• 文献检索
  • 文档翻译
  • 深度研究
  • 学术资讯
  • Suppr Zotero 插件Zotero 插件
  • 邀请有礼
  • 套餐&价格
  • 历史记录
应用&插件
Suppr Zotero 插件Zotero 插件浏览器插件Mac 客户端Windows 客户端微信小程序
定价
高级版会员购买积分包购买API积分包
服务
文献检索文档翻译深度研究API 文档MCP 服务
关于我们
关于 Suppr公司介绍联系我们用户协议隐私条款
关注我们

Suppr 超能文献

核心技术专利:CN118964589B侵权必究
粤ICP备2023148730 号-1Suppr @ 2026

文献检索

告别复杂PubMed语法,用中文像聊天一样搜索,搜遍4000万医学文献。AI智能推荐,让科研检索更轻松。

立即免费搜索

文件翻译

保留排版,准确专业,支持PDF/Word/PPT等文件格式,支持 12+语言互译。

免费翻译文档

深度研究

AI帮你快速写综述,25分钟生成高质量综述,智能提取关键信息,辅助科研写作。

立即免费体验

微创脊柱侧弯手术是治疗特发性脊柱侧弯的一种可行选择,且与开放手术疗效相当:一项荟萃分析

Minimally Invasive Scoliosis Surgery Is a Feasible Option for Management of Idiopathic Scoliosis and Has Equivalent Outcomes to Open Surgery: A Meta-Analysis.

作者信息

Alhammoud Abduljabbar, Alborno Yahya, Baco Abdul Moeen, Othman Yahya Azhar, Ogura Yoji, Steinhaus Michael, Sheha Evan D, Qureshi Sheeraz A

机构信息

Hamad Medical Corporation, Doha, Qatar.

Kaiser Permanente Oakland Medical Center, Oakland, CA, USA.

出版信息

Global Spine J. 2022 Apr;12(3):483-492. doi: 10.1177/2192568220988267. Epub 2021 Feb 9.

DOI:10.1177/2192568220988267
PMID:33557618
原文链接:https://pmc.ncbi.nlm.nih.gov/articles/PMC9121169/
Abstract

STUDY DESIGN

Meta-analysis.

OBJECTIVE

To compare outcomes between minimally invasive scoliosis surgery (MISS) and traditional posterior instrumentation and fusion in the correction of adolescent idiopathic scoliosis (AIS).

METHODS

A literature search was performed using MEDLINE, PubMed, EMBASE, Google scholar and Cochrane databases, including studies reporting outcomes for both MISS and open correction of AIS. Study details, demographics, and outcomes, including curve correction, estimated blood loss (EBL), operative time, postoperative pain, length of stay (LOS), and complications, were collected and analyzed.

RESULTS

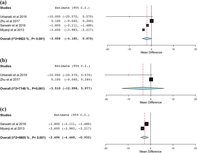
A total of 4 studies met the selection criteria and were included in the analysis, totaling 107 patients (42 MIS and 65 open) with a mean age of 16 years. Overall there was no difference in curve correction between MISS (73.2%) and open (76.7%) cohorts. EBL was significantly lower in the MISS (271 ml) compared to the open (527 ml) group, but operative time was significantly longer (380 min for MISS versus 302 min for open). There were no significant differences between the approaches in pain, LOS, complications, or reoperations.

CONCLUSION

MISS was associated with less blood loss but longer operative times compared to traditional open fusion for AIS. There was no difference in curve correction, postoperative pain, LOS, or complications/reoperations. While MISS has emerged as a feasible option for the surgical management of AIS, further research is warranted to compare these 2 approaches.

摘要

研究设计

荟萃分析。

目的

比较微创脊柱侧弯手术(MISS)与传统后路内固定融合术在矫正青少年特发性脊柱侧弯(AIS)方面的疗效。

方法

使用MEDLINE、PubMed、EMBASE、谷歌学术和Cochrane数据库进行文献检索,纳入报告了MISS和AIS开放矫正术疗效的研究。收集并分析研究细节、人口统计学数据及疗效,包括侧弯矫正、估计失血量(EBL)、手术时间、术后疼痛、住院时间(LOS)和并发症。

结果

共有4项研究符合入选标准并纳入分析,共计107例患者(42例MISS和65例开放手术),平均年龄16岁。总体而言,MISS组(73.2%)和开放手术组(76.7%)在侧弯矫正方面无差异。与开放手术组(527毫升)相比,MISS组的EBL显著更低(271毫升),但手术时间显著更长(MISS组为380分钟,开放手术组为302分钟)。两种手术方式在疼痛、LOS、并发症或再次手术方面无显著差异。

