Suppr超能文献

基于监测、流行病学和最终结果(SEER)数据库开发和验证预测肺浸润性黏液性腺癌生存的列线图。

Development and validation of a nomogram for predicting survival of pulmonary invasive mucinous adenocarcinoma based on surveillance, epidemiology, and end results (SEER) database.

机构信息

Institute of Oncology, Shandong Provincial Hospital, Cheeloo College of Medicine, Shandong University, Jinan, PR China.

Department of Thoracic Surgery, Shandong Provincial Hospital, Cheeloo College of Medicine, Shandong University, 324 Jingwu Road, Jinan, 250021, PR China.

出版信息

BMC Cancer. 2021 Feb 10;21(1):148. doi: 10.1186/s12885-021-07811-x.

Abstract

BACKGROUND

Lung cancer remains the leading cause of cancer death globally. In 2015, the cancer classification guidelines of the World Health Organization were updated. The term "invasive mucinous adenocarcinoma (IMA)" aroused people's attention, while the clinicopathological factors that may influence survival were unclear.

METHODS

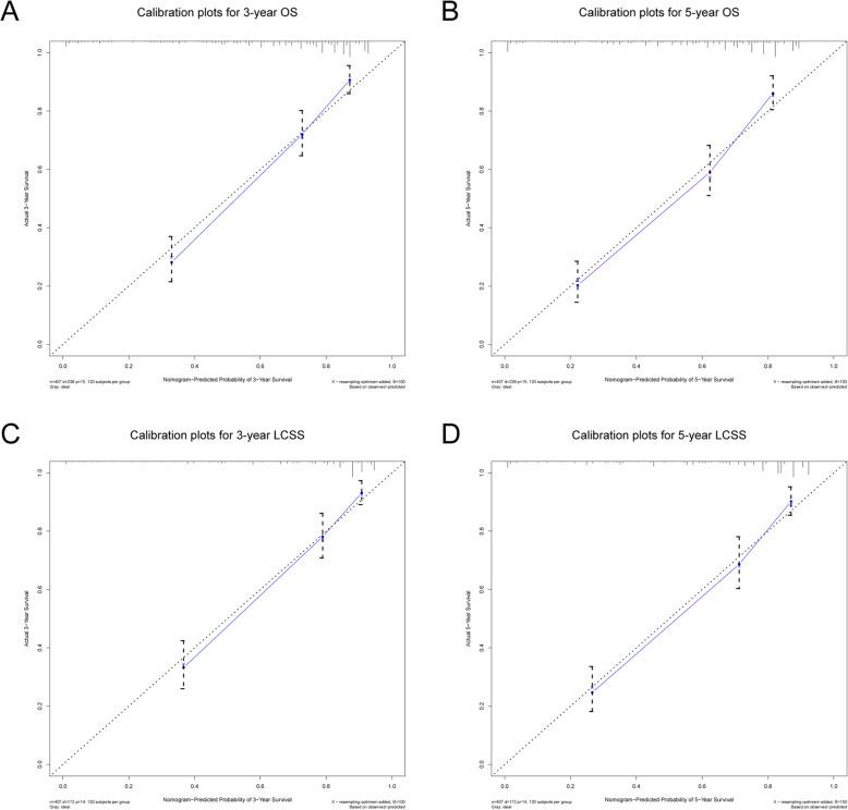
Data of IMA patients was downloaded from SEER database. Kaplan-Meier methods and log-rank tests were used to compare the differences in OS and LCSS. The nomogram was developed based on the result of the multivariable analysis. The discrimination and accuracy were tested by Harrell's concordance index (C-index), receiver operating characteristic (ROC) curve, calibration curve and decision curve analyses (DCA). Integrated discrimination improvement (IDI) index was used to evaluate the clinical efficacy.

RESULTS

According to multivariate analysis, the prognosis of IMAs was associated with age, differentiation grade, TNM stage and treatments. Surgery might be the only way that would improve survival. Area under the curve (AUC) of the training cohort was 0.834and 0.830 for3-and 5-year OS, respectively. AUC for 3-and 5-year LCSS were separately 0.839 and 0.839. The new model was then evaluated by calibration curve, DCA and IDI index.

CONCLUSION

Based on this study, prognosis of IMAs was systematically reviewed, and a new nomogram was developed and validated. This model helps us understand IMA in depth and provides new ideas for IMA treatment.

摘要

背景

肺癌仍然是全球癌症死亡的主要原因。2015 年,世界卫生组织的癌症分类指南进行了更新。“浸润性黏液腺癌(IMA)”这一术语引起了人们的关注,而影响生存的临床病理因素尚不清楚。

方法

从 SEER 数据库中下载 IMA 患者的数据。Kaplan-Meier 方法和对数秩检验用于比较 OS 和 LCSS 的差异。根据多变量分析的结果制定列线图。通过 Harrell 的一致性指数(C-index)、接收者操作特征(ROC)曲线、校准曲线和决策曲线分析(DCA)来测试区分度和准确性。整合判别改善(IDI)指数用于评估临床疗效。

结果

根据多变量分析,IMA 的预后与年龄、分化程度、TNM 分期和治疗有关。手术可能是唯一能改善生存的方法。训练队列的曲线下面积(AUC)分别为 3 年和 5 年 OS 的 0.834 和 0.830。3 年和 5 年 LCSS 的 AUC 分别为 0.839 和 0.839。然后通过校准曲线、DCA 和 IDI 指数对新模型进行评估。

结论

基于本研究,对 IMAs 的预后进行了系统评价,并建立和验证了一个新的列线图。该模型有助于我们深入了解 IMA,并为 IMA 的治疗提供新的思路。

https://cdn.ncbi.nlm.nih.gov/pmc/blobs/d825/7877040/4686c9ad328c/12885_2021_7811_Fig1_HTML.jpg

文献检索

告别复杂PubMed语法,用中文像聊天一样搜索,搜遍4000万医学文献。AI智能推荐,让科研检索更轻松。

立即免费搜索

文件翻译

保留排版,准确专业,支持PDF/Word/PPT等文件格式,支持 12+语言互译。

免费翻译文档

深度研究

AI帮你快速写综述,25分钟生成高质量综述,智能提取关键信息,辅助科研写作。

立即免费体验