Departments of Internal Medicine, Korea University College of Medicine, Seoul, Korea.
Department of Internal Medicine, Sanggye Paik Hospital, Inje University College of Medicine, Seoul, Korea.
Clin Mol Hepatol. 2021 Jul;27(3):463-473. doi: 10.3350/cmh.2020.0351. Epub 2021 Feb 15.
BACKGROUND/AIMS: Useful biomarkers for metabolic syndrome have been insufficient. We investigated the performance of serum milk fat globule-EGF factor-8 (MFG-E8), the key mediator of inflammatory pathway, in diagnosis of metabolic syndrome.
Subjects aged between 30 and 64 years were prospectively enrolled in the Seoul Metabolic Syndrome cohort. Serum MFG-E8 levels were measured at baseline.
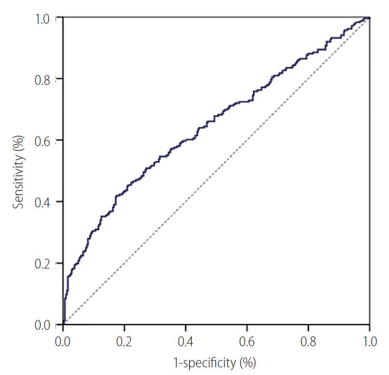
A total of 556 subjects were included, comprising 279 women (50.2%) and 277 men (49.8%). Metabolic syndrome was diagnosed in 236 subjects (42.4%), and the mean MFG-E8 level of subjects with metabolic syndrome was significantly higher than that of subjects without metabolic syndrome (P<0.001). MFG-E8 level was significantly correlated with all metabolic syndrome components and pulse wave velocity (all P<0.05). Subjects were categorized into two groups according to the best MFG-E8 cut-off value as follows: group 1, MFG-E8 level <4,745.1 pg/mL (n=401, 72.1%); and group 2, MFG-E8 level ≥4,745.1 (n=155, 27.9%). At baseline, metabolic syndrome in group 2 was significantly more prevalent than in group 1 (63.9% vs. 34.2%, P<0.001). During median follow-up of 17 months, metabolic syndrome developed in 122 (38.1%) subjects among 320 subjects without it at baseline. The incidence of metabolic syndrome in group 2 was significantly higher than that in group 1 (55.4% vs. 34.5%, P=0.003). On multivariate analysis, MFG-E8 level ≥4,745.1 pg/mL was an independent predictor for diagnosis and development of metabolic syndrome after adjusting other factors (all P<0.05).
Serum MFG-E8 level is a potent biomarker for the screening and prediction of metabolic syndrome.
背景/目的:代谢综合征的有用生物标志物一直不足。我们研究了血清乳脂肪球 EGF 因子 8(MFG-E8)的性能,MFG-E8 是炎症途径的关键介质,用于代谢综合征的诊断。
年龄在 30 至 64 岁之间的受试者前瞻性地纳入了首尔代谢综合征队列。在基线时测量血清 MFG-E8 水平。
共纳入 556 名受试者,其中女性 279 名(50.2%),男性 277 名(49.8%)。236 名受试者(42.4%)诊断为代谢综合征,代谢综合征患者的 MFG-E8 水平明显高于无代谢综合征患者(P<0.001)。MFG-E8 水平与所有代谢综合征成分和脉搏波速度均显著相关(均 P<0.05)。根据最佳 MFG-E8 截断值将受试者分为两组如下:组 1,MFG-E8 水平<4,745.1 pg/mL(n=401,72.1%);组 2,MFG-E8 水平≥4,745.1 pg/mL(n=155,27.9%)。基线时,组 2 的代谢综合征发生率明显高于组 1(63.9%比 34.2%,P<0.001)。在中位随访 17 个月期间,在基线时无代谢综合征的 320 名受试者中,有 122 名(38.1%)发生了代谢综合征。组 2 的代谢综合征发生率明显高于组 1(55.4%比 34.5%,P=0.003)。多因素分析显示,在校正其他因素后,MFG-E8 水平≥4,745.1 pg/mL 是代谢综合征诊断和发生的独立预测因子(均 P<0.05)。
血清 MFG-E8 水平是代谢综合征筛查和预测的有力生物标志物。