Suppr超能文献

一种用于自动检测帕金森病和特发性震颤静息性震颤的新型可穿戴移动设备的研发与验证

Development and Validation of a New Wearable Mobile Device for the Automated Detection of Resting Tremor in Parkinson's Disease and Essential Tremor.

作者信息

Vescio Basilio, Nisticò Rita, Augimeri Antonio, Quattrone Andrea, Crasà Marianna, Quattrone Aldo

机构信息

Biotecnomed S.C.aR.L., 88100 Catanzaro, Italy.

Neuroimaging Unit, Institute of Molecular Bioimaging and Physiology of the National Research Council (IBFM-CNR), 88100 Catanzaro, Italy.

出版信息

Diagnostics (Basel). 2021 Jan 29;11(2):200. doi: 10.3390/diagnostics11020200.

Abstract

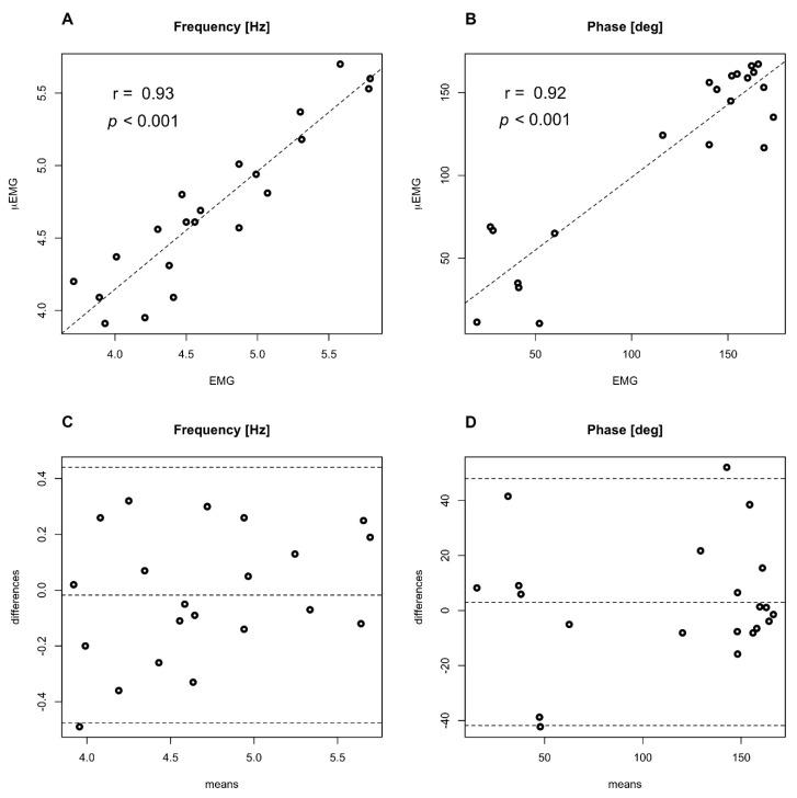
Involuntary tremor at rest is observed in patients with Parkinson's disease (PD) or essential tremor (ET). Electromyography (EMG) studies have shown that phase displacement between antagonistic muscles at prevalent tremor frequency can accurately differentiate resting tremor in PD from that detected in ET. Currently, phase evaluation is qualitative in most cases. The aim of this study is to develop and validate a new mobile tool for the automated and quantitative characterization of phase displacement (resting tremor pattern) in ambulatory clinical settings. A new low-cost, wearable mobile device, called µEMG, is described, based on low-end instrumentation amplifiers and simple digital signal processing (DSP) capabilities. Measurements of resting tremor characteristics from this new device were compared with standard EMG. A good level of agreement was found in a sample of 21 subjects (14 PD patients with alternating resting tremor pattern and 7 ET patients with synchronous resting tremor pattern). Our results demonstrate that tremor analysis using µEMG is easy to perform and it can be used in routine clinical practice for the automated quantification of resting tremor patterns. Moreover, the measurement process is handy and operator-independent.

摘要

帕金森病(PD)或特发性震颤(ET)患者会出现静止性不自主震颤。肌电图(EMG)研究表明,在主要震颤频率下,拮抗肌之间的相位偏移能够准确区分PD患者的静止性震颤和ET患者的静止性震颤。目前,大多数情况下相位评估是定性的。本研究的目的是开发并验证一种新的移动工具,用于在门诊临床环境中对相位偏移(静止性震颤模式)进行自动定量表征。本文介绍了一种新的低成本可穿戴移动设备,称为µEMG,它基于低端仪器放大器和简单的数字信号处理(DSP)功能。将该新设备测量的静止性震颤特征与标准肌电图进行了比较。在21名受试者(14名具有交替静止性震颤模式的PD患者和7名具有同步静止性震颤模式的ET患者)的样本中发现了良好的一致性。我们的结果表明,使用µEMG进行震颤分析易于执行,可用于日常临床实践中对静止性震颤模式进行自动定量。此外,测量过程简便且不依赖操作人员。

https://cdn.ncbi.nlm.nih.gov/pmc/blobs/c6f5/7911899/86524afdf1c9/diagnostics-11-00200-g001.jpg

文献检索

告别复杂PubMed语法,用中文像聊天一样搜索,搜遍4000万医学文献。AI智能推荐,让科研检索更轻松。

立即免费搜索

文件翻译

保留排版,准确专业,支持PDF/Word/PPT等文件格式,支持 12+语言互译。

免费翻译文档

深度研究

AI帮你快速写综述,25分钟生成高质量综述,智能提取关键信息,辅助科研写作。

立即免费体验