• 文献检索
  • 文档翻译
  • 深度研究
  • 学术资讯
  • Suppr Zotero 插件Zotero 插件
  • 邀请有礼
  • 套餐&价格
  • 历史记录
应用&插件
Suppr Zotero 插件Zotero 插件浏览器插件Mac 客户端Windows 客户端微信小程序
定价
高级版会员购买积分包购买API积分包
服务
文献检索文档翻译深度研究API 文档MCP 服务
关于我们
关于 Suppr公司介绍联系我们用户协议隐私条款
关注我们

Suppr 超能文献

核心技术专利:CN118964589B侵权必究
粤ICP备2023148730 号-1Suppr @ 2026

文献检索

告别复杂PubMed语法,用中文像聊天一样搜索,搜遍4000万医学文献。AI智能推荐,让科研检索更轻松。

立即免费搜索

文件翻译

保留排版,准确专业,支持PDF/Word/PPT等文件格式,支持 12+语言互译。

免费翻译文档

深度研究

AI帮你快速写综述,25分钟生成高质量综述,智能提取关键信息,辅助科研写作。

立即免费体验

对医生的变异性进行建模,以确定相关病历信息的优先级。

Modeling physician variability to prioritize relevant medical record information.

作者信息

Tajgardoon Mohammadamin, Cooper Gregory F, King Andrew J, Clermont Gilles, Hochheiser Harry, Hauskrecht Milos, Sittig Dean F, Visweswaran Shyam

机构信息

Intelligent Systems Program, School of Computing and Information, University of Pittsburgh, Pittsburgh, Pennsylvania, USA.

Department of Biomedical Informatics, University of Pittsburgh, Pittsburgh, Pennsylvania, USA.

出版信息

JAMIA Open. 2020 Dec 31;3(4):602-610. doi: 10.1093/jamiaopen/ooaa058. eCollection 2020 Dec.

DOI:10.1093/jamiaopen/ooaa058
PMID:33623894
原文链接:https://pmc.ncbi.nlm.nih.gov/articles/PMC7886572/
Abstract

OBJECTIVE

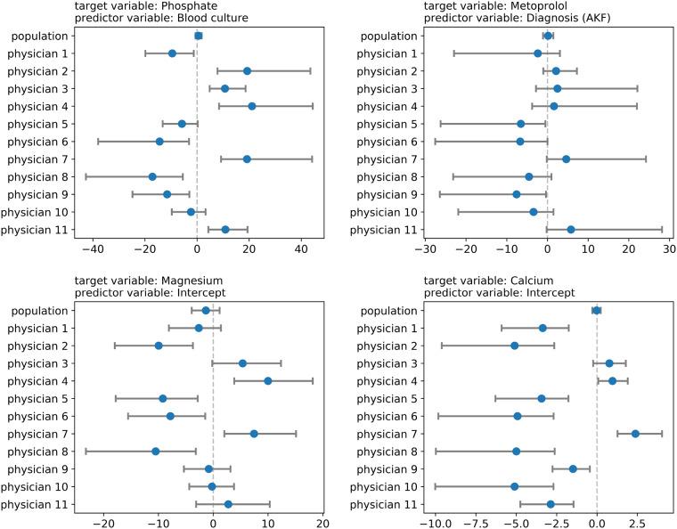
Patient information can be retrieved more efficiently in electronic medical record (EMR) systems by using machine learning models that predict which information a physician will seek in a clinical context. However, information-seeking behavior varies across EMR users. To explicitly account for this variability, we derived hierarchical models and compared their performance to nonhierarchical models in identifying relevant patient information in intensive care unit (ICU) cases.

MATERIALS AND METHODS

Critical care physicians reviewed ICU patient cases and selected data items relevant for presenting at morning rounds. Using patient EMR data as predictors, we derived hierarchical logistic regression (HLR) and standard logistic regression (LR) models to predict their relevance.

RESULTS

In 73 pairs of HLR and LR models, the HLR models achieved an area under the receiver operating characteristic curve of 0.81, 95% confidence interval (CI) [0.80-0.82], which was statistically significantly higher than that of LR models (0.75, 95% CI [0.74-0.76]). Further, the HLR models achieved statistically significantly lower expected calibration error (0.07, 95% CI [0.06-0.08]) than LR models (0.16, 95% CI [0.14-0.17]).

DISCUSSION

The physician reviewers demonstrated variability in selecting relevant data. Our results show that HLR models perform significantly better than LR models with respect to both discrimination and calibration. This is likely due to explicitly modeling physician-related variability.

CONCLUSION

Hierarchical models can yield better performance when there is physician-related variability as in the case of identifying relevant information in the EMR.

