Institute of Transfusion Medicine, Charité-Universitätsmedizin Berlin, 10117 Berlin, Germany.
Physikalisch-Technische Bundesanstalt, 10587 Berlin, Germany.
Int J Mol Sci. 2021 Feb 10;22(4):1753. doi: 10.3390/ijms22041753.
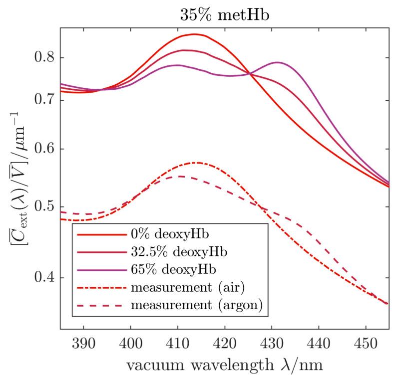
Suspensions of hemoglobin microparticles (HbMPs) are promising tools as oxygen therapeutics. For the approval of clinical studies extensive characterization of these HbMPs with a size of about 750 nm is required regarding physical properties, function, pharmaco-kinetics and toxicology. The standard absorbance measurements in blood gas analyzers require dissolution of red blood cells which does not work for HbMP. Therefore, we have developed a robust and rapid optical method for the quality and functionality control of HbMPs. It allows simultaneous determination of the portion of the two states of hemoglobin oxygenated hemoglobin (oxyHb) and deoxygenated hemoglobin (deoxyHb) as well as the content of methemoglobin (metHb). Based on the measurement of collimated transmission spectra between 300 nm and 800 nm, the average extinction cross section of HbMPs is derived. A numerical method is applied to determine the composition of the HbMPs based on their wavelength-dependent refractive index (RI), which is a superposition of the three different states of Hb. Thus, light-scattering properties, including extinction cross sections can be simulated for different compositions and sizes. By comparison to measured spectra, the relative concentrations of oxyHb, deoxyHb, metHb are accessible. For validation of the optically determined composition of the HbMPs, we used X-ray fluorescence spectrometry for the ratio of Fe(II) (oxyHb/deoxyHb) and Fe(III) (metHb). High accuracy density measurements served to access heme-free proteins, size was determined by dynamic light scattering and analytical centrifugation and the shape of the HbMPs was visualized by electron and atomic force microscopy.
血红蛋白微粒(HbMP)混悬液作为氧疗剂具有广阔的应用前景。为了获得临床研究的批准,需要对这些约 750nm 大小的 HbMP 进行广泛的物理特性、功能、药代动力学和毒理学特性的分析。血气分析仪的标准吸光度测量需要溶解红细胞,而这对 HbMP 并不适用。因此,我们开发了一种强大而快速的光学方法,用于 HbMP 的质量和功能控制。它可以同时测定两种血红蛋白状态(氧合血红蛋白[oxyHb]和脱氧血红蛋白[deoxyHb])以及高铁血红蛋白(metHb)的含量。该方法基于 300nm 至 800nm 之间的准直透射光谱测量,推导出 HbMP 的平均消光截面。应用数值方法根据 HbMP 的波长相关折射率(RI)确定其组成,RI 是 Hb 三种不同状态的叠加。因此,可以模拟不同组成和大小的光散射特性,包括消光截面。通过与测量光谱进行比较,可以获得 oxyHb、deoxyHb 和 metHb 的相对浓度。为了验证光学方法确定的 HbMP 组成,我们使用 X 射线荧光光谱法测定 Fe(II)(oxyHb/deoxyHb)和 Fe(III)(metHb)的比值。高精度密度测量用于确定无血红素蛋白的含量,粒径通过动态光散射和分析离心确定,HbMP 的形状通过电子和原子力显微镜进行可视化。