• 文献检索
  • 文档翻译
  • 深度研究
  • 学术资讯
  • Suppr Zotero 插件Zotero 插件
  • 邀请有礼
  • 套餐&价格
  • 历史记录
应用&插件
Suppr Zotero 插件Zotero 插件浏览器插件Mac 客户端Windows 客户端微信小程序
定价
高级版会员购买积分包购买API积分包
服务
文献检索文档翻译深度研究API 文档MCP 服务
关于我们
关于 Suppr公司介绍联系我们用户协议隐私条款
关注我们

Suppr 超能文献

核心技术专利:CN118964589B侵权必究
粤ICP备2023148730 号-1Suppr @ 2026

文献检索

告别复杂PubMed语法,用中文像聊天一样搜索,搜遍4000万医学文献。AI智能推荐,让科研检索更轻松。

立即免费搜索

文件翻译

保留排版,准确专业,支持PDF/Word/PPT等文件格式,支持 12+语言互译。

免费翻译文档

深度研究

AI帮你快速写综述,25分钟生成高质量综述,智能提取关键信息,辅助科研写作。

立即免费体验

国家调查中发育迟缓患病率的不确定性估计:提高精度的必要性。

An uncertainty estimate of the prevalence of stunting in national surveys: the need for better precision.

作者信息

Ghosh Santu, Shivakumar Nirupama, Bandyopadhyay Sulagna, Sachdev Harshpal S, Kurpad Anura V, Thomas Tinku

机构信息

Department of Biostatistics, St. John's Medical College, St. John's Academy of Health Sciences, Bangalore, 560034, India.

Division of Nutrition, St. John's Research Institute, St. John's Academy of Health Sciences, Bangalore, India.

出版信息

BMC Public Health. 2020 Nov 1;20(1):1634. doi: 10.1186/s12889-020-09753-8.

DOI:10.1186/s12889-020-09753-8
PMID:33131489
原文链接:https://pmc.ncbi.nlm.nih.gov/articles/PMC7603753/
Abstract

BACKGROUND

Stunting is determined by using the World Health Organization (WHO) child growth standard which was developed using precise measurements. However, it is unlikely that large scale surveys maintain the same level of rigour and precision when measuring the height of children. The population measure of stunting in children is sensitive to over-dispersion, and the high prevalence of stunting observed in surveys in low and middle-income countries (LMIC) could partly be due to lower measurement precison.

OBJECTIVES

To quantify the incongruence in the dispersion of height-for-age in national surveys of < 5 y children, in relation to the standard WHO Multicenter Growth Reference Study (MGRS), and propose a measure of uncertainty in population measures of stunting.

METHODS

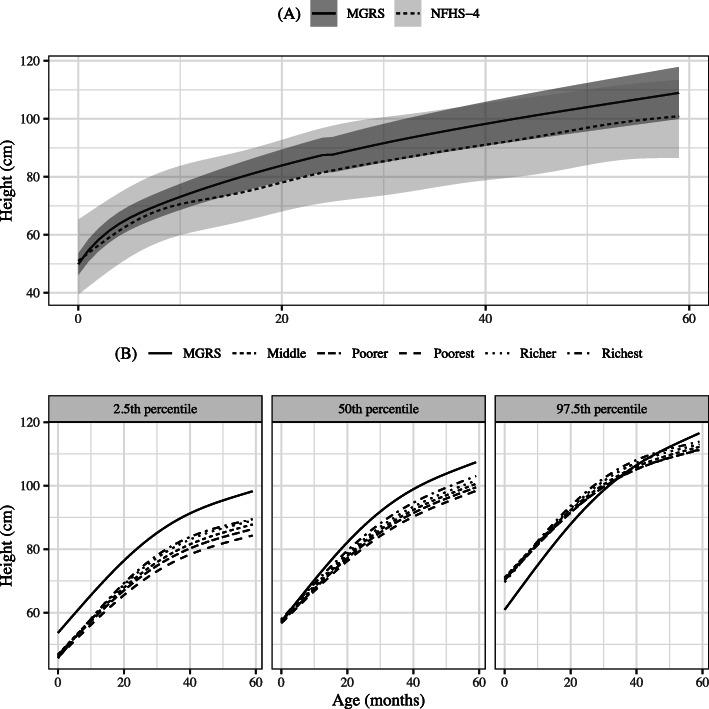
An uncertainty factor was proposed and measured from the observed incongruence in dispersion of the height-for-age of < 5 y children in the MGRS against carefully matched populations from the Demographic Health Survey of 17 countries ('test datasets', based on the availability of data). This also allowed for the determination of uncertainty-corrected prevalence of stunting (height-for-age Z score < - 2) in < 5 y children.

