• 文献检索
  • 文档翻译
  • 深度研究
  • 学术资讯
  • Suppr Zotero 插件Zotero 插件
  • 邀请有礼
  • 套餐&价格
  • 历史记录
应用&插件
Suppr Zotero 插件Zotero 插件浏览器插件Mac 客户端Windows 客户端微信小程序
定价
高级版会员购买积分包购买API积分包
服务
文献检索文档翻译深度研究API 文档MCP 服务
关于我们
关于 Suppr公司介绍联系我们用户协议隐私条款
关注我们

Suppr 超能文献

核心技术专利:CN118964589B侵权必究
粤ICP备2023148730 号-1Suppr @ 2026

文献检索

告别复杂PubMed语法,用中文像聊天一样搜索,搜遍4000万医学文献。AI智能推荐,让科研检索更轻松。

立即免费搜索

文件翻译

保留排版,准确专业,支持PDF/Word/PPT等文件格式,支持 12+语言互译。

免费翻译文档

深度研究

AI帮你快速写综述,25分钟生成高质量综述,智能提取关键信息,辅助科研写作。

立即免费体验

67 个中低收入国家中按母身高标准化的发育迟缓患病率。

Maternal Height-standardized Prevalence of Stunting in 67 Low- and Middle-income Countries.

机构信息

Takemi Program in International Health, Harvard T.H. Chan School of Public Health, Harvard University.

Department of Economic History, School of Economics and Management, Lund University.

出版信息

J Epidemiol. 2022 Jul 5;32(7):337-344. doi: 10.2188/jea.JE20200537. Epub 2021 Jul 10.

DOI:10.2188/jea.JE20200537
PMID:33612705
原文链接:https://pmc.ncbi.nlm.nih.gov/articles/PMC9189321/
Abstract

BACKGROUND

Prevalence of stunting is frequently used as a marker of population-level child undernutrition. Parental height varies widely in low- and middle-income countries (LMIC) and is also a major determinant of stunting. While stunting is a useful measure of child health, with multiple causal components, removing the component attributable to parental height may in some cases be helpful to identify shortcoming in current environments.

METHODS

We estimated maternal height-standardized prevalence of stunting (SPS) in 67 LMICs and parental height-SPS in 20 LMICs and compared with crude prevalence of stunting (CPS) using data on 575,767 children under-five from 67 Demographic and Health Surveys (DHS). We supplemented the DHS with population-level measures of other child health outcomes from the World Health Organization's (WHO) Global Health Observatory and the United Nations' Inter-Agency Group for Child Mortality Estimation. Prevalence of stunting was defined as percentage of children with height-for-age falling below -2 z-scores from the median of the 2006 WHO growth standard.

RESULTS

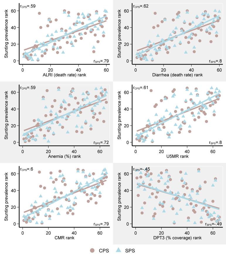
The average CPS across countries was 27.8% (95% confidence interval [CI], 27.5-28.1%) and the average SPS was 23.3% (95% CI, 23.0-23.6%). The rank of countries according to SPS differed substantially from the rank according to CPS. Guatemala, Bangladesh, and Nepal had the biggest improvement in ranking according to SPS compared to CPS, while Gambia, Mali, and Senegal had the biggest decline in ranking. Guatemala had the largest difference between CPS and SPS with a CPS of 45.2 (95% CI, 43.7-46.9%) and SPS of 14.1 (95% CI, 12.6-15.8%). Senegal had the largest increase in the prevalence after standardizing maternal height, with a CPS of 28.0% (95% CI, 25.8-30.2%) and SPS of 31.6% (95% CI, 29.5-33.8%). SPS correlated better than CPS with other population-level measures of child health.

CONCLUSION

Our study suggests that CPS is sensitive to adjustment for maternal height. Maternal height, while a strong predictor of child stunting, is not amenable to policy interventions. We showed the plausibility of SPS in capturing current exposures to undernutrition and infections in children.

