• 文献检索
  • 文档翻译
  • 深度研究
  • 学术资讯
  • Suppr Zotero 插件Zotero 插件
  • 邀请有礼
  • 套餐&价格
  • 历史记录
应用&插件
Suppr Zotero 插件Zotero 插件浏览器插件Mac 客户端Windows 客户端微信小程序
定价
高级版会员购买积分包购买API积分包
服务
文献检索文档翻译深度研究API 文档MCP 服务
关于我们
关于 Suppr公司介绍联系我们用户协议隐私条款
关注我们

Suppr 超能文献

核心技术专利:CN118964589B侵权必究
粤ICP备2023148730 号-1Suppr @ 2026

文献检索

告别复杂PubMed语法,用中文像聊天一样搜索,搜遍4000万医学文献。AI智能推荐,让科研检索更轻松。

立即免费搜索

文件翻译

保留排版,准确专业,支持PDF/Word/PPT等文件格式,支持 12+语言互译。

免费翻译文档

深度研究

AI帮你快速写综述,25分钟生成高质量综述,智能提取关键信息,辅助科研写作。

立即免费体验

RNA编辑在致癌过程不同阶段的癌组织中的作用。

The effects of RNA editing in cancer tissue at different stages in carcinogenesis.

作者信息

Kurkowiak Małgorzata, Arcimowicz Łukasz, Chruściel Elżbieta, Urban-Wójciuk Zuzanna, Papak Ines, Keegan Liam, O'Connell Mary, Kowalski Jacek, Hupp Ted, Marek-Trzonkowska Natalia

机构信息

International Centre for Cancer Vaccine Science (ICCVS), University of Gdańsk, Gdańsk, Poland.

CEITEC Masaryk University, Brno, CZ, Czech Republic.

出版信息

RNA Biol. 2021 Nov;18(11):1524-1539. doi: 10.1080/15476286.2021.1877024. Epub 2021 Feb 17.

DOI:10.1080/15476286.2021.1877024
PMID:33593231
原文链接:https://pmc.ncbi.nlm.nih.gov/articles/PMC8582992/
Abstract

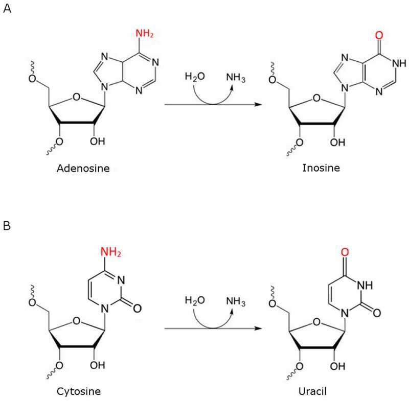
RNA editing is one of the most prevalent and abundant forms of post-transcriptional RNA modification observed in normal physiological processes and often aberrant in diseases including cancer. RNA editing changes the sequences of mRNAs, making them different from the source DNA sequence. Edited mRNAs can produce editing-recoded protein isoforms that are functionally different from the corresponding genome-encoded protein isoforms. The major type of RNA editing in mammals occurs by enzymatic deamination of adenosine to inosine (A-to-I) within double-stranded RNAs (dsRNAs) or hairpins in pre-mRNA transcripts. Enzymes that catalyse these processes belong to the adenosine deaminase acting on RNA (ADAR) family. The vast majority of knowledge on the RNA editing landscape relevant to human disease has been acquired using cancer cell culture models. The limitation of such models, however, is that the physiological or disease relevance of results obtained is not necessarily obvious. In this review we focus on discussing occurring RNA editing events that have been identified in human cancer tissue using samples surgically resected or clinically retrieved from patients. We discuss how RNA editing events occurring in tumours can identify pathological signalling mechanisms relevant to human cancer physiology which is linked to the different stages of cancer progression including initiation, promotion, survival, proliferation, immune escape and metastasis.