RESULTS

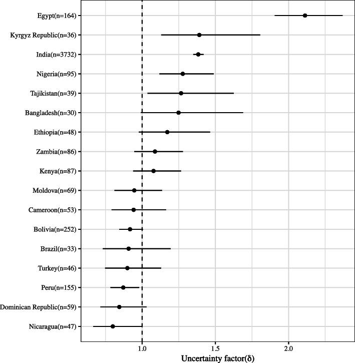
The uncertainty factor was estimated for 17 LMICs. This ranged from 0.9 to 2.1 for Peru and Egypt respectively (reference value 1). As an explicit country example, the dispersion of height-for-age in the Indian National Family Health Survey-4 test dataset was 39% higher than the MGRS study, with an uncertainty factor of 1.39. From this, the uncertainty-adjusted Indian national stunting prevalence estimate reduced to 18.7% from the unadjusted estimate of 36.2%.

CONCLUSIONS

This study proposes a robust statistical method to estimate uncertainty in stunting prevalence estimates due to incongruent dispersions of height measured in national surveys for children < 5 years in relation to the WHO height-for-age standard. The uncertainty is partly due to population heterogeneity, but also due to measurement precision, and calls for better quality in these measurements.

摘要

背景

发育迟缓是通过使用世界卫生组织(WHO)的儿童生长标准来确定的,该标准是通过精确测量制定的。然而,在大规模调查中测量儿童身高时,不太可能保持相同程度的严谨性和精确性。儿童发育迟缓的总体衡量指标对过度离散很敏感,在低收入和中等收入国家(LMIC)的调查中观察到的高发育迟缓患病率可能部分归因于较低的测量精度。

目的

量化5岁以下儿童全国性调查中年龄别身高离散度与WHO多中心生长参考研究(MGRS)标准之间的不一致性,并提出一种衡量发育迟缓总体指标不确定性的方法。

方法

提出并测量了一个不确定性因素,该因素基于MGRS中5岁以下儿童年龄别身高的观察离散度与17个国家人口与健康调查中精心匹配的人群(“测试数据集”,取决于数据可用性)之间的不一致性。这也有助于确定5岁以下儿童发育迟缓(年龄别身高Z评分<-2)的不确定性校正患病率。

结果

估计了17个低收入和中等收入国家的不确定性因素。秘鲁和埃及的该因素分别为0.9至2.1(参考值为1)。作为一个明确的国家示例,印度第四次全国家庭健康调查测试数据集中年龄别身高的离散度比MGRS研究高39%,不确定性因素为1.39。据此,印度全国发育迟缓患病率的不确定性调整估计值从未调整的36.2%降至18.7%。

结论

本研究提出了一种稳健的统计方法,用于估计在全国性调查中测量的5岁以下儿童身高离散度与WHO年龄别身高标准不一致导致的发育迟缓患病率估计值的不确定性。这种不确定性部分归因于人群异质性,但也归因于测量精度,因此需要提高这些测量的质量。

https://cdn.ncbi.nlm.nih.gov/pmc/blobs/d2a3/7603753/6993dc599220/12889_2020_9753_Fig3_HTML.jpg
https://cdn.ncbi.nlm.nih.gov/pmc/blobs/d2a3/7603753/f873d13a731c/12889_2020_9753_Fig1_HTML.jpg
https://cdn.ncbi.nlm.nih.gov/pmc/blobs/d2a3/7603753/3afd25b1ca49/12889_2020_9753_Fig2_HTML.jpg
https://cdn.ncbi.nlm.nih.gov/pmc/blobs/d2a3/7603753/6993dc599220/12889_2020_9753_Fig3_HTML.jpg
https://cdn.ncbi.nlm.nih.gov/pmc/blobs/d2a3/7603753/f873d13a731c/12889_2020_9753_Fig1_HTML.jpg
https://cdn.ncbi.nlm.nih.gov/pmc/blobs/d2a3/7603753/3afd25b1ca49/12889_2020_9753_Fig2_HTML.jpg
https://cdn.ncbi.nlm.nih.gov/pmc/blobs/d2a3/7603753/6993dc599220/12889_2020_9753_Fig3_HTML.jpg