摘要

背景

发育迟缓的流行率常被用作人群层面儿童营养不良的指标。在低收入和中等收入国家(LMIC),父母的身高差异很大,也是发育迟缓的主要决定因素。虽然发育迟缓是衡量儿童健康的一个有用指标,有多个因果因素,但消除与父母身高相关的因素,在某些情况下可能有助于发现当前环境中的不足之处。

方法

我们估计了 67 个 LMIC 国家的母亲身高标准化发育迟缓患病率(SPS)和 20 个 LMIC 国家的父母身高-SPS,并使用来自 67 项人口与健康调查(DHS)的 575767 名五岁以下儿童的数据,将其与发育迟缓的粗患病率(CPS)进行比较。我们使用世界卫生组织(WHO)全球卫生观察站和联合国儿童死亡率估计机构间小组的其他儿童健康结果的人口水平指标补充 DHS。发育迟缓的患病率定义为身高低于年龄中位数 -2 z 分数的儿童百分比,来自 2006 年 WHO 生长标准。

结果

各国平均 CPS 为 27.8%(95%置信区间[CI],27.5-28.1%),平均 SPS 为 23.3%(95% CI,23.0-23.6%)。根据 SPS 的国家排名与根据 CPS 的国家排名有很大差异。危地马拉、孟加拉国和尼泊尔根据 SPS 的排名上升幅度最大,而冈比亚、马里和塞内加尔的排名下降幅度最大。危地马拉的 CPS 和 SPS 之间的差异最大,CPS 为 45.2%(95% CI,43.7-46.9%),SPS 为 14.1%(95% CI,12.6-15.8%)。塞内加尔在调整母亲身高后,发育迟缓的患病率增幅最大,CPS 为 28.0%(95% CI,25.8-30.2%),SPS 为 31.6%(95% CI,29.5-33.8%)。SPS 与其他人群层面的儿童健康指标比 CPS 相关性更好。

结论

我们的研究表明,CPS 对母亲身高的调整很敏感。母亲身高虽然是儿童发育迟缓的一个强有力的预测因素,但无法进行政策干预。我们展示了 SPS 在捕捉儿童当前营养不足和感染暴露方面的可行性。

https://cdn.ncbi.nlm.nih.gov/pmc/blobs/f548/9189321/5f09926531e8/je-32-337-g003.jpg
https://cdn.ncbi.nlm.nih.gov/pmc/blobs/f548/9189321/be56e7bef1df/je-32-337-g001.jpg
https://cdn.ncbi.nlm.nih.gov/pmc/blobs/f548/9189321/957b7297c66c/je-32-337-g002.jpg
https://cdn.ncbi.nlm.nih.gov/pmc/blobs/f548/9189321/5f09926531e8/je-32-337-g003.jpg
https://cdn.ncbi.nlm.nih.gov/pmc/blobs/f548/9189321/be56e7bef1df/je-32-337-g001.jpg
https://cdn.ncbi.nlm.nih.gov/pmc/blobs/f548/9189321/957b7297c66c/je-32-337-g002.jpg
https://cdn.ncbi.nlm.nih.gov/pmc/blobs/f548/9189321/5f09926531e8/je-32-337-g003.jpg