摘要

RNA编辑是在正常生理过程中观察到的最普遍且丰富的转录后RNA修饰形式之一,在包括癌症在内的疾病中常常出现异常。RNA编辑会改变mRNA的序列,使其与源DNA序列不同。经过编辑的mRNA可以产生与相应基因组编码的蛋白质异构体功能不同的编辑重编码蛋白质异构体。哺乳动物中主要的RNA编辑类型是通过双链RNA(dsRNA)或前体mRNA转录本中的发夹结构内的腺苷酶促脱氨为肌苷(A到I)而发生的。催化这些过程的酶属于作用于RNA的腺苷脱氨酶(ADAR)家族。关于与人类疾病相关的RNA编辑情况的绝大多数知识都是使用癌细胞培养模型获得的。然而,此类模型的局限性在于所获得结果的生理或疾病相关性不一定明显。在本综述中,我们重点讨论使用手术切除的样本或从患者临床获取的样本在人类癌症组织中鉴定出的正在发生的RNA编辑事件。我们讨论肿瘤中发生的RNA编辑事件如何能够识别与人类癌症生理学相关的病理信号传导机制,这与癌症进展的不同阶段相关,包括起始、促进、存活、增殖、免疫逃逸和转移。

https://cdn.ncbi.nlm.nih.gov/pmc/blobs/6c79/8582992/39669b4eafa1/KRNB_A_1877024_F0004_OC.jpg
https://cdn.ncbi.nlm.nih.gov/pmc/blobs/6c79/8582992/da0faa0031ef/KRNB_A_1877024_F0001_OC.jpg
https://cdn.ncbi.nlm.nih.gov/pmc/blobs/6c79/8582992/780e0528c32a/KRNB_A_1877024_F0002_OC.jpg
https://cdn.ncbi.nlm.nih.gov/pmc/blobs/6c79/8582992/1e0304b0330f/KRNB_A_1877024_F0003_OC.jpg
https://cdn.ncbi.nlm.nih.gov/pmc/blobs/6c79/8582992/39669b4eafa1/KRNB_A_1877024_F0004_OC.jpg
https://cdn.ncbi.nlm.nih.gov/pmc/blobs/6c79/8582992/da0faa0031ef/KRNB_A_1877024_F0001_OC.jpg
https://cdn.ncbi.nlm.nih.gov/pmc/blobs/6c79/8582992/780e0528c32a/KRNB_A_1877024_F0002_OC.jpg
https://cdn.ncbi.nlm.nih.gov/pmc/blobs/6c79/8582992/1e0304b0330f/KRNB_A_1877024_F0003_OC.jpg
https://cdn.ncbi.nlm.nih.gov/pmc/blobs/6c79/8582992/39669b4eafa1/KRNB_A_1877024_F0004_OC.jpg

