• 文献检索
  • 文档翻译
  • 深度研究
  • 学术资讯
  • Suppr Zotero 插件Zotero 插件
  • 邀请有礼
  • 套餐&价格
  • 历史记录
应用&插件
Suppr Zotero 插件Zotero 插件浏览器插件Mac 客户端Windows 客户端微信小程序
定价
高级版会员购买积分包购买API积分包
服务
文献检索文档翻译深度研究API 文档MCP 服务
关于我们
关于 Suppr公司介绍联系我们用户协议隐私条款
关注我们

Suppr 超能文献

核心技术专利:CN118964589B侵权必究
粤ICP备2023148730 号-1Suppr @ 2026

文献检索

告别复杂PubMed语法,用中文像聊天一样搜索,搜遍4000万医学文献。AI智能推荐,让科研检索更轻松。

立即免费搜索

文件翻译

保留排版,准确专业,支持PDF/Word/PPT等文件格式,支持 12+语言互译。

免费翻译文档

深度研究

AI帮你快速写综述,25分钟生成高质量综述,智能提取关键信息,辅助科研写作。

立即免费体验

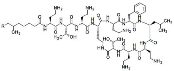
体外和体内评价 Tc-多粘菌素 B 对革兰氏阳性菌的特异性靶向作用。

In Vitro and In Vivo Evaluation of Tc-Polymyxin B for Specific Targeting of Gram-Bacteria.

机构信息

Nuclear Medicine Unit, Department of Medical-Surgical Sciences and of Translational Medicine, "Sapienza" University of Rome, 00161 Rome, Italy.

Microbiology Unit, Department of Clinical and Molecular Medicine, "Sapienza" University of Rome, 00161 Rome, Italy.

出版信息

Biomolecules. 2021 Feb 5;11(2):232. doi: 10.3390/biom11020232.

DOI:10.3390/biom11020232
PMID:33562877
原文链接:https://pmc.ncbi.nlm.nih.gov/articles/PMC7915610/
Abstract

BACKGROUND

Infectious diseases are one of the main causes of morbidity and mortality worldwide. Nuclear molecular imaging would be of great help to non-invasively discriminate between septic and sterile inflammation through available radiopharmaceuticals, as none is currently available for clinical practice. Here, we describe the radiolabeling procedure and in vitro and in vivo studies of Tc-polymyxin B sulfate (PMB) as a new single photon emission imaging agent for the characterization of infections due to Gram-negative bacteria.

RESULTS

Labeling efficiency was 97 ± 2% with an average molar activity of 29.5 ± 0.6 MBq/nmol. The product was highly stable in saline and serum up to 6 h. In vitro binding assay showed significant displaceable binding to Gram-negative bacteria but not to Gram-positive controls. In mice, Tc-HYNIC-PMB was mainly taken up by liver and kidneys. Targeting studies confirmed the specificity of Tc-HYNIC-PMB obtained in vitro, showing significantly higher T/B ratios for Gram-negative bacteria than Gram-positive controls.

CONCLUSIONS

In vitro and in vivo results suggest that Tc-HYNIC-PMB has a potential for in vivo identification of Gram-negative bacteria in patients with infections of unknown etiology. However, further investigations are needed to deeply understand the mechanism of action and behavior of Tc-HYNIC-PMB in other animal models and in humans.

摘要

背景

传染病是全球发病率和死亡率的主要原因之一。通过现有的放射性药物,核分子成像将有助于非侵入性地区分脓毒症和无菌性炎症,因为目前尚无放射性药物可用于临床实践。在这里,我们描述了 Tc-多粘菌素 B 硫酸盐(PMB)作为一种新的单光子发射成像剂用于鉴定革兰氏阴性菌感染的放射性标记程序以及体外和体内研究。

结果

标记效率为 97 ± 2%,平均摩尔活度为 29.5 ± 0.6 MBq/nmol。在生理盐水和血清中,产物在 6 小时内高度稳定。体外结合实验表明,与革兰氏阳性对照物相比,Tc-HYNIC-PMB 与革兰氏阴性细菌具有显著可置换的结合。在小鼠中,Tc-HYNIC-PMB 主要被肝脏和肾脏摄取。靶向研究证实了 Tc-HYNIC-PMB 在体外获得的特异性,显示出针对革兰氏阴性细菌的 T/B 比值明显高于革兰氏阳性对照物。

