• 文献检索
  • 文档翻译
  • 深度研究
  • 学术资讯
  • Suppr Zotero 插件Zotero 插件
  • 邀请有礼
  • 套餐&价格
  • 历史记录
应用&插件
Suppr Zotero 插件Zotero 插件浏览器插件Mac 客户端Windows 客户端微信小程序
定价
高级版会员购买积分包购买API积分包
服务
文献检索文档翻译深度研究API 文档MCP 服务
关于我们
关于 Suppr公司介绍联系我们用户协议隐私条款
关注我们

Suppr 超能文献

核心技术专利:CN118964589B侵权必究
粤ICP备2023148730 号-1Suppr @ 2026

文献检索

告别复杂PubMed语法,用中文像聊天一样搜索,搜遍4000万医学文献。AI智能推荐,让科研检索更轻松。

立即免费搜索

文件翻译

保留排版,准确专业,支持PDF/Word/PPT等文件格式,支持 12+语言互译。

免费翻译文档

深度研究

AI帮你快速写综述,25分钟生成高质量综述,智能提取关键信息,辅助科研写作。

立即免费体验

孕期中期类固醇激素变化的纵向研究:确认胎儿发育正常的有用工具。

Longitudinal study on steroid hormone variations during the second trimester of gestation: a useful tool to confirm adequate foetal development.

作者信息

Alonso Silvia, Caceres Sara, Vélez Daniel, Sanz Luis, Silvan Gema, Illera Maria Jose, Illera Juan Carlos

机构信息

Departamento de Fisiología, Facultad de Veterinaria, Universidad Complutense de Madrid, 28040, Madrid, Spain.

Department of Statistics and Operational Research, Faculty of Mathematics, University Complutense of Madrid, 28040, Madrid, Spain.

出版信息

BMC Pregnancy Childbirth. 2021 Feb 9;21(1):120. doi: 10.1186/s12884-021-03617-8.

DOI:10.1186/s12884-021-03617-8
PMID:33563237
原文链接:https://pmc.ncbi.nlm.nih.gov/articles/PMC7874490/
Abstract

BACKGROUND

The interaction of hormonal factors are crucial for good foetal development. During the second trimester of gestation, most of the main physiological processes of foetal development occur. Therefore, the aim of this study was to determine the variations in the physiological levels of cortisol, estriol, estrone sulphate, and progesterone during the second trimester (weeks 12-26) in order to establish normal ranges that can serve as indicators of foetal well-being and good functioning of the foetal-placental unit.

METHODS

Saliva samples from 106 pregnant women were collected weekly (from week 12 to week 26 of gestation), and hormonal measurements were assayed by an enzyme immunoassay. The technique used for hormone measurements was highly sensitive and served as a non-invasive method for sample collection.

RESULTS

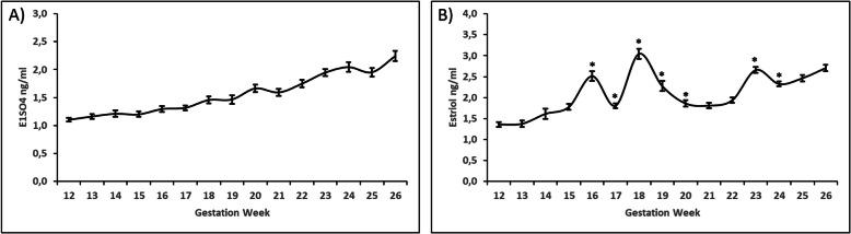
The results revealed a statistically significant (p<0.05) difference between cortisol, progesterone, and oestrogens throughout the second trimester, with a more substantial relationship between oestrogens and progesterone [P4-E3 (r=0.427); P4-E1SO4 (r=0.419)]. By analysing these hormone concentrations, statistically significant (p<0.05) elevations in progesterone, cortisol, and estriol levels were found at the 16 [(P4 (0.78±0.088), C(1.99±0.116), E3(2.513±0.114)]; 18th [(P4 (1.116±0.144), C(3.409±0.137), E3(3.043±0.123)] and 23rd week of gestation [(P4(1.36±0.153), C(1.936±0.11), E3(2.657±0.07)]. Estrone sulphate levels appeared to increase progressively throughout the second trimester [from 1.103±0.03 to 2.244±0.09].

CONCLUSION

The 18th week of gestation seems to constitute a very important week during foetal adrenal development, and the analysis of the main hormones involved in foetal development, provided more precise information regarding the proper functioning of the foetal unit and foetal development.

