Suppr超能文献

人参皂苷 Rb1 通过抑制 3T3-L1 脂肪细胞中的 Wnt/β-连环蛋白信号通路促进棕色化。

Ginsenoside Rb1 Facilitates Browning by Repressing Wnt/β-Catenin Signaling in 3T3-L1 Adipocytes.

机构信息

Department of Anatomy and Histology, School of Basic Medical Sciences, Tianjin Medical University, Tianjin, China (mainland).

Hospital of Chengdu Office of People's Government of Tibetan Autonomous Region (Hospital C. T.), Chengdu, Sichuan, China (mainland).

出版信息

Med Sci Monit. 2021 Jan 27;27:e928619. doi: 10.12659/MSM.928619.

Abstract

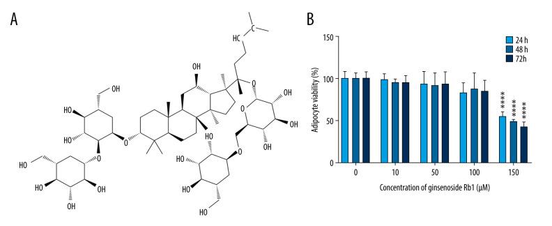
BACKGROUND The discovery of browning in white adipose tissue has provided new ideas for treating obesity. Many studies have reported that ginsenoside Rb1 (G-Rb1) has activity against diabetes, inflammation, and obesity, but further investigation is needed on the effect and mechanism of G-Rb1 on browning. MATERIAL AND METHODS We treated 3T3-L1 adipocytes with 0-200 μM G-Rb1, and 0.5 μM Compound 3f and 30 μM SKL2001 were used to activate Wnt/b-catenin signaling. Adipocyte activity was evaluated by Cell Counting Kit-8. Oil Red O staining was used to detect the lipid droplets. Quantitative real-time polymerase chain reaction was used to measure the expression of Cd-137, Cited-1, Txb-1, Prdm-16, and Ucp-1 mRNA. Western blotting was used to measure the expression of Ucp-1, pGSK-3ß (Ser 9), GSK- 3ß, and ß-catenin proteins. The expression of Ucp-1 was also detected with immunofluorescence. RESULTS Adipocyte activity was not affected by 0-100 μM G-Rb1. However, G-Rb1 dose-dependently reduced the accumulation of lipid droplets; increased the expression of Cd-137, Cited-1, Txb-1, Prdm-16, and Ucp-1 mRNA; and increased the expression of Ucp-1, pGSK-3ß (Ser 9), GSK-3ß, and ß-catenin proteins. The accumulation of lipid droplets and the expression of Ucp-1 protein decreased as b-catenin increased. CONCLUSIONS G-Rb1 at various concentrations (0-100 μM) promoted the browning of adipocytes in a dose-dependent manner. Further, we confirmed that activation of Wnt/ß-catenin signaling could inhibit browning. Therefore, the browning promoted by G-Rb1 may be associated with the inhibition of Wnt/ß-catenin signaling.

摘要

背景

白色脂肪组织的褐变发现为肥胖症的治疗提供了新的思路。许多研究报道人参皂苷 Rb1(G-Rb1)具有抗糖尿病、抗炎和肥胖的活性,但需要进一步研究 G-Rb1 对褐变的作用和机制。

材料和方法

我们用 0-200μM 的 G-Rb1 处理 3T3-L1 脂肪细胞,用 0.5μM 的化合物 3f 和 30μM 的 SKL2001 激活 Wnt/β-catenin 信号通路。用细胞计数试剂盒-8 评估脂肪细胞活性。用油红 O 染色检测脂滴。用定量实时聚合酶链反应检测 Cd-137、Cited-1、Txb-1、Prdm-16 和 Ucp-1mRNA 的表达。用 Western 印迹法检测 Ucp-1、pGSK-3β(Ser9)、GSK-3β和β-catenin 蛋白的表达。用免疫荧光法检测 Ucp-1 的表达。

结果

0-100μM 的 G-Rb1 对脂肪细胞活性没有影响。然而,G-Rb1 呈剂量依赖性地减少脂滴的积累;增加 Cd-137、Cited-1、Txb-1、Prdm-16 和 Ucp-1mRNA 的表达;并增加 Ucp-1、pGSK-3β(Ser9)、GSK-3β和β-catenin 蛋白的表达。随着β-catenin 的增加,脂滴的积累和 Ucp-1 蛋白的表达减少。

结论

不同浓度(0-100μM)的 G-Rb1 以剂量依赖的方式促进脂肪细胞的褐变。此外,我们证实激活 Wnt/β-catenin 信号通路可以抑制褐变。因此,G-Rb1 促进的褐变可能与抑制 Wnt/β-catenin 信号通路有关。

https://cdn.ncbi.nlm.nih.gov/pmc/blobs/7677/7849207/68401697b3fd/medscimonit-27-e928619-g001.jpg

文献AI研究员

20分钟写一篇综述,助力文献阅读效率提升50倍。

立即体验

用中文搜PubMed

大模型驱动的PubMed中文搜索引擎

马上搜索

文档翻译

学术文献翻译模型,支持多种主流文档格式。

立即体验