Department of Biology, Molecular Developmental Physiology and Signal Transduction Lab., Division of Animal Physiology and Neurobiology, Naamsestraat 59-Box 2465, B-3000 Leuven, Belgium.
Division of Mechatronics, Biostatistics and Sensors (MeBioS), KU Leuven, Willem de Croylaan 42-Box 2428, B-3001 Leuven, Belgium.
Biomolecules. 2021 Feb 9;11(2):244. doi: 10.3390/biom11020244.
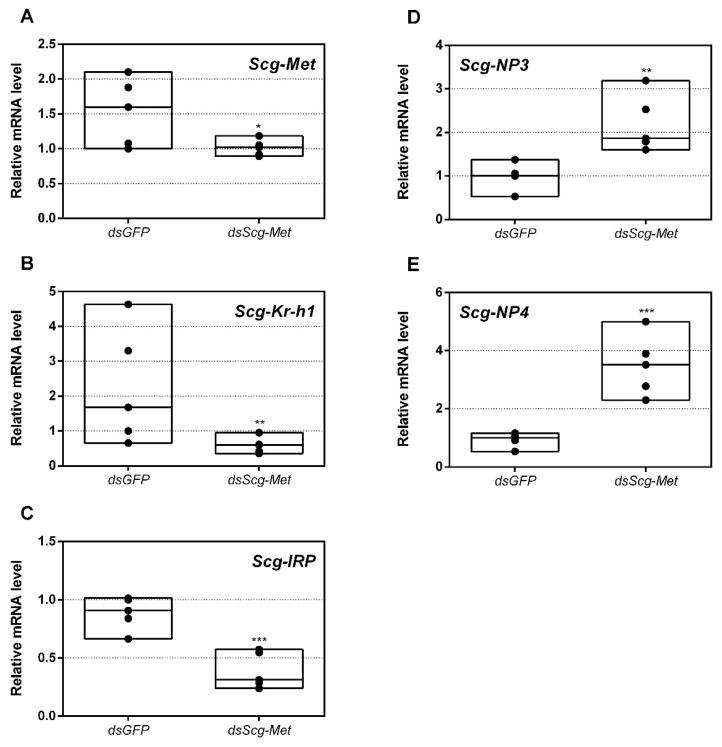
Currently (2020), Africa and Asia are experiencing the worst desert locust () plague in decades. Exceptionally high rainfall in different regions caused favorable environmental conditions for very successful reproduction and population growth. To better understand the molecular mechanisms responsible for this remarkable reproductive capacity, as well as to fill existing knowledge gaps regarding the regulation of male reproductive physiology, we investigated the role of methoprene-tolerant (-Met) and Taiman (-Tai), responsible for transducing the juvenile hormone (JH) signal, in adult male locusts. We demonstrated that knockdown of these components by RNA interference strongly inhibits male sexual maturation, severely disrupting reproduction. This was evidenced by the inability to show mating behavior, the absence of a yellow-colored cuticle, the reduction of relative testes weight, and the drastically reduced phenylacetonitrile (PAN) pheromone levels of the treated males. We also observed a reduced relative weight, as well as relative protein content, of the male accessory glands in -Met knockdown locusts. Interestingly, in these animals the size of the (CA), the endocrine glands where JH is synthesized, was significantly increased, as well as the transcript level of JH acid methyltransferase (JHAMT), a rate-limiting enzyme in the JH biosynthesis pathway. Moreover, other endocrine pathways appeared to be affected by the knockdown, as evidenced by changes in the expression levels of the insulin-related peptide and two neuroparsins in the fat body. Our results demonstrate that JH signaling pathway components play a crucial role in male reproductive physiology, illustrating their potential as molecular targets for pest control.
目前(2020 年),非洲和亚洲正经历几十年来最严重的沙漠蝗灾。不同地区异常高的降雨量为其提供了非常有利的繁殖和种群增长环境条件。为了更好地了解导致这种非凡繁殖能力的分子机制,以及填补有关雄性生殖生理学调控的现有知识空白,我们研究了负责传递保幼激素(JH)信号的甲氧普林耐受(-Met)和泰曼(-Tai)在雄性蝗虫中的作用。我们证明,通过 RNA 干扰敲低这些成分强烈抑制了雄性性成熟,严重破坏了生殖能力。这表现在雄虫无法表现交配行为、缺乏黄色的表皮、相对睾丸重量减少以及处理过的雄虫中苯乙腈(PAN)信息素水平急剧降低。我们还观察到在 -Met 敲低的蝗虫中雄性附腺的相对重量和相对蛋白含量降低。有趣的是,在这些动物中,JH 合成的内分泌腺(CA)的大小以及 JH 酸甲基转移酶(JHAMT)的转录水平显著增加,JHAMT 是 JH 生物合成途径中的限速酶。此外,其他内分泌途径似乎也受到了敲低的影响,这表现在脂肪体中胰岛素相关肽和两种神经肽的表达水平发生了变化。我们的研究结果表明,JH 信号通路成分在雄性生殖生理学中发挥着至关重要的作用,这表明它们有可能成为害虫控制的分子靶标。