结论

体外和体内结果表明,Tc-HYNIC-PMB 具有在感染病因不明的患者中体内识别革兰氏阴性细菌的潜力。然而,需要进一步研究以深入了解 Tc-HYNIC-PMB 在其他动物模型和人类中的作用机制和行为。

https://cdn.ncbi.nlm.nih.gov/pmc/blobs/3995/7915610/225a837fe8af/biomolecules-11-00232-g007.jpg
https://cdn.ncbi.nlm.nih.gov/pmc/blobs/3995/7915610/c20df8b6c50a/biomolecules-11-00232-g001.jpg
https://cdn.ncbi.nlm.nih.gov/pmc/blobs/3995/7915610/755b17732f1b/biomolecules-11-00232-g002.jpg
https://cdn.ncbi.nlm.nih.gov/pmc/blobs/3995/7915610/d51240060b10/biomolecules-11-00232-g003.jpg
https://cdn.ncbi.nlm.nih.gov/pmc/blobs/3995/7915610/31656522e563/biomolecules-11-00232-g004.jpg
https://cdn.ncbi.nlm.nih.gov/pmc/blobs/3995/7915610/d32dc1420b00/biomolecules-11-00232-g005.jpg
https://cdn.ncbi.nlm.nih.gov/pmc/blobs/3995/7915610/bf35d3f4ac93/biomolecules-11-00232-g006.jpg
https://cdn.ncbi.nlm.nih.gov/pmc/blobs/3995/7915610/225a837fe8af/biomolecules-11-00232-g007.jpg
https://cdn.ncbi.nlm.nih.gov/pmc/blobs/3995/7915610/c20df8b6c50a/biomolecules-11-00232-g001.jpg
https://cdn.ncbi.nlm.nih.gov/pmc/blobs/3995/7915610/755b17732f1b/biomolecules-11-00232-g002.jpg
https://cdn.ncbi.nlm.nih.gov/pmc/blobs/3995/7915610/d51240060b10/biomolecules-11-00232-g003.jpg
https://cdn.ncbi.nlm.nih.gov/pmc/blobs/3995/7915610/31656522e563/biomolecules-11-00232-g004.jpg
https://cdn.ncbi.nlm.nih.gov/pmc/blobs/3995/7915610/d32dc1420b00/biomolecules-11-00232-g005.jpg
https://cdn.ncbi.nlm.nih.gov/pmc/blobs/3995/7915610/bf35d3f4ac93/biomolecules-11-00232-g006.jpg
https://cdn.ncbi.nlm.nih.gov/pmc/blobs/3995/7915610/225a837fe8af/biomolecules-11-00232-g007.jpg

