Suppr超能文献

临床预测规则对血液透析患者菌血症的附加价值:一项外部验证研究。

Added value of clinical prediction rules for bacteremia in hemodialysis patients: An external validation study.

机构信息

Department of Nephrology, Iizuka Hospital, Fukuoka, Japan.

Clinical Research Support Office, Iizuka Hospital, Fukuoka, Japan.

出版信息

PLoS One. 2021 Feb 22;16(2):e0247624. doi: 10.1371/journal.pone.0247624. eCollection 2021.

Abstract

INTRODUCTION

Having developed a clinical prediction rule (CPR) for bacteremia among hemodialysis (HD) outpatients (BAC-HD score), we performed external validation.

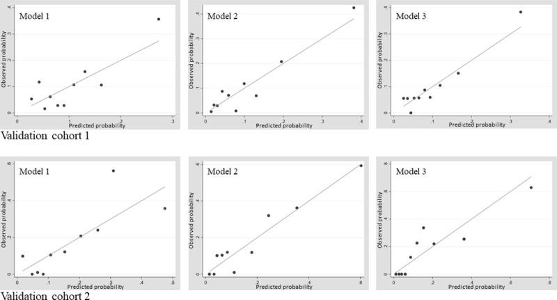
MATERIALS & METHODS: Data were collected on maintenance HD patients at two Japanese tertiary-care hospitals from January 2013 to December 2015. We enrolled 429 consecutive patients (aged ≥ 18 y) on maintenance HD who had had two sets of blood cultures drawn on admission to assess for bacteremia. We validated the predictive ability of the CPR using two validation cohorts. Index tests were the BAC-HD score and a CPR developed by Shapiro et al. The outcome was bacteremia, based on the results of the admission blood cultures. For added value, we also measured changes in the area under the receiver operating characteristic curve (AUC) using logistic regression and Net Reclassification Improvement (NRI), in which each CPR was added to the basic model.

RESULTS

In Validation cohort 1 (360 subjects), compared to a Model 1 (Basic Model) AUC of 0.69 (95% confidence interval [95% CI]: 0.59-0.80), the AUC of Model 2 (Basic model + BAC-HD score) and Model 3 (Basic model + Shapiro's score) increased to 0.8 (95% CI: 0.71-0.88) and 0.73 (95% CI: 0.63-0.83), respectively. In validation cohort 2 (96 subjects), compared to a Model 1 AUC of 0.81 (95% CI: 0.68-0.94), the AUCs of Model 2 and Model 3 increased to 0.83 (95% CI: 0.72-0.95) and 0.85 (95% CI: 0.76-0.94), respectively. NRIs on addition of the BAC-HD score and Shapiro's score were 0.3 and 0.06 in Validation cohort 1, and 0.27 and 0.13, respectively, in Validation cohort 2.

CONCLUSION

Either the BAC-HD score or Shapiro's score may improve the ability to diagnose bacteremia in HD patients. Reclassification was better with the BAC-HD score.

摘要

简介

我们已经开发出一种针对血液透析(HD)门诊患者菌血症的临床预测规则(CPR)(BAC-HD 评分),并进行了外部验证。

材料与方法

本研究收集了 2013 年 1 月至 2015 年 12 月在日本两家三级保健医院接受维持性 HD 的患者的数据。我们纳入了 429 例连续接受维持性 HD 的患者(年龄≥18 岁),他们在入院时接受了两套血培养以评估菌血症。我们使用两个验证队列来验证 CPR 的预测能力。指标试验为 BAC-HD 评分和 Shapiro 等人开发的 CPR。根据入院血培养的结果,以菌血症为结局。为了增加价值,我们还使用逻辑回归和净重新分类改善(NRI)来测量受试者工作特征曲线(ROC)下面积(AUC)的变化,其中每个 CPR 都被添加到基本模型中。

结果

在验证队列 1(360 例)中,与模型 1(基本模型)AUC 为 0.69(95%置信区间[95%CI]:0.59-0.80)相比,模型 2(基本模型+BAC-HD 评分)和模型 3(基本模型+Shapiro 评分)的 AUC 分别增加到 0.8(95%CI:0.71-0.88)和 0.73(95%CI:0.63-0.83)。在验证队列 2(96 例)中,与模型 1 AUC 为 0.81(95%CI:0.68-0.94)相比,模型 2 和模型 3 的 AUC 分别增加到 0.83(95%CI:0.72-0.95)和 0.85(95%CI:0.76-0.94)。在验证队列 1 中,BAC-HD 评分和 Shapiro 评分的 NRI 分别为 0.3 和 0.06,在验证队列 2 中,NRI 分别为 0.27 和 0.13。

结论

BAC-HD 评分或 Shapiro 评分均可能提高对 HD 患者菌血症的诊断能力。BAC-HD 评分的再分类效果更好。

https://cdn.ncbi.nlm.nih.gov/pmc/blobs/bbfa/7899347/c4801c80c7ca/pone.0247624.g001.jpg

文献检索

告别复杂PubMed语法,用中文像聊天一样搜索,搜遍4000万医学文献。AI智能推荐,让科研检索更轻松。

立即免费搜索

文件翻译

保留排版,准确专业,支持PDF/Word/PPT等文件格式,支持 12+语言互译。

免费翻译文档

深度研究

AI帮你快速写综述,25分钟生成高质量综述,智能提取关键信息,辅助科研写作。

立即免费体验