摘要

背景

激素因素的相互作用对胎儿的良好发育至关重要。在妊娠中期,胎儿发育的大多数主要生理过程都会发生。因此,本研究的目的是确定妊娠中期(第12 - 26周)皮质醇、雌三醇、硫酸雌酮和孕酮的生理水平变化,以建立可作为胎儿健康和胎儿 - 胎盘单位良好功能指标的正常范围。

方法

每周(从妊娠第12周到第26周)收集106名孕妇的唾液样本,并通过酶免疫测定法检测激素水平。用于激素测量的技术高度敏感,是一种非侵入性的样本采集方法。

结果

结果显示,在整个妊娠中期,皮质醇、孕酮和雌激素之间存在统计学上的显著差异(p<0.05),雌激素和孕酮之间的关系更为密切[P4 - E3(r = 0.427);P4 - E1SO4(r = 0.419)]。通过分析这些激素浓度,发现在妊娠第16周[P4(0.78±0.088),C(1.99±0.116),E3(2.513±0.114)]、第18周[P4(1.116±0.144),C(3.409±0.137),E3(3.043±0.123)]和第23周[P4(1.36±0.153),C(1.936±0.11),E3(2.657±0.07)]时,孕酮、皮质醇和雌三醇水平有统计学上的显著升高(p<0.05)。硫酸雌酮水平在整个妊娠中期似乎逐渐升高[从1.103±0.03升至2.244±0.09]。

结论

妊娠第18周似乎是胎儿肾上腺发育过程中非常重要的一周,对参与胎儿发育的主要激素进行分析,能提供有关胎儿单位正常功能和胎儿发育的更精确信息。

https://cdn.ncbi.nlm.nih.gov/pmc/blobs/7e52/7874490/7675daefb7dd/12884_2021_3617_Fig2_HTML.jpg
https://cdn.ncbi.nlm.nih.gov/pmc/blobs/7e52/7874490/11635675cdcd/12884_2021_3617_Fig1_HTML.jpg
https://cdn.ncbi.nlm.nih.gov/pmc/blobs/7e52/7874490/7675daefb7dd/12884_2021_3617_Fig2_HTML.jpg
https://cdn.ncbi.nlm.nih.gov/pmc/blobs/7e52/7874490/11635675cdcd/12884_2021_3617_Fig1_HTML.jpg
https://cdn.ncbi.nlm.nih.gov/pmc/blobs/7e52/7874490/7675daefb7dd/12884_2021_3617_Fig2_HTML.jpg

相似文献

1
Longitudinal study on steroid hormone variations during the second trimester of gestation: a useful tool to confirm adequate foetal development.孕期中期类固醇激素变化的纵向研究:确认胎儿发育正常的有用工具。
BMC Pregnancy Childbirth. 2021 Feb 9;21(1):120. doi: 10.1186/s12884-021-03617-8.
2
Relationship between progesterone, oestrone sulphate and cortisol and the components of renin angiotensin aldosterone system in Spanish purebred broodmares during pregnancy.妊娠期间西班牙纯种母马孕激素、雌酮硫酸酯和皮质醇与肾素-血管紧张素-醛固酮系统成分的关系。
Theriogenology. 2011 Nov;76(8):1404-15. doi: 10.1016/j.theriogenology.2011.06.009. Epub 2011 Aug 10.
3
Alterations in saliva steroid hormone levels after oral mifepristone administration in women with pregnancies of greater than 41 weeks' gestation.孕41周以上孕妇口服米非司酮后唾液甾体激素水平的变化。
Reprod Sci. 2008 Apr;15(4):394-9. doi: 10.1177/1933719107310305.
4
Prolactin, estriol and progesterone levels in frequent blood samples throughout normal pregnancy (lack of prolactin pulsatile secretion).
Ric Clin Lab. 1981 Jan-Mar;11(1):65-74. doi: 10.1007/BF02886689.
5
[Diagnosis and monitoring of endangered early pregnancies with determination of oestrone, oestradiol 17beta, oestriol, progesterone and HPL in plasma and the pregnancy test in graduated dilutions of urine (author's transl)].通过测定血浆中雌酮、雌二醇17β、雌三醇、孕酮和人胎盘催乳素以及尿液梯度稀释后的妊娠试验对濒危早期妊娠进行诊断和监测(作者译)
Geburtshilfe Frauenheilkd. 1977 Jun;37(6):509-15.
6
Dietary protein during gestation affects circulating indicators of placental function and fetal development in heifers.妊娠期的日粮蛋白质会影响小母牛胎盘功能和胎儿发育的循环指标。
Placenta. 2009 Apr;30(4):348-54. doi: 10.1016/j.placenta.2009.01.008. Epub 2009 Feb 23.
7
Diurnal variation of plasma and saliva oestrogen, progesterone, cortisol and plasma dehydroepiandrosterone sulphate in late pregnancy.妊娠晚期血浆和唾液中雌激素、孕酮、皮质醇及血浆硫酸脱氢表雄酮的日变化
Eur J Obstet Gynecol Reprod Biol. 1989 Aug;32(2):57-66. doi: 10.1016/0028-2243(89)90184-6.
8
Serum profiles of pregnancy-associated glycoprotein, oestrone sulphate and progesterone during gestation and some factors influencing the profiles in Ethiopian Borana and crossbred cattle.埃塞俄比亚博拉纳牛和杂交牛妊娠期妊娠相关糖蛋白、硫酸雌酮和孕酮的血清概况及影响这些概况的一些因素。
Reprod Domest Anim. 2009 Aug;44(4):685-92. doi: 10.1111/j.1439-0531.2007.01049.x. Epub 2008 Nov 28.
9
Cortisol and estriol responses to awakening in the first pregnancy trimester: Associations with maternal stress and resilience factors.孕早期觉醒时的皮质醇和雌三醇反应:与母体应激和适应力因素的关联。
Psychoneuroendocrinology. 2021 Mar;125:105120. doi: 10.1016/j.psyneuen.2020.105120. Epub 2020 Dec 29.
10
Increasing saliva (free) oestriol to progesterone ratio in late pregnancy: a role for oestriol in initiating spontaneous labour in man?孕晚期唾液(游离)雌三醇与孕酮比值升高:雌三醇在启动人类自然分娩中起作用?
Br Med J (Clin Res Ed). 1984 Aug 25;289(6443):457-9. doi: 10.1136/bmj.289.6443.457.