相似文献

1
In Vitro and In Vivo Evaluation of Tc-Polymyxin B for Specific Targeting of Gram-Bacteria.体外和体内评价 Tc-多粘菌素 B 对革兰氏阳性菌的特异性靶向作用。
Biomolecules. 2021 Feb 5;11(2):232. doi: 10.3390/biom11020232.
2
Infection detection in mice using 99mTc-labeled HYNIC and N2S2 chelate conjugated to the antimicrobial peptide UBI 29-41.使用与抗菌肽UBI 29 - 41偶联的99mTc标记的HYNIC和N2S2螯合物在小鼠中进行感染检测。
Nucl Med Biol. 2004 May;31(4):503-9. doi: 10.1016/j.nucmedbio.2003.11.009.
3
and Effects of the Polymyxin-Vorinostat Combination Therapy Against Multidrug-Resistant Gram-Negative Pathogens.多黏菌素-伏立康唑联合治疗方案对多重耐药革兰氏阴性病原体的作用。
Microb Drug Resist. 2020 Sep;26(9):1108-1119. doi: 10.1089/mdr.2019.0309. Epub 2020 Apr 28.
4
(99m)Tc-MORF oligomers specific for bacterial ribosomal RNA as potential specific infection imaging agents.(99m)Tc-MORF 寡聚体特异性结合细菌核糖体 RNA 作为潜在的特异性感染成像剂。
Bioorg Med Chem. 2013 Nov 1;21(21):6523-30. doi: 10.1016/j.bmc.2013.08.034. Epub 2013 Aug 28.
5
Investigation of four (99m)Tc-labeled bacteriophages for infection-specific imaging.四种(99m)Tc标记噬菌体用于感染特异性成像的研究。
Nucl Med Biol. 2008 May;35(4):433-40. doi: 10.1016/j.nucmedbio.2008.02.011.
6
Evaluation of a Novel Tc-99m Labelled Vitamin B12 Derivative for Targeting Escherichia coli and Staphylococcus aureus In Vitro and in an Experimental Foreign-Body Infection Model.一种新型锝-99m标记的维生素B12衍生物在体外及实验性异物感染模型中靶向大肠杆菌和金黄色葡萄球菌的评估
Mol Imaging Biol. 2015 Dec;17(6):829-37. doi: 10.1007/s11307-015-0832-x.
7
Technetium-99m radiolabeling and biological study of epirubicin for in vivo imaging of multi-drug-resistant Staphylococcus aureus infections via single photon emission computed tomography.锝-99m 标记表柔比星及其用于单光子发射计算机断层成像术检测多药耐药金黄色葡萄球菌感染的体内生物学研究。
Chem Biol Drug Des. 2019 Feb;93(2):154-162. doi: 10.1111/cbdd.13393. Epub 2018 Oct 31.
8
Tc radiolabeling of polyethylenimine capped carbon dots for tumor targeting: synthesis, characterization and biodistribution.Tc 标记聚乙二胺包覆碳点用于肿瘤靶向:合成、表征和生物分布。
Int J Radiat Biol. 2021;97(7):977-985. doi: 10.1080/09553002.2021.1919781. Epub 2021 May 5.
9
Comparison of in vitro and in vivo properties of [99mTc]cRGD peptides labeled using different novel Tc-cores.使用不同新型锝核心标记的[99mTc]cRGD肽的体外和体内特性比较。
Q J Nucl Med Mol Imaging. 2007 Mar;51(1):33-41.
10
Preparation and first biological evaluation of novel Re-188/Tc-99m peptide conjugates with substance-P.新型188铼/99m锝与P物质肽缀合物的制备及首次生物学评价
Appl Radiat Isot. 2014 Sep;92:25-31. doi: 10.1016/j.apradiso.2014.06.003. Epub 2014 Jun 12.

引用本文的文献

1
Polymyxin B Peptide Hydrogel Coating: A Novel Approach to Prevent Ventilator-Associated Pneumonia.多粘菌素 B 肽水凝胶涂层:预防呼吸机相关性肺炎的新方法。
Int J Mol Sci. 2024 Sep 24;25(19):10269. doi: 10.3390/ijms251910269.
2
Recently developed radiopharmaceuticals for bacterial infection imaging.近期研发的用于细菌感染成像的放射性药物。
EJNMMI Radiopharm Chem. 2024 Jun 19;9(1):49. doi: 10.1186/s41181-024-00279-7.
3
Radiolabelled FGF-2 for Imaging Activated Fibroblasts in the Tumor Micro-Environment.用于肿瘤微环境中活化成纤维细胞成像的放射性标记成纤维细胞生长因子-2