相似文献

1
The effects of RNA editing in cancer tissue at different stages in carcinogenesis.RNA编辑在致癌过程不同阶段的癌组织中的作用。
RNA Biol. 2021 Nov;18(11):1524-1539. doi: 10.1080/15476286.2021.1877024. Epub 2021 Feb 17.
2
In cancer, A-to-I RNA editing can be the driver, the passenger, or the mechanic.在癌症中,A-to-I RNA 编辑可能是驱动因素、乘客或机制。
Drug Resist Updat. 2017 May;32:16-22. doi: 10.1016/j.drup.2017.09.001. Epub 2017 Oct 4.
3
ADARs and editing: The role of A-to-I RNA modification in cancer progression.ADARs 和编辑:A-to-I RNA 修饰在癌症进展中的作用。
Semin Cell Dev Biol. 2018 Jul;79:123-130. doi: 10.1016/j.semcdb.2017.11.018. Epub 2017 Nov 16.
4
Recent Advances in Adenosine-to-Inosine RNA Editing in Cancer.癌症中腺苷到肌苷 RNA 编辑的最新进展。
Cancer Treat Res. 2023;190:143-179. doi: 10.1007/978-3-031-45654-1_5.
5
To protect and modify double-stranded RNA - the critical roles of ADARs in development, immunity and oncogenesis.在发育、免疫和肿瘤发生中,ADARs 通过保护和修饰双链 RNA 发挥关键作用。
Crit Rev Biochem Mol Biol. 2021 Feb;56(1):54-87. doi: 10.1080/10409238.2020.1856768. Epub 2020 Dec 27.
6
A-to-I RNA editing - thinking beyond the single nucleotide.A-to-I RNA 编辑——超越单核苷酸的思考。
RNA Biol. 2017 Dec 2;14(12):1690-1694. doi: 10.1080/15476286.2017.1364830. Epub 2017 Oct 11.
7
Identification of widespread ultra-edited human RNAs.鉴定广泛存在的超编辑人类 RNA。
PLoS Genet. 2011 Oct;7(10):e1002317. doi: 10.1371/journal.pgen.1002317. Epub 2011 Oct 20.
8
What do editors do? Understanding the physiological functions of A-to-I RNA editing by adenosine deaminase acting on RNAs.编辑的工作是什么?通过 RNA 腺苷脱氨酶作用理解 A 到 I RNA 编辑的生理功能。
Open Biol. 2020 Jul;10(7):200085. doi: 10.1098/rsob.200085. Epub 2020 Jul 1.
9
A-to-I RNA editing and cancer: from pathology to basic science.A到I RNA编辑与癌症:从病理学到基础科学
RNA Biol. 2008 Jul-Sep;5(3):135-9. doi: 10.4161/rna.5.3.6739. Epub 2008 Jul 5.
10
Mechanisms and implications of ADAR-mediated RNA editing in cancer.ADAR 介导的 RNA 编辑在癌症中的机制和意义。
Cancer Lett. 2017 Dec 28;411:27-34. doi: 10.1016/j.canlet.2017.09.036. Epub 2017 Sep 30.

引用本文的文献

1
Novel lncRNA Regulates Expression in Breast Cancer Cell Line.新型长链非编码RNA调控乳腺癌细胞系中的表达。
Int J Mol Sci. 2025 May 26;26(11):5108. doi: 10.3390/ijms26115108.
2
ADAR-Mediated A>I(G) RNA Editing in the Genotoxic Drug Response of Breast Cancer.ADAR 介导的 A>I(G) RNA 编辑在乳腺癌的致瘤药物反应中的作用。
Int J Mol Sci. 2024 Jul 6;25(13):7424. doi: 10.3390/ijms25137424.
3
Determinants of gastric cancer immune escape identified from non-coding immune-landscape quantitative trait loci.从非编码免疫景观数量性状基因座鉴定的胃癌免疫逃逸决定因素。