引用本文的文献

1
Management of Endocrinopathies During Pregnancy: A Systematic Review.妊娠期内分泌疾病的管理:一项系统评价。
Cureus. 2024 Sep 30;16(9):e70554. doi: 10.7759/cureus.70554. eCollection 2024 Sep.

本文引用的文献

1
Maternal prenatal stress phenotypes associate with fetal neurodevelopment and birth outcomes.母体产前应激表型与胎儿神经发育和出生结局相关。
Proc Natl Acad Sci U S A. 2019 Nov 26;116(48):23996-24005. doi: 10.1073/pnas.1905890116. Epub 2019 Oct 14.
2
New insights into fetal pain.胎儿疼痛的新见解。
Semin Fetal Neonatal Med. 2019 Aug;24(4):101001. doi: 10.1016/j.siny.2019.04.001. Epub 2019 Apr 6.
3
Changes in laboratory markers of thrombotic risk early in the first trimester of pregnancy may be linked to an increase in estradiol and progesterone.
妊娠早期前三个月实验室血栓风险标志物的变化可能与雌二醇和孕酮的增加有关。
Thromb Res. 2019 Jun;178:47-53. doi: 10.1016/j.thromres.2019.03.015. Epub 2019 Mar 25.
4
Developmental origins of the human hypothalamic-pituitary-adrenal axis.人类下丘脑 - 垂体 - 肾上腺轴的发育起源
Expert Rev Endocrinol Metab. 2017 Sep;12(5):321-339. doi: 10.1080/17446651.2017.1356222. Epub 2017 Aug 2.
5
Fetal Origin of Sensorimotor Behavior.感觉运动行为的胎儿起源
Front Neurorobot. 2018 May 23;12:23. doi: 10.3389/fnbot.2018.00023. eCollection 2018.
6
Maternal hormonal milieu influence on fetal brain development.母体激素环境对胎儿大脑发育的影响。
Brain Behav. 2018 Jan 24;8(2):e00920. doi: 10.1002/brb3.920. eCollection 2018 Feb.
7
The human fetal adrenal produces cortisol but no detectable aldosterone throughout the second trimester.在妊娠中期的整个阶段,人类胎儿肾上腺会产生皮质醇,但检测不到醛固酮。
BMC Med. 2018 Feb 12;16(1):23. doi: 10.1186/s12916-018-1009-7.
8
A frequently asked question: Is it normal not to feel my baby's movements yet?一个常见的问题:还没有感觉到宝宝的动是不是正常的?
J Chin Med Assoc. 2018 Aug;81(8):742-746. doi: 10.1016/j.jcma.2017.07.014. Epub 2017 Nov 1.
9
Second trimester growth velocities: assessment of fetal growth potential in SGA singletons.孕中期生长速度:评估小于胎龄单胎胎儿的生长潜力
J Matern Fetal Neonatal Med. 2019 Mar;32(6):939-946. doi: 10.1080/14767058.2017.1395849. Epub 2017 Nov 7.
10
Determinants of cortisol during pregnancy - The ABCD cohort.孕期皮质醇的决定因素——ABCD队列研究
Psychoneuroendocrinology. 2017 Sep;83:172-181. doi: 10.1016/j.psyneuen.2017.05.026. Epub 2017 May 31.