相似文献

1
Maternal Height-standardized Prevalence of Stunting in 67 Low- and Middle-income Countries.67 个中低收入国家中按母身高标准化的发育迟缓患病率。
J Epidemiol. 2022 Jul 5;32(7):337-344. doi: 10.2188/jea.JE20200537. Epub 2021 Jul 10.
2
Factors Associated With Child Stunting, Wasting, and Underweight in 35 Low- and Middle-Income Countries.35 个中低收入国家与儿童发育迟缓、消瘦和体重不足相关的因素。
JAMA Netw Open. 2020 Apr 1;3(4):e203386. doi: 10.1001/jamanetworkopen.2020.3386.
3
Global, regional and national epidemiology and prevalence of child stunting, wasting and underweight in low- and middle-income countries, 2006-2018.全球、区域和国家层面中低收入国家儿童发育迟缓、消瘦和体重不足的流行病学和流行率:2006-2018 年。
Sci Rep. 2021 Mar 4;11(1):5204. doi: 10.1038/s41598-021-84302-w.
4
Comparison of Child Undernutrition Anthropometric Indicators Across 56 Low- and Middle-Income Countries.56 个低收入和中等收入国家儿童营养不足的人体测量指标比较。
JAMA Netw Open. 2022 Mar 1;5(3):e221223. doi: 10.1001/jamanetworkopen.2022.1223.
5
An uncertainty estimate of the prevalence of stunting in national surveys: the need for better precision.国家调查中发育迟缓患病率的不确定性估计:提高精度的必要性。
BMC Public Health. 2020 Nov 1;20(1):1634. doi: 10.1186/s12889-020-09753-8.
6
Drivers of Under-Five Stunting Trend in 14 Low- and Middle-Income Countries since the Turn of the Millennium: A Multilevel Pooled Analysis of 50 Demographic and Health Surveys.新世纪以来 14 个中低收入国家 5 岁以下儿童发育迟缓趋势的驱动因素:50 项人口与健康调查的多水平 pooled 分析。
Nutrients. 2019 Oct 16;11(10):2485. doi: 10.3390/nu11102485.
7
Prevalence and socio-demographic correlates of stunting and thinness among Pakistani primary school children.巴基斯坦小学生发育迟缓与消瘦的流行情况及其社会人口学相关因素。
BMC Public Health. 2011 Oct 11;11:790. doi: 10.1186/1471-2458-11-790.
8
Prevalence of childhood stunting and determinants in low and lower-middle income African countries: Evidence from standard demographic and health survey.非洲低收入和中低收入国家儿童发育迟缓的患病率及其决定因素:来自标准人口与健康调查的证据
PLoS One. 2024 Apr 25;19(4):e0302212. doi: 10.1371/journal.pone.0302212. eCollection 2024.
9
Simultaneous quantile regression and determinants of under-five severe chronic malnutrition in Ghana.加纳五岁以下儿童严重慢性营养不良的同时分位数回归及其决定因素。
BMC Public Health. 2020 May 7;20(1):644. doi: 10.1186/s12889-020-08782-7.
10
Association of Parental Height With Offspring Stunting in 14 Low- and Middle-Income Countries.14个低收入和中等收入国家中父母身高与子女发育迟缓的关联
Front Nutr. 2021 Aug 11;8:650976. doi: 10.3389/fnut.2021.650976. eCollection 2021.

引用本文的文献

1
Determinants, Impact and Optimal Resource Allocation of Zambia's Scaling Up Nutrition Program.赞比亚扩大营养计划的决定因素、影响及最优资源配置
Matern Child Health J. 2025 Sep 15. doi: 10.1007/s10995-025-04169-5.
2
Factors associated with childhood undernutrition in poor Ethiopian households: Implications for public health interventions.埃塞俄比亚贫困家庭中与儿童营养不良相关的因素:对公共卫生干预措施的启示
PLoS One. 2025 May 9;20(5):e0323332. doi: 10.1371/journal.pone.0323332. eCollection 2025.
3
Machine Learning in Predicting Child Malnutrition: A Meta-Analysis of Demographic and Health Surveys Data.

