Suppr超能文献

容量超负荷对新发腹膜透析患者技术失败的影响。

The impact of volume overload on technique failure in incident peritoneal dialysis patients.

作者信息

Vrtovsnik François, Verger Christian, Van Biesen Wim, Fan Stanley, Shin Sug-Kyun, Rodríguez Carmen, Garcia Méndez Isabel, van der Sande Frank M, De Los Ríos Tatiana, Ihle Katharina, Gauly Adelheid, Ronco Claudio, Heaf James

机构信息

Department of Nephrology, Xavier Bichat Hospital, Paris, France.

Registre de Dialyse Péritonéale de Langue Française, Pontoise, France.

出版信息

Clin Kidney J. 2019 Dec 22;14(2):570-577. doi: 10.1093/ckj/sfz175. eCollection 2021 Feb.

Abstract

BACKGROUND

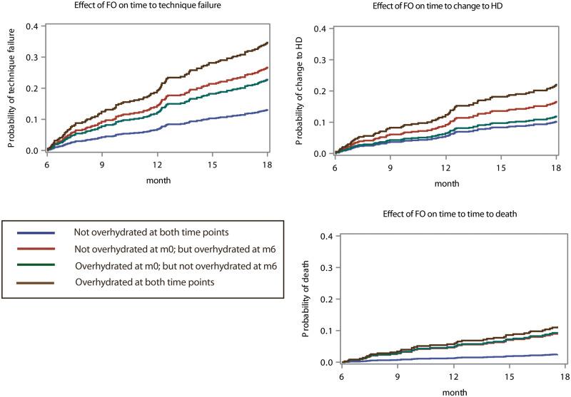
Technique failure in peritoneal dialysis (PD) can be due to patient- and procedure-related factors. With this analysis, we investigated the association of volume overload at the start and during the early phase of PD and technique failure.

METHODS

In this observational, international cohort study with longitudinal follow-up of incident PD patients, technique failure was defined as either transfer to haemodialysis or death, and transplantation was considered as a competing risk. We explored parameters at baseline or within the first 6 months and the association with technique failure between 6 and 18 months, using a competing risk model.

RESULTS

Out of 1092 patients of the complete cohort, 719 met specific inclusion and exclusion criteria for this analysis. Being volume overloaded, either at baseline or Month 6, or at both time points, was associated with an increased risk of technique failure compared with the patient group that was euvolaemic at both time points. Undergoing treatment at a centre with a high proportion of PD patients was associated with a lower risk of technique failure.

CONCLUSIONS

Volume overload at start of PD and/or at 6 months was associated with a higher risk of technique failure in the subsequent year. The risk was modified by centre characteristics, which varied among regions.

摘要

背景

腹膜透析(PD)技术失败可能归因于患者相关因素和操作相关因素。通过本分析,我们研究了PD开始时及早期阶段的容量超负荷与技术失败之间的关联。

方法

在这项对新入组的PD患者进行纵向随访的观察性国际队列研究中,技术失败定义为转为血液透析或死亡,移植被视为竞争风险。我们使用竞争风险模型探索了基线或前6个月的参数以及6至18个月期间与技术失败的关联。

结果

在完整队列的1092例患者中,719例符合本分析的特定纳入和排除标准。与在两个时间点均血容量正常的患者组相比,在基线或第6个月或两个时间点均存在容量超负荷与技术失败风险增加相关。在PD患者比例高的中心接受治疗与技术失败风险较低相关。

结论

PD开始时和/或6个月时的容量超负荷与随后一年技术失败的较高风险相关。该风险因中心特征而异,各地区有所不同。

https://cdn.ncbi.nlm.nih.gov/pmc/blobs/0d57/7886558/34529155e54c/sfz175f1.jpg

文献AI研究员

20分钟写一篇综述,助力文献阅读效率提升50倍。

立即体验

用中文搜PubMed

大模型驱动的PubMed中文搜索引擎

马上搜索

文档翻译

学术文献翻译模型,支持多种主流文档格式。

立即体验