Tibi Fida, Park Seong-Jik, Kim Jeonghwan
Department of Environmental Engineering, Program in Environmental and Polymer Engineering, Inha University, Inharo 100, Michuholgu, Incheon 22212, Korea.
Department of Bioresources and Rural System Engineering, Hankyong National University, Anseong 17579, Korea.
Membranes (Basel). 2021 Jan 29;11(2):95. doi: 10.3390/membranes11020095.
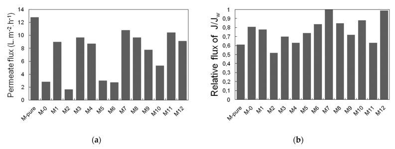
The objectives in this study are to improve the performance of PVDF membrane by incorporating TiO and silane at various dosages and optimize fabricating conditions by using response surface methodology (RSM) for membrane distillation (MD) application. The PVDF membrane was synthesized by phase inversion method using various TiO, silane and polymer concentrations. Membranes were characterized by performing contact angle measurements, SEM and FTIR observations. Ammonia rejection and permeate flux were measured by operating a direct contact distillation module treating ammonium chloride solution. A PVDF membrane created by adding TiO modified by silane improved membrane hydrophobicity. However, the effect of silane on membrane hydrophobicity was less pronounced at higher TiO concentrations. Highest ammonium rejection was associated with the highest membrane hydrophobicity. RSM analysis showed that fabricating conditions to achieve highest flux (10.10 L/m·h) and ammonium rejection (100.0%) could be obtained at 31.3% silane, 2.50% TiO, and 15.48% polymer concentrations. With a PVDF-TiO composite membrane for MD application, the effect of TiO was dependent upon silane concentration. Increasing silane concentration improved membrane hydrophobicity and ammonium rejection. RSM analysis was found to bea useful way to explore optimum fabricating conditions of membranes for the permeate flux and ammonium rejection in MD.
本研究的目的是通过加入不同剂量的二氧化钛(TiO)和硅烷来提高聚偏氟乙烯(PVDF)膜的性能,并使用响应面法(RSM)优化制备条件,以用于膜蒸馏(MD)应用。采用不同的TiO、硅烷和聚合物浓度,通过相转化法合成了PVDF膜。通过进行接触角测量、扫描电子显微镜(SEM)和傅里叶变换红外光谱(FTIR)观察对膜进行了表征。通过操作直接接触蒸馏模块处理氯化铵溶液来测量氨截留率和渗透通量。添加经硅烷改性的TiO制成的PVDF膜提高了膜的疏水性。然而,在较高的TiO浓度下,硅烷对膜疏水性的影响不太明显。最高的氨截留率与最高的膜疏水性相关。响应面法分析表明,在硅烷浓度为31.3%、TiO浓度为2.50%、聚合物浓度为15.48%时,可获得最高通量(10.10 L/m·h)和氨截留率(100.0%)的制备条件。对于用于MD应用的PVDF-TiO复合膜,TiO的效果取决于硅烷浓度。增加硅烷浓度可提高膜的疏水性和氨截留率。发现响应面法分析是探索用于MD中渗透通量和氨截留率的膜的最佳制备条件的有用方法。