Suppr超能文献

亚洲稻品种开花时间对环境温度响应的遗传解析。

Genetic Elucidation for Response of Flowering Time to Ambient Temperatures in Asian Rice Cultivars.

机构信息

National Agriculture and Food Research Organization, Institute of Crop Science, Tsukuba, Ibaraki 305-8518, Japan.

Okayama University, Institute of Plant Science and Resources, Kurashiki, Okayama 710-0046, Japan.

出版信息

Int J Mol Sci. 2021 Jan 20;22(3):1024. doi: 10.3390/ijms22031024.

Abstract

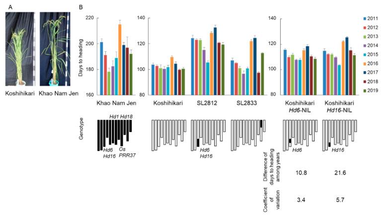
Climate resilience of crops is critical for global food security. Understanding the genetic basis of plant responses to ambient environmental changes is key to developing resilient crops. To detect genetic factors that set flowering time according to seasonal temperature conditions, we evaluated differences of flowering time over years by using chromosome segment substitution lines (CSSLs) derived from rice cultivars "Koshihikari" × "Khao Nam Jen", each with different robustness of flowering time to environmental fluctuations. The difference of flowering times in 9 years' field tests was large in "Khao Nam Jen" (36.7 days) but small in "Koshihikari" (9.9 days). Part of this difference was explained by two QTLs. A CSSL with a "Khao Nam Jen" segment on chromosome 11 showed 28.0 days' difference; this QTL would encode a novel flowering-time gene. Another CSSL with a segment from "Khao Nam Jen" in the region around on chromosome 3 showed 23.4 days" difference. A near-isogenic line (NIL) for showed 21.6 days' difference, suggesting as a candidate for this QTL. RNA-seq analysis showed differential expression of several flowering-time genes between early and late flowering seasons. Low-temperature treatment at panicle initiation stage significantly delayed flowering in the CSSL and NIL compared with "Koshihikari". Our results unravel the molecular control of flowering time under ambient temperature fluctuations.

摘要

作物的气候适应能力对全球粮食安全至关重要。了解植物对环境变化的响应的遗传基础是培育适应能力强的作物的关键。为了检测根据季节温度条件设定开花时间的遗传因素,我们利用来源于水稻品种“越光”ד昭二”的染色体片段代换系(CSSL),评估了多年的开花时间差异,这两个品种的开花时间对环境波动的稳健性不同。在 9 年的田间试验中,“昭二”的开花时间差异较大(36.7 天),而“越光”的差异较小(9.9 天)。部分差异由两个 QTL 解释。一个在第 11 染色体上具有“昭二”片段的 CSSL 显示出 28.0 天的差异;这个 QTL 可能编码一个新的开花时间基因。另一个在第 3 染色体上“昭二”区域的 CSSL 显示出 23.4 天的差异。一个携带“昭二”片段的近等基因系(NIL)显示出 21.6 天的差异,表明 可能是这个 QTL 的候选基因。RNA-seq 分析显示,在早花和晚花季节之间,几个开花时间基因的表达存在差异。与“越光”相比,在小穗起始阶段进行低温处理会显著延迟 CSSL 和 NIL 的开花时间。我们的研究结果揭示了在环境温度波动下开花时间的分子调控机制。

https://cdn.ncbi.nlm.nih.gov/pmc/blobs/819c/7864171/b63e123828de/ijms-22-01024-g001.jpg

文献检索

告别复杂PubMed语法,用中文像聊天一样搜索,搜遍4000万医学文献。AI智能推荐,让科研检索更轻松。

立即免费搜索

文件翻译

保留排版,准确专业,支持PDF/Word/PPT等文件格式,支持 12+语言互译。

免费翻译文档

深度研究

AI帮你快速写综述,25分钟生成高质量综述,智能提取关键信息,辅助科研写作。

立即免费体验