Suppr超能文献

意大利 COVID-19 封锁期间认知和心理健康变化及其脆弱性因素。

Cognitive and mental health changes and their vulnerability factors related to COVID-19 lockdown in Italy.

机构信息

Department of General Psychology, University of Padua, Padua, Italy.

IRCCS Fondazione Santa Lucia, Rome, Italy.

出版信息

PLoS One. 2021 Jan 27;16(1):e0246204. doi: 10.1371/journal.pone.0246204. eCollection 2021.

Abstract

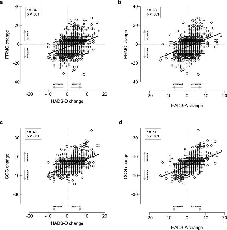
The COVID-19 pandemic and government imposed social restrictions like lockdown exposed most individuals to an unprecedented stress, increasing mental health disorders worldwide. We explored subjective cognitive functioning and mental health changes and their possible interplay related to COVID-19-lockdown. We also investigated potential risk factors to identify more vulnerable groups. Across Italy, 1215 respondents completed our Qualtrics-based online-survey during the end of a seven to 10-week imposed lockdown and home confinement (from April 29 to May 17, 2020). We found subjective cognitive functioning and mental health severely changed in association with the lockdown. Under government regulations, cognitive complaints were mostly perceived in routine tasks involving attention, temporal orientation and executive functions-with no changes in language abilities. A paradoxical effect was observed for memory, with reduced forgetfulness compared to pre-lockdown. We found higher severity and prevalence of depression, anxiety disorders, abnormal sleep, appetite changes, reduced libido and health anxiety: with mild-to-severe depression and anxiety prevalence climbing to 32 and 36 percent, respectively, under restrictions. Being female, under 45 years, working from home or being underemployed were all identified as relevant risk factors for worsening cognition and mental health. Frequent consumers of COVID-19 mass media information or residents in highly infected communities reported higher depression and anxiety symptoms, particularly hypochondria in the latter. If similar restrictions are reimposed, governments must carefully consider these more vulnerable groups in their decisions, whilst developing effective global and long-term responses to the cognitive and mental health challenges of this type of pandemic; as well as implementing appropriate psychological interventions with specific guidelines: particularly regarding exposure to COVID-19 mass-media reports.

摘要

COVID-19 大流行和政府实施的社会限制,如封锁,使大多数人面临前所未有的压力,导致全球范围内的心理健康障碍增加。我们探讨了与 COVID-19 封锁相关的主观认知功能和心理健康变化及其可能的相互作用。我们还研究了潜在的风险因素,以确定更脆弱的群体。在意大利,1215 名受访者在实施封锁和居家隔离的最后一周至十周内(2020 年 4 月 29 日至 5 月 17 日)完成了我们基于 Qualtrics 的在线调查。我们发现,与封锁相关,主观认知功能和心理健康严重改变。根据政府规定,在涉及注意力、时间定向和执行功能的日常任务中,认知投诉大多被感知到,而语言能力没有变化。记忆出现了一种矛盾的效应,与封锁前相比,遗忘减少。我们发现,抑郁、焦虑障碍、睡眠异常、食欲改变、性欲降低和健康焦虑的严重程度和患病率更高:在限制下,轻度至重度抑郁和焦虑的患病率分别攀升至 32%和 36%。女性、45 岁以下、在家工作或就业不足,都被确定为认知和心理健康恶化的相关风险因素。频繁接触 COVID-19 大众媒体信息或居住在高感染社区的人报告了更高的抑郁和焦虑症状,特别是后者的疑病症。如果再次实施类似的限制,政府在做出决策时必须仔细考虑这些更脆弱的群体,同时制定有效的全球和长期应对此类大流行带来的认知和心理健康挑战的措施;并实施适当的心理干预措施,制定特定的指南:特别是关于接触 COVID-19 大众媒体报道的问题。

https://cdn.ncbi.nlm.nih.gov/pmc/blobs/3564/7840042/ee78898e1ce8/pone.0246204.g001.jpg

文献检索

告别复杂PubMed语法,用中文像聊天一样搜索,搜遍4000万医学文献。AI智能推荐,让科研检索更轻松。

立即免费搜索

文件翻译

保留排版,准确专业,支持PDF/Word/PPT等文件格式,支持 12+语言互译。

免费翻译文档

深度研究

AI帮你快速写综述,25分钟生成高质量综述,智能提取关键信息,辅助科研写作。

立即免费体验