本文引用的文献

1
Epigenetic therapy induces transcription of inverted SINEs and ADAR1 dependency.表观遗传学治疗诱导反转 SINEs 的转录和 ADAR1 的依赖性。
Nature. 2020 Dec;588(7836):169-173. doi: 10.1038/s41586-020-2844-1. Epub 2020 Oct 21.
2
Live-Cell Quantification of APOBEC1-Mediated RNA Editing: A Comparison of RNA Editing Assays.活细胞中 APOBEC1 介导的 RNA 编辑的定量:RNA 编辑分析方法的比较。
Methods Mol Biol. 2021;2181:69-81. doi: 10.1007/978-1-0716-0787-9_5.
3
RNA editing mediates the functional switch of COPA in a novel mechanism of hepatocarcinogenesis.
Nat Commun. 2024 May 21;15(1):4319. doi: 10.1038/s41467-024-48436-5.
4
RNA editing enzymes: structure, biological functions and applications.RNA编辑酶:结构、生物学功能及应用
Cell Biosci. 2024 Mar 16;14(1):34. doi: 10.1186/s13578-024-01216-6.
5
Acute expression of human APOBEC3B in mice results in RNA editing and lethality.人 APOBEC3B 在小鼠中的急性表达导致 RNA 编辑和致死。
Genome Biol. 2023 Nov 24;24(1):267. doi: 10.1186/s13059-023-03115-4.
6
DNA Deamination Is Required for Human APOBEC3A-Driven Hepatocellular Carcinoma In Vivo.DNA 脱氨酶是人类 APOBEC3A 驱动的肝细胞癌在体内发生所必需的。
Int J Mol Sci. 2023 May 26;24(11):9305. doi: 10.3390/ijms24119305.
7
Neoantigens: promising targets for cancer therapy.肿瘤新抗原:癌症治疗的有前途的靶点。
Signal Transduct Target Ther. 2023 Jan 6;8(1):9. doi: 10.1038/s41392-022-01270-x.
8
Somatic A-to-I RNA-edited RHOA isoform 2 specific-R176G mutation promotes tumor progression in lung adenocarcinoma.Somatic A-to-I RNA 编辑的 RHOA 同种型 2 特异性 R176G 突变促进肺腺癌的肿瘤进展。
Mol Carcinog. 2023 Mar;62(3):348-359. doi: 10.1002/mc.23490. Epub 2022 Dec 1.
9
The snoRNA-like lncRNA LNC-SNO49AB drives leukemia by activating the RNA-editing enzyme ADAR1.类小核仁RNA的长链非编码RNA LNC-SNO49AB通过激活RNA编辑酶ADAR1来驱动白血病。
Cell Discov. 2022 Nov 1;8(1):117. doi: 10.1038/s41421-022-00460-9.
10
The Epitranscriptomic Mechanism of Metal Toxicity and Carcinogenesis.金属毒性和致癌作用的表观转录组学机制。
Int J Mol Sci. 2022 Oct 5;23(19):11830. doi: 10.3390/ijms231911830.
RNA编辑在肝癌发生的新机制中介导了COPA的功能转换。
J Hepatol. 2021 Jan;74(1):135-147. doi: 10.1016/j.jhep.2020.07.021. Epub 2020 Jul 18.
4
Quantification of ongoing APOBEC3A activity in tumor cells by monitoring RNA editing at hotspots.通过监测热点处的 RNA 编辑来定量肿瘤细胞中的持续 APOBEC3A 活性。
Nat Commun. 2020 Jun 12;11(1):2971. doi: 10.1038/s41467-020-16802-8.
5
ADAR1-mediated RNA editing is a novel oncogenic process in thyroid cancer and regulates miR-200 activity.ADAR1 介导的 RNA 编辑是甲状腺癌中的一种新的致癌过程,调节 miR-200 的活性。
Oncogene. 2020 Apr;39(18):3738-3753. doi: 10.1038/s41388-020-1248-x. Epub 2020 Mar 10.
6
The majority of A-to-I RNA editing is not required for mammalian homeostasis.大多数 A-to-I RNA 编辑对于哺乳动物的内稳态并非必需。
Genome Biol. 2019 Dec 9;20(1):268. doi: 10.1186/s13059-019-1873-2.
7
APOBEC3-Mediated RNA Editing in Breast Cancer is Associated with Heightened Immune Activity and Improved Survival.载脂蛋白 B mRNA 编辑酶催化多肽 3(APOBEC3)介导的 RNA 编辑在乳腺癌中与增强的免疫活性和改善的生存相关。
Int J Mol Sci. 2019 Nov 10;20(22):5621. doi: 10.3390/ijms20225621.
8
Mitochondrial hypoxic stress induces widespread RNA editing by APOBEC3G in natural killer cells.线粒体缺氧应激诱导自然杀伤细胞中 APOBEC3G 广泛的 RNA 编辑。
Genome Biol. 2019 Feb 21;20(1):37. doi: 10.1186/s13059-019-1651-1.
9
Self-Awareness: Nucleic Acid-Driven Inflammation and the Type I Interferonopathies.自我意识:核酸驱动的炎症与 I 型干扰素病。
Annu Rev Immunol. 2019 Apr 26;37:247-267. doi: 10.1146/annurev-immunol-042718-041257. Epub 2019 Jan 11.
10
Identification of ADAR1 adenosine deaminase dependency in a subset of cancer cells.鉴定 ADAR1 腺苷脱氨酶在部分癌细胞中的依赖性。
Nat Commun. 2018 Dec 21;9(1):5450. doi: 10.1038/s41467-018-07824-4.