCC患者和1220例健康对照。最初,我们纳入易于获得的风险因素,使用多变量逻辑回归分析构建模型。采用交叉验证方法的ROC曲线下面积(AUC)用于评估模型的性能。结合当地特定年龄和性别的ESCC发病率和死亡率,该模型随后用于估计5年内发生ESCC的绝对风险。

结果

建立了一个相对风险模型,该模型包括八个因素:年龄、性别、吸烟、饮酒、教育程度和饮食习惯(热食摄入量、腌制/盐渍食品摄入量和新鲜水果摄入量)。相对风险模型具有良好的区分度[AUC,0.785;95%置信区间(CI),0.749 - 0.821]。在研究人群中,个体ESCC的估计5年绝对风险差异很大,从0.0003%到19.72%不等,这取决于对风险因素的暴露情况。

结论

我们基于易于识别的风险因素建立的模型显示出良好的区分准确性和强大的稳健性。它可用于识别中国人群中发生ESCC风险较高的个体,这些个体可能受益于进一步的针对性筛查以预防食管癌。

https://cdn.ncbi.nlm.nih.gov/pmc/blobs/74c0/7821851/d25040e017d1/fonc-10-598603-g001.jpg

文献检索

告别复杂PubMed语法,用中文像聊天一样搜索,搜遍4000万医学文献。AI智能推荐,让科研检索更轻松。

立即免费搜索

文件翻译

保留排版,准确专业,支持PDF/Word/PPT等文件格式,支持 12+语言互译。

免费翻译文档

深度研究

AI帮你快速写综述,25分钟生成高质量综述,智能提取关键信息,辅助科研写作。

立即免费体验