本文引用的文献

1
The regulation of human growth includes an understanding of competitive growth strategies and community effects on height.人类生长的调节包括对竞争性生长策略以及群体对身高影响的理解。
Am J Hum Biol. 2020 May;32(3):e23383. doi: 10.1002/ajhb.23383. Epub 2019 Dec 31.
2
The burden of child and maternal malnutrition and trends in its indicators in the states of India: the Global Burden of Disease Study 1990-2017.印度各州儿童和孕产妇营养不良负担及其指标趋势:1990-2017 年全球疾病负担研究。
Lancet Child Adolesc Health. 2019 Dec;3(12):855-870. doi: 10.1016/S2352-4642(19)30273-1. Epub 2019 Sep 18.
3
Predicting women's height from their socioeconomic status: A machine learning approach.
机器学习在预测儿童营养不良方面的应用:基于人口与健康调查数据的荟萃分析
Int J Environ Res Public Health. 2025 Mar 18;22(3):449. doi: 10.3390/ijerph22030449.
4
Global relevance of MGRS growth standards: the case of India.全球 MGRS 增长标准的相关性:以印度为例。
BMJ Paediatr Open. 2024 Mar 15;8(1):e002472. doi: 10.1136/bmjpo-2023-002472.
5
Co-existence of maternal overweight/obesity, child undernutrition, and anaemia among mother-child pairs in Ethiopia.埃塞俄比亚母婴对中母亲超重/肥胖、儿童营养不良和贫血并存的情况。
PLOS Glob Public Health. 2024 Mar 7;4(3):e0002831. doi: 10.1371/journal.pgph.0002831. eCollection 2024.
6
Gender-specific disaggregated analysis of childhood undernutrition in Ethiopia: evidence from 2000-2016 nationwide survey.埃塞俄比亚儿童营养不足的性别特定分类分析:来自 2000-2016 年全国调查的证据。
BMC Public Health. 2023 Oct 19;23(1):2040. doi: 10.1186/s12889-023-16907-x.
7
Progress on Sustainable Development Goal indicators in 707 districts of India: a quantitative mid-line assessment using the National Family Health Surveys, 2016 and 2021.印度707个地区可持续发展目标指标的进展:使用2016年和2021年全国家庭健康调查进行的定量中期评估。
Lancet Reg Health Southeast Asia. 2023 Feb 21;13:100155. doi: 10.1016/j.lansea.2023.100155. eCollection 2023 Jun.
8
Should India adopt a country-specific growth reference to measure undernutrition among its children?印度是否应该采用针对本国情况的生长标准来衡量其儿童的营养不良状况?
Lancet Reg Health Southeast Asia. 2022 Nov 17;9:100107. doi: 10.1016/j.lansea.2022.100107. eCollection 2023 Feb.
9
Patterns in child stunting by age: A cross-sectional study of 94 low- and middle-income countries.儿童发育迟缓的年龄模式:94 个低收入和中等收入国家的横断面研究。
Matern Child Nutr. 2023 Oct;19(4):e13537. doi: 10.1111/mcn.13537. Epub 2023 Jun 5.
10
Association between maternal stature and household-level double burden of malnutrition: findings from a comprehensive analysis of Ethiopian Demographic and Health Survey.母亲身高与家庭层面营养不良双重负担的关联:来自埃塞俄比亚人口与健康调查综合分析的结果。
J Health Popul Nutr. 2023 Jan 24;42(1):7. doi: 10.1186/s41043-023-00347-9.
从社会经济地位预测女性身高:一种机器学习方法。
Soc Sci Med. 2019 Oct;238:112486. doi: 10.1016/j.socscimed.2019.112486. Epub 2019 Aug 14.
4
Assessing associational strength of 23 correlates of child anthropometric failure: An econometric analysis of the 2015-2016 National Family Health Survey, India.评估 23 项儿童人体测量失败相关因素的关联强度:对印度 2015-2016 年国家家庭健康调查的计量经济学分析。
Soc Sci Med. 2019 Oct;238:112374. doi: 10.1016/j.socscimed.2019.112374. Epub 2019 Jun 20.
5
Perspective: What Does Stunting Really Mean? A Critical Review of the Evidence.观点:发育迟缓到底意味着什么?对现有证据的批判性回顾。
Adv Nutr. 2019 Mar 1;10(2):196-204. doi: 10.1093/advances/nmy101.
6
Human life course biology: A centennial perspective of scholarship on the human pattern of physical growth and its place in human biocultural evolution.人类生命历程生物学:关于人类身体生长模式及其在人类生物文化进化中的地位的百年学术视角。
Am J Phys Anthropol. 2018 Apr;165(4):834-854. doi: 10.1002/ajpa.23357.
7
Global, regional, and national causes of under-5 mortality in 2000-15: an updated systematic analysis with implications for the Sustainable Development Goals.2000 - 2015年全球、区域和国家五岁以下儿童死亡原因:一项最新的系统分析及其对可持续发展目标的启示
Lancet. 2016 Dec 17;388(10063):3027-3035. doi: 10.1016/S0140-6736(16)31593-8. Epub 2016 Nov 11.
8
Adult height, nutrition, and population health.成人身高、营养与人口健康。
Nutr Rev. 2016 Mar;74(3):149-65. doi: 10.1093/nutrit/nuv105.
9
Malnutrition and Its Determinants Are Associated with Suboptimal Cognitive, Communication, and Motor Development in Tanzanian Children.营养不良及其决定因素与坦桑尼亚儿童认知、沟通和运动发育欠佳有关。
J Nutr. 2015 Dec;145(12):2705-14. doi: 10.3945/jn.115.215996. Epub 2015 Oct 7.
10
Intergenerational influences on the growth of Maya children: The effect of living conditions experienced by mothers and maternal grandmothers during their childhood.代际因素对玛雅儿童成长的影响:母亲及外祖母童年时期生活条件所产生的作用。
Am J Hum Biol. 2015 Jul-Aug;27(4):494-500. doi: 10.1002/ajhb.22675. Epub 2015 Jan 9.