相似文献

1
An uncertainty estimate of the prevalence of stunting in national surveys: the need for better precision.国家调查中发育迟缓患病率的不确定性估计:提高精度的必要性。
BMC Public Health. 2020 Nov 1;20(1):1634. doi: 10.1186/s12889-020-09753-8.
2
Maternal Height-standardized Prevalence of Stunting in 67 Low- and Middle-income Countries.67 个中低收入国家中按母身高标准化的发育迟缓患病率。
J Epidemiol. 2022 Jul 5;32(7):337-344. doi: 10.2188/jea.JE20200537. Epub 2021 Jul 10.
3
adjustment for measurement error in stunting calculations: an illustration from Egypt.调整生长迟缓计算中的测量误差:来自埃及的说明。
Public Health Nutr. 2020 Apr;23(5):776-781. doi: 10.1017/S1368980019003100. Epub 2019 Nov 25.
4
Factors Associated With Child Stunting, Wasting, and Underweight in 35 Low- and Middle-Income Countries.35 个中低收入国家与儿童发育迟缓、消瘦和体重不足相关的因素。
JAMA Netw Open. 2020 Apr 1;3(4):e203386. doi: 10.1001/jamanetworkopen.2020.3386.
5
Association between economic growth and early childhood undernutrition: evidence from 121 Demographic and Health Surveys from 36 low-income and middle-income countries.经济增长与儿童早期营养不良之间的关联:来自 36 个低收入和中等收入国家的 121 项人口与健康调查的证据。
Lancet Glob Health. 2014 Apr;2(4):e225-34. doi: 10.1016/S2214-109X(14)70025-7. Epub 2014 Mar 27.
6
Missingness of Height Data from the Demographic and Health Surveys in Africa between 1991 and 2016 Was Not Random but Is Unlikely to Have Major Implications for Biases in Estimating Stunting Prevalence or the Determinants of Child Height.1991 年至 2016 年期间,非洲人口与健康调查中存在身高数据缺失,但这种缺失并非随机的,不太可能对估计发育迟缓患病率或儿童身高决定因素产生重大偏差。
J Nutr. 2018 May 1;148(5):781-789. doi: 10.1093/jn/nxy037.
7
Birth interval and stunting in children under five years of age in Peru (1996-2014).秘鲁五岁以下儿童的生育间隔与发育迟缓(1996 - 2014年)
Child Care Health Dev. 2017 Jan;43(1):97-103. doi: 10.1111/cch.12420. Epub 2016 Nov 1.
8
Prevalence and Risk of Moderate Stunting Among a Sample of Children Aged 0-24 Months in Brunei.文莱0至24个月儿童样本中中度发育迟缓的患病率及风险
Matern Child Health J. 2017 Dec;21(12):2256-2266. doi: 10.1007/s10995-017-2348-2.
9
Nutritional status of Indian adolescents (15-19 years) from National Family Health Surveys 3 and 4: Revised estimates using WHO 2007 Growth reference.印度青少年(15-19 岁)的营养状况:使用世卫组织 2007 年生长标准对国家家庭健康调查 3 和 4 进行的修订估计。
PLoS One. 2020 Jun 22;15(6):e0234570. doi: 10.1371/journal.pone.0234570. eCollection 2020.
10
Long run height and education implications of early life growth faltering: a synthetic panel analysis of 425 birth cohorts in 21 low- and middle-income countries.长期身高与早年生长迟缓对教育的影响:21 个中低收入国家 425 个出生队列的综合面板分析。
BMC Public Health. 2019 Jul 4;19(1):876. doi: 10.1186/s12889-019-7203-5.

引用本文的文献

1
Accuracy of Caregiver-Reported Height, Weight, and BMI in a Pediatric Growth Clinic.儿科生长诊所中由照料者报告的身高、体重和体重指数的准确性。
Risk Manag Healthc Policy. 2025 Aug 8;18:2591-2600. doi: 10.2147/RMHP.S529963. eCollection 2025.
2
Determinants of height-for-age Z-score (HAZ) among Ethiopian children aged 0-59 months: a multilevel mixed-effects analysis.埃塞俄比亚0 - 59个月儿童年龄别身高Z评分(HAZ)的决定因素:一项多层次混合效应分析。
BMC Public Health. 2025 May 1;25(1):1614. doi: 10.1186/s12889-025-22831-z.
3
Influence of non-directional errors in anthropometric measurements and age estimation on anthropometric prevalence indicators.

