Suppr超能文献

焦虑症状在预测边缘型人格特质的心理社会功能方面的意义。

The significance of anxiety symptoms in predicting psychosocial functioning across borderline personality traits.

机构信息

Department of Psychological and Brain Sciences (PBS), Indiana University-Bloomington, Bloomington, Indiana, United States of America.

School of Education, Indiana University-Bloomington, Bloomington, Indiana, United States of America.

出版信息

PLoS One. 2021 Jan 27;16(1):e0245099. doi: 10.1371/journal.pone.0245099. eCollection 2021.

Abstract

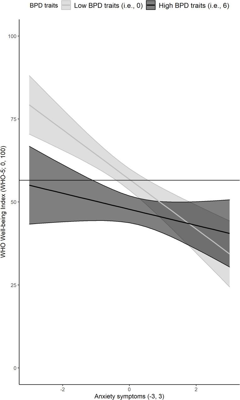
Emotion regulation is a central task of daily life. Difficulty regulating emotions is a core feature of borderline personality disorder (BPD), one of the most common and impairing personality disorder diagnoses. While anger and symptoms of depression are instantiated in the criteria for BPD, anxiety is not, despite being among the most common psychiatric symptoms. In a sample of online respondents (N = 471), we explored the interactions between anxiety symptoms and BPD traits in predicting well-being (WHO-5) as well as poorer work and social adjustment (WSAS), while controlling for anger and depression. We hypothesized that anxiety would lead to more impairment (i.e., lower well-being and poorer work and more difficulties with work and social adjustment) as BPD traits increased. BPD traits and symptoms of anxiety both contributed to overall lower levels well-being and higher levels of psychosocial dysfunction. However, contrary to our expectations, at higher (vs. lower) levels of BPD traits, symptoms of anxiety were less conducive to lower well-being on the WHO-5. For the WSAS, there was no consistent evidence for an interaction between BPD traits and anxiety in predicting functioning. By and large, our results do not support the idea that anxiety contributes to more impairment at higher levels of BPD traits.

摘要

情绪调节是日常生活的一项核心任务。情绪调节困难是边缘型人格障碍(BPD)的核心特征之一,BPD 是最常见和最具损害性的人格障碍诊断之一。尽管焦虑是最常见的精神症状之一,但在 BPD 的诊断标准中并没有体现愤怒和抑郁症状。在一项在线受访者样本(N=471)中,我们探讨了焦虑症状与 BPD 特征之间的相互作用,以预测幸福感(WHO-5)以及较差的工作和社交适应(WSAS),同时控制了愤怒和抑郁。我们假设,随着 BPD 特征的增加,焦虑会导致更多的障碍(即幸福感降低、工作和社交适应困难增加)。BPD 特征和焦虑症状都导致整体幸福感降低和心理社会功能障碍程度更高。然而,与我们的预期相反,在较高(而非较低)的 BPD 特征水平上,焦虑症状对 WHO-5 中较低的幸福感的影响较小。对于 WSAS,没有证据表明 BPD 特征和焦虑之间的交互作用可以预测功能。总的来说,我们的结果并不支持焦虑在较高的 BPD 特征水平上会导致更多障碍的观点。

https://cdn.ncbi.nlm.nih.gov/pmc/blobs/3a72/7840050/685f9ea115d7/pone.0245099.g001.jpg

文献AI研究员

20分钟写一篇综述,助力文献阅读效率提升50倍。

立即体验

用中文搜PubMed

大模型驱动的PubMed中文搜索引擎

马上搜索

文档翻译

学术文献翻译模型,支持多种主流文档格式。

立即体验