结论

与AIS的传统开放融合术相比,MISS的失血量更少,但手术时间更长。在侧弯矫正、术后疼痛、LOS或并发症/再次手术方面无差异。虽然MISS已成为AIS手术治疗的一种可行选择,但仍需进一步研究以比较这两种手术方式。

https://cdn.ncbi.nlm.nih.gov/pmc/blobs/be5c/9121169/ad486dcbb129/10.1177_2192568220988267-fig7.jpg
https://cdn.ncbi.nlm.nih.gov/pmc/blobs/be5c/9121169/38e6eda0b9e6/10.1177_2192568220988267-fig1.jpg
https://cdn.ncbi.nlm.nih.gov/pmc/blobs/be5c/9121169/9bf6ab68f75a/10.1177_2192568220988267-fig2.jpg
https://cdn.ncbi.nlm.nih.gov/pmc/blobs/be5c/9121169/44add194ea05/10.1177_2192568220988267-fig3.jpg
https://cdn.ncbi.nlm.nih.gov/pmc/blobs/be5c/9121169/bc8621d78c36/10.1177_2192568220988267-fig4.jpg
https://cdn.ncbi.nlm.nih.gov/pmc/blobs/be5c/9121169/948282ec3c23/10.1177_2192568220988267-fig5.jpg
https://cdn.ncbi.nlm.nih.gov/pmc/blobs/be5c/9121169/19a7c1dfe96e/10.1177_2192568220988267-fig6.jpg
https://cdn.ncbi.nlm.nih.gov/pmc/blobs/be5c/9121169/ad486dcbb129/10.1177_2192568220988267-fig7.jpg
https://cdn.ncbi.nlm.nih.gov/pmc/blobs/be5c/9121169/38e6eda0b9e6/10.1177_2192568220988267-fig1.jpg
https://cdn.ncbi.nlm.nih.gov/pmc/blobs/be5c/9121169/9bf6ab68f75a/10.1177_2192568220988267-fig2.jpg
https://cdn.ncbi.nlm.nih.gov/pmc/blobs/be5c/9121169/44add194ea05/10.1177_2192568220988267-fig3.jpg
https://cdn.ncbi.nlm.nih.gov/pmc/blobs/be5c/9121169/bc8621d78c36/10.1177_2192568220988267-fig4.jpg
https://cdn.ncbi.nlm.nih.gov/pmc/blobs/be5c/9121169/948282ec3c23/10.1177_2192568220988267-fig5.jpg
https://cdn.ncbi.nlm.nih.gov/pmc/blobs/be5c/9121169/19a7c1dfe96e/10.1177_2192568220988267-fig6.jpg
https://cdn.ncbi.nlm.nih.gov/pmc/blobs/be5c/9121169/ad486dcbb129/10.1177_2192568220988267-fig7.jpg