本文引用的文献

1
Imaging Bacteria with Radiolabelled Probes: Is It Feasible?用放射性标记探针成像细菌:可行吗?
J Clin Med. 2020 Jul 25;9(8):2372. doi: 10.3390/jcm9082372.
2
Colistin and its role in the Era of antibiotic resistance: an extended review (2000-2019).多粘菌素及其在抗生素耐药时代的作用:综述(2000-2019 年)。
Emerg Microbes Infect. 2020 Dec;9(1):868-885. doi: 10.1080/22221751.2020.1754133.
3
PET Radiopharmaceuticals for Specific Bacteria Imaging: A Systematic Review.用于特定细菌成像的正电子发射断层显像放射性药物:一项系统评价
Biomolecules. 2024 Apr 18;14(4):491. doi: 10.3390/biom14040491.
4
Radiological and Imaging Evidence in the Diagnosis and Management of Microbial Infections: An Update.微生物感染诊断与管理中的放射学和影像学证据:最新进展
Cureus. 2023 Nov 13;15(11):e48756. doi: 10.7759/cureus.48756. eCollection 2023 Nov.
5
The Development and Validation of Radiopharmaceuticals Targeting Bacterial Infection.放射性药物靶向细菌感染的开发与验证。
J Nucl Med. 2023 Nov;64(11):1676-1682. doi: 10.2967/jnumed.123.265906. Epub 2023 Sep 28.
6
Molecular Engineering of Polymyxin B for Imaging and Treatment of Bacterial Infections.用于细菌感染成像与治疗的多粘菌素B的分子工程
Front Chem. 2022 Jan 7;9:809584. doi: 10.3389/fchem.2021.809584. eCollection 2021.
J Clin Med. 2019 Feb 6;8(2):197. doi: 10.3390/jcm8020197.
4
Mouse model of Gram-negative prosthetic joint infection reveals therapeutic targets.鼠模型揭示了治疗革兰氏阴性假体关节感染的潜在靶点。
JCI Insight. 2018 Sep 6;3(17). doi: 10.1172/jci.insight.121737.
5
Ga-NOTA-ubiquicidin fragment for PET imaging of infection: From bench to bedside.镓-NOTA-尿抑素片段用于感染的 PET 成像:从实验室到临床。
J Pharm Biomed Anal. 2018 Sep 10;159:245-251. doi: 10.1016/j.jpba.2018.06.064. Epub 2018 Jul 2.
6
New polymyxin derivatives that display improved efficacy in animal infection models as compared to polymyxin B and colistin.与多黏菌素 B 和黏菌素相比,新型多黏菌素衍生物在动物感染模型中显示出更好的疗效。
Med Res Rev. 2018 Sep;38(5):1661-1673. doi: 10.1002/med.21494. Epub 2018 Feb 27.
7
Hybrid imaging of musculoskeletal infections.肌肉骨骼感染的混合成像
Q J Nucl Med Mol Imaging. 2018 Mar;62(1):3-13. doi: 10.23736/S1824-4785.17.03045-X. Epub 2017 Nov 22.
8
Molecular imaging in musculoskeletal infections with Tc-UBI 29-41 SPECT/CT.锝-UBI 29-41单光子发射计算机断层扫描/计算机断层扫描在肌肉骨骼感染中的分子成像
Ann Nucl Med. 2018 Jan;32(1):54-59. doi: 10.1007/s12149-017-1219-7. Epub 2017 Nov 21.
9
Ga-NOTA-Functionalized Ubiquicidin: Cytotoxicity, Biodistribution, Radiation Dosimetry, and First-in-Human PET/CT Imaging of Infections.镓-NOTA 功能化尿抑素:细胞毒性、生物分布、辐射剂量学,以及感染的首例人体 PET/CT 成像。
J Nucl Med. 2018 Feb;59(2):334-339. doi: 10.2967/jnumed.117.200048. Epub 2017 Oct 19.
10
Comparison of 99mTc-UBI 29-41, 99mTc-ciprofloxacin, 99mTc-ciprofloxacin dithiocarbamate and 111In-biotin for targeting experimental Staphylococcus aureus and Escherichia coli foreign-body infections: an ex-vivo study.99mTc-UBI 29-41、99mTc-环丙沙星、99mTc-环丙沙星二硫代氨基甲酸盐和111In-生物素靶向实验性金黄色葡萄球菌和大肠杆菌异物感染的比较:一项体外研究。
Q J Nucl Med Mol Imaging. 2019 Mar;63(1):37-47. doi: 10.23736/S1824-4785.17.02975-2. Epub 2017 Aug 28.