Department of Biomedical Sciences and Program of Neuroscience, Florida State University, College of Medicine, Tallahassee, United States.
Department of Molecular and Human Genetics, Baylor College of Medicine, Houston, United States.
Elife. 2021 Feb 22;10:e63101. doi: 10.7554/eLife.63101.
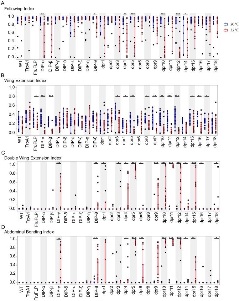
reproductive behaviors are directed by neurons. A reanalysis of genomic studies shows that genes encoding and immunoglobulin superfamily (IgSF) members are expressed in neurons. We find that each and ( ∩ ) overlapping expression pattern is similar in both sexes, but there are dimorphisms in neuronal morphology and cell number. Behavioral studies of ∩ perturbation genotypes indicate that the mushroom body functions together with the lateral protocerebral complex to direct courtship behavior. A single-cell RNA-seq analysis of neurons shows that many have high expression in a small set of neurons, whereas the are often expressed in a larger set of neurons at intermediate levels, with a myriad of expression combinations. Functionally, we find that perturbations of sex hierarchy genes and of change the sex-specific morphologies of ∩ neurons.
生殖行为由神经元指导。对基因组研究的重新分析表明,编码和免疫球蛋白超家族(IgSF)成员的基因在神经元中表达。我们发现,每个和(∩)重叠表达模式在两性中相似,但神经元形态和细胞数量存在二态性。对∩扰动基因型的行为研究表明,蘑菇体与侧原脑复合体一起作用,指导求偶行为。对神经元的单细胞 RNA-seq 分析表明,许多在一小部分神经元中高表达,而在更大一部分神经元中以中等水平表达,具有无数的表达组合。功能上,我们发现性阶基因和的扰动改变了∩神经元的性别特异性形态。