相似文献

1
Minimally Invasive Scoliosis Surgery Is a Feasible Option for Management of Idiopathic Scoliosis and Has Equivalent Outcomes to Open Surgery: A Meta-Analysis.微创脊柱侧弯手术是治疗特发性脊柱侧弯的一种可行选择,且与开放手术疗效相当:一项荟萃分析
Global Spine J. 2022 Apr;12(3):483-492. doi: 10.1177/2192568220988267. Epub 2021 Feb 9.
2
Posterior minimally invasive scoliosis surgery versus the standard posterior approach for the management of adolescent idiopathic scoliosis: an updated meta-analysis.后路微创脊柱侧弯矫形术与标准后路入路治疗青少年特发性脊柱侧弯的比较:一项更新的荟萃分析。
J Orthop Surg Res. 2022 Jan 29;17(1):58. doi: 10.1186/s13018-022-02954-4.
3
Minimally invasive scoliosis surgery assisted by O-arm navigation for Lenke Type 5C adolescent idiopathic scoliosis: a comparison with standard open approach spinal instrumentation.O型臂导航辅助下的微创脊柱侧弯手术治疗Lenke 5C型青少年特发性脊柱侧弯:与标准开放手术脊柱内固定的比较
J Neurosurg Pediatr. 2017 Apr;19(4):472-478. doi: 10.3171/2016.11.PEDS16412. Epub 2017 Feb 10.
4
Adolescent Idiopathic Scoliosis: Is the Feasible Option of Minimally Invasive Surgery using Posterior Approach?青少年特发性脊柱侧凸:后路微创外科手术是可行选择吗?
Asian Spine J. 2024 Apr;18(2):287-300. doi: 10.31616/asj.2023.0408. Epub 2023 Dec 21.
5
Minimally invasive surgery using posterior-only Pedicle screw fixation in treatment of Adolescent Idiopathic Scoliosis: A Systematic Review and Meta-Analysis.单纯后路椎弓根螺钉固定微创手术治疗青少年特发性脊柱侧凸:一项系统评价与Meta分析
J Clin Neurosci. 2022 May;99:317-326. doi: 10.1016/j.jocn.2022.03.019. Epub 2022 Mar 24.
6
Minimally Invasive Surgery in Patients With Adolescent Idiopathic Scoliosis: Is it Better than the Standard Approach? A 2-Year Follow-up Study.青少年特发性脊柱侧弯患者的微创手术:它比标准方法更好吗?一项为期2年的随访研究。
Clin Spine Surg. 2016 Oct;29(8):331-40. doi: 10.1097/BSD.0000000000000106.
7
Adult versus adolescent idiopathic scoliosis surgery: a meta-analysis of clinical and radiographic outcomes.成人特发性脊柱侧凸与青少年特发性脊柱侧凸手术:临床和影像学结果的荟萃分析。
Eur Spine J. 2024 Apr;33(4):1637-1643. doi: 10.1007/s00586-024-08177-x. Epub 2024 Mar 4.
8
Minimally Invasive Surgery for Posterior Spinal Instrumentation and Fusion in Adolescent Idiopathic Scoliosis: Current Status and Future Application.青少年特发性脊柱侧凸后路脊柱内固定融合术的微创手术:现状与未来应用
Children (Basel). 2023 Nov 30;10(12):1882. doi: 10.3390/children10121882.
9
Minimally invasive surgery for adolescent idiopathic scoliosis: correction of deformity and peri-operative morbidity in 70 consecutive patients.青少年特发性脊柱侧凸的微创手术:70例连续患者的畸形矫正及围手术期发病率
Bone Joint J. 2017 Dec;99-B(12):1651-1657. doi: 10.1302/0301-620X.99B12.BJJ-2017-0022.R2.
10
Fusion rates based on type of bone graft substitute using minimally invasive scoliosis surgery for adolescent idiopathic scoliosis.基于微创脊柱侧凸手术中使用的骨移植替代物类型的融合率,用于青少年特发性脊柱侧凸。
BMC Musculoskelet Disord. 2023 Jan 14;24(1):30. doi: 10.1186/s12891-023-06134-1.

引用本文的文献

1
Techniques of Deformity Correction in Adolescent Idiopathic Scoliosis-A Narrative Review of the Existing Literature.青少年特发性脊柱侧弯畸形矫正技术——现有文献的叙述性综述
J Clin Med. 2025 Mar 31;14(7):2396. doi: 10.3390/jcm14072396.
2
Complications in Minimally Invasive Spine Surgery in the Last 10 Years: A Narrative Review.过去十年微创脊柱手术的并发症:一项叙述性综述
Neurospine. 2024 Sep;21(3):770-803. doi: 10.14245/ns.2448652.326. Epub 2024 Sep 30.
3
Minimally invasive surgery versus standard posterior approach in the treatment of adolescent idiopathic scoliosis: a 2-year follow-up retrospective study.