本文引用的文献

1
Use and Misuse of Stunting as a Measure of Child Health.矮身材作为儿童健康衡量指标的使用与误用。
J Nutr. 2018 Mar 1;148(3):311-315. doi: 10.1093/jn/nxx064.
2
Variation in Anthropometric Status and Growth Failure in Low- and Middle-Income Countries.中低收入国家人体测量学状况和生长发育不良的变化。
Pediatrics. 2018 Mar;141(3). doi: 10.1542/peds.2017-2183.
3
Early childhood linear growth faltering in low-income and middle-income countries as a whole-population condition: analysis of 179 Demographic and Health Surveys from 64 countries (1993-2015).
人体测量非定向误差和年龄估计对人体测量流行指标的影响。
PLoS One. 2024 Sep 4;19(9):e0304131. doi: 10.1371/journal.pone.0304131. eCollection 2024.
4
The Socio-Environmental Determinants of Childhood Malnutrition: A Spatial and Hierarchical Analysis.社会环境因素对儿童营养不良的影响:空间和层次分析。
Nutrients. 2024 Jun 25;16(13):2014. doi: 10.3390/nu16132014.
5
Co-occurrence of Overweight, Stunting, and Anemia among Adolescents (10-19 Years) in Tanzania Mainland: A School-Based Cross-Sectional Study.坦桑尼亚大陆青少年(10 - 19岁)超重、发育迟缓与贫血的共现情况:一项基于学校的横断面研究
Curr Dev Nutr. 2023 Oct 14;8(1):102016. doi: 10.1016/j.cdnut.2023.102016. eCollection 2024 Jan.
6
Evaluating Changes in Determinants of Stunting among Children Under 2 Years and Assessing Their Contribution to Socioeconomic Disparity in Child Nutritional Status across India.评估2岁以下儿童发育迟缓决定因素的变化,并评估这些因素对印度儿童营养状况社会经济差距的影响。
Indian J Community Med. 2022 Jan-Mar;47(1):96-103. doi: 10.4103/ijcm.ijcm_1173_21. Epub 2022 Mar 16.
7
The Potential Contribution of the Health System to Reducing Stunting in SUN Countries.卫生系统降低阳光地带国家儿童发育迟缓发生率的潜在贡献。
Food Nutr Bull. 2021 Jun;42(2):159-169. doi: 10.1177/0379572121998127. Epub 2021 May 17.
整体人群条件下,低收入和中等收入国家幼儿线性生长迟缓:64 个国家 179 次人口与健康调查的分析(1993-2015 年)。
Lancet Glob Health. 2017 Dec;5(12):e1249-e1257. doi: 10.1016/S2214-109X(17)30418-7.
4
Child anthropometry data quality from Demographic and Health Surveys, Multiple Indicator Cluster Surveys, and National Nutrition Surveys in the West Central Africa region: are we comparing apples and oranges?来自西非中部地区人口与健康调查、多指标类集调查和国家营养调查的儿童人体测量数据质量:我们是在进行不恰当的比较吗?
Glob Health Action. 2017;10(1):1328185. doi: 10.1080/16549716.2017.1328185.
5
The Effect of Random Error on Diagnostic Accuracy Illustrated with the Anthropometric Diagnosis of Malnutrition.随机误差对诊断准确性的影响:以营养不良的人体测量诊断为例
PLoS One. 2016 Dec 28;11(12):e0168585. doi: 10.1371/journal.pone.0168585. eCollection 2016.
6
Precision of recumbent crown-heel length when using an infantometer.使用婴儿身长测量仪时卧位顶跟身长的精度。
BMC Pediatr. 2016 Nov 14;16(1):186. doi: 10.1186/s12887-016-0725-4.
7
Risk Factors for Childhood Stunting in 137 Developing Countries: A Comparative Risk Assessment Analysis at Global, Regional, and Country Levels.137个发展中国家儿童发育迟缓的风险因素:全球、区域和国家层面的比较风险评估分析
PLoS Med. 2016 Nov 1;13(11):e1002164. doi: 10.1371/journal.pmed.1002164. eCollection 2016 Nov.
8
Rethinking policy perspectives on childhood stunting: time to formulate a structural and multifactorial strategy.重新思考关于儿童发育迟缓的政策观点:是时候制定一项结构性和多因素的战略了。
Matern Child Nutr. 2016 May;12 Suppl 1(Suppl 1):219-36. doi: 10.1111/mcn.12254.
9
Can water, sanitation and hygiene help eliminate stunting? Current evidence and policy implications.水、环境卫生和个人卫生能否有助于消除发育迟缓?当前的证据及政策影响。
Matern Child Nutr. 2016 May;12 Suppl 1(Suppl 1):91-105. doi: 10.1111/mcn.12258.
10
The stunting syndrome in developing countries.发展中国家的发育迟缓综合征。
Paediatr Int Child Health. 2014 Nov;34(4):250-65. doi: 10.1179/2046905514Y.0000000158. Epub 2014 Oct 13.