本文引用的文献

1
Minimally Invasive Spine Lumbar Surgery in Obese Patients: A Systematic Review and Meta-Analysis.肥胖患者的微创脊柱腰椎手术:一项系统评价与荟萃分析
HSS J. 2020 Jul;16(2):168-176. doi: 10.1007/s11420-019-09735-6. Epub 2020 Jan 18.
2
Safety and effectiveness of minimally invasive scoliosis surgery for adolescent idiopathic scoliosis: a retrospective case series of 84 patients.微创脊柱侧弯矫形术治疗青少年特发性脊柱侧弯的安全性和有效性:84 例回顾性病例系列研究。
Eur Spine J. 2020 Apr;29(4):761-769. doi: 10.1007/s00586-019-06172-1. Epub 2019 Oct 21.
3
Spinal navigation for minimally invasive thoracic and lumbosacral spine fixation: implications for radiation exposure, operative time, and accuracy of pedicle screw placement.
微创手术与标准后路手术治疗青少年特发性脊柱侧凸的对比:一项2年随访的回顾性研究
Eur Spine J. 2024 Jun;33(6):2495-2503. doi: 10.1007/s00586-024-08225-6. Epub 2024 Apr 26.
4
Minimally Invasive Surgery for Adolescent Idiopathic Scoliosis: A Systematic Review.青少年特发性脊柱侧弯的微创手术:一项系统评价
J Clin Med. 2024 Mar 29;13(7):2013. doi: 10.3390/jcm13072013.
5
Minimally Invasive Surgery for Posterior Spinal Instrumentation and Fusion in Adolescent Idiopathic Scoliosis: Current Status and Future Application.青少年特发性脊柱侧凸后路脊柱内固定融合术的微创手术:现状与未来应用
Children (Basel). 2023 Nov 30;10(12):1882. doi: 10.3390/children10121882.
6
Inducing Angiogenesis in the Nucleus Pulposus.诱导髓核血管生成。
Cells. 2023 Oct 19;12(20):2488. doi: 10.3390/cells12202488.
7
The outcome of enhanced recovery after surgery vs. a traditional pathway in adolescent idiopathic scoliosis surgery: A retrospective comparative study.青少年特发性脊柱侧凸手术中术后加速康复与传统路径的效果:一项回顾性比较研究。
Front Surg. 2022 Oct 5;9:989119. doi: 10.3389/fsurg.2022.989119. eCollection 2022.
8
Posterior minimally invasive scoliosis surgery versus the standard posterior approach for the management of adolescent idiopathic scoliosis: an updated meta-analysis.后路微创脊柱侧弯矫形术与标准后路入路治疗青少年特发性脊柱侧弯的比较:一项更新的荟萃分析。
J Orthop Surg Res. 2022 Jan 29;17(1):58. doi: 10.1186/s13018-022-02954-4.
9
Less Invasive Pediatric Spinal Deformity Surgery: The Case for Robotic-Assisted Placement of Pedicle Screws.微创小儿脊柱畸形手术:机器人辅助椎弓根螺钉置入的案例
HSS J. 2021 Oct;17(3):317-325. doi: 10.1177/15563316211027828. Epub 2021 Jul 8.
用于微创胸腰椎和腰骶椎脊柱固定的脊柱导航:对辐射暴露、手术时间和椎弓根螺钉置入准确性的影响
Eur Spine J. 2018 Aug;27(8):1918-1924. doi: 10.1007/s00586-018-5587-z. Epub 2018 Apr 17.
4
Tranexamic Acid Reduced the Percent of Total Blood Volume Lost During Adolescent Idiopathic Scoliosis Surgery.氨甲环酸减少了青少年特发性脊柱侧弯手术期间总血容量丢失的百分比。
Int J Spine Surg. 2017 Aug 4;11(4):27. doi: 10.14444/4027. eCollection 2017.
5
Minimally invasive surgery for adolescent idiopathic scoliosis: correction of deformity and peri-operative morbidity in 70 consecutive patients.青少年特发性脊柱侧凸的微创手术:70例连续患者的畸形矫正及围手术期发病率
Bone Joint J. 2017 Dec;99-B(12):1651-1657. doi: 10.1302/0301-620X.99B12.BJJ-2017-0022.R2.
6
Complication rates associated with open versus percutaneous pedicle screw instrumentation among patients undergoing minimally invasive interbody fusion for adult spinal deformity.接受微创经椎间孔融合术治疗成人脊柱畸形的患者中,开放与经皮椎弓根螺钉内固定相关的并发症发生率。
Neurosurg Focus. 2017 Dec;43(6):E7. doi: 10.3171/2017.8.FOCUS17479.
7
Minimally invasive scoliosis surgery assisted by O-arm navigation for Lenke Type 5C adolescent idiopathic scoliosis: a comparison with standard open approach spinal instrumentation.O型臂导航辅助下的微创脊柱侧弯手术治疗Lenke 5C型青少年特发性脊柱侧弯:与标准开放手术脊柱内固定的比较
J Neurosurg Pediatr. 2017 Apr;19(4):472-478. doi: 10.3171/2016.11.PEDS16412. Epub 2017 Feb 10.
8
Minimally Invasive Scoliosis Surgery: A Novel Technique in Patients with Neuromuscular Scoliosis.微创脊柱侧弯手术:神经肌肉型脊柱侧弯患者的一种新技术。
Biomed Res Int. 2015;2015:481945. doi: 10.1155/2015/481945. Epub 2015 Nov 16.
9
Efficacy and Safety of Antifibrinolytic Agents in Reducing Perioperative Blood Loss and Transfusion Requirements in Scoliosis Surgery: A Systematic Review and Meta-Analysis.抗纤溶药物在减少脊柱侧弯手术围手术期失血及输血需求方面的疗效与安全性:一项系统评价和荟萃分析
PLoS One. 2015 Sep 18;10(9):e0137886. doi: 10.1371/journal.pone.0137886. eCollection 2015.
10
Smaller body size increases the percentage of blood volume lost during posterior spinal arthrodesis.体型较小会增加后路脊柱融合术中失血量的百分比。
J Bone Joint Surg Am. 2015 Mar 18;97(6):507-11. doi: 10.2106/JBJS.N.01104.