摘要

目的

通过使用机器学习模型预测医生在临床环境中会查找哪些信息,可在电子病历(EMR)系统中更高效地检索患者信息。然而,不同EMR用户的信息查找行为存在差异。为了明确考虑这种变异性,我们推导了分层模型,并将其在识别重症监护病房(ICU)病例中相关患者信息方面的性能与非分层模型进行了比较。

材料与方法

重症监护医生查看了ICU患者病例,并选择了与晨间查房相关的数据项。以患者EMR数据作为预测因子,我们推导了分层逻辑回归(HLR)和标准逻辑回归(LR)模型来预测其相关性。

结果

在73对HLR和LR模型中,HLR模型的受试者工作特征曲线下面积为0.81,95%置信区间(CI)[0.80 - 0.82],在统计学上显著高于LR模型(0.75,95% CI [0.74 - 0.76])。此外,HLR模型的预期校准误差(0.07,95% CI [0.06 - 0.08])在统计学上显著低于LR模型(0.16,95% CI [0.14 - 0.17])。

讨论

医生评审人员在选择相关数据时表现出变异性。我们的结果表明,HLR模型在区分度和校准方面均显著优于LR模型。这可能是由于对与医生相关的变异性进行了明确建模。

结论

当存在与医生相关的变异性时,如在EMR中识别相关信息的情况,分层模型可以产生更好的性能。

https://cdn.ncbi.nlm.nih.gov/pmc/blobs/9ec6/7886572/19178819410d/ooaa058f5.jpg
https://cdn.ncbi.nlm.nih.gov/pmc/blobs/9ec6/7886572/7b10c6cc23f0/ooaa058f1.jpg
https://cdn.ncbi.nlm.nih.gov/pmc/blobs/9ec6/7886572/1f49be4efcef/ooaa058f2.jpg
https://cdn.ncbi.nlm.nih.gov/pmc/blobs/9ec6/7886572/c13ed7a23205/ooaa058f3.jpg
https://cdn.ncbi.nlm.nih.gov/pmc/blobs/9ec6/7886572/581e93ce3b1f/ooaa058f4.jpg
https://cdn.ncbi.nlm.nih.gov/pmc/blobs/9ec6/7886572/19178819410d/ooaa058f5.jpg
https://cdn.ncbi.nlm.nih.gov/pmc/blobs/9ec6/7886572/7b10c6cc23f0/ooaa058f1.jpg
https://cdn.ncbi.nlm.nih.gov/pmc/blobs/9ec6/7886572/1f49be4efcef/ooaa058f2.jpg
https://cdn.ncbi.nlm.nih.gov/pmc/blobs/9ec6/7886572/c13ed7a23205/ooaa058f3.jpg
https://cdn.ncbi.nlm.nih.gov/pmc/blobs/9ec6/7886572/581e93ce3b1f/ooaa058f4.jpg
https://cdn.ncbi.nlm.nih.gov/pmc/blobs/9ec6/7886572/19178819410d/ooaa058f5.jpg

相似文献

1
Modeling physician variability to prioritize relevant medical record information.对医生的变异性进行建模,以确定相关病历信息的优先级。
JAMIA Open. 2020 Dec 31;3(4):602-610. doi: 10.1093/jamiaopen/ooaa058. eCollection 2020 Dec.
2
Leveraging Eye Tracking to Prioritize Relevant Medical Record Data: Comparative Machine Learning Study.利用眼动追踪技术对相关病历数据进行优先级排序:比较机器学习研究
J Med Internet Res. 2020 Apr 2;22(4):e15876. doi: 10.2196/15876.
3
Using machine learning to selectively highlight patient information.使用机器学习有选择地突出显示患者信息。
J Biomed Inform. 2019 Dec;100:103327. doi: 10.1016/j.jbi.2019.103327. Epub 2019 Oct 29.
4
Electronic Medical Record-Based Machine Learning Approach to Predict the Risk of 30-Day Adverse Cardiac Events After Invasive Coronary Treatment: Machine Learning Model Development and Validation.基于电子病历的机器学习方法预测侵入性冠状动脉治疗后30天不良心脏事件风险:机器学习模型的开发与验证
JMIR Med Inform. 2022 May 11;10(5):e26801. doi: 10.2196/26801.
5
Comparison of Machine Learning Methods With Traditional Models for Use of Administrative Claims With Electronic Medical Records to Predict Heart Failure Outcomes.利用电子病历中的行政索赔数据进行机器学习方法与传统模型预测心力衰竭结局的比较。
JAMA Netw Open. 2020 Jan 3;3(1):e1918962. doi: 10.1001/jamanetworkopen.2019.18962.
6
Development and Preliminary Evaluation of a Prototype of a Learning Electronic Medical Record System.学习型电子病历系统原型的开发与初步评估
AMIA Annu Symp Proc. 2015 Nov 5;2015:1967-75. eCollection 2015.
7
Graphical Presentations of Clinical Data in a Learning Electronic Medical Record.临床数据在学习型电子病历中的图形化展示。
Appl Clin Inform. 2020 Aug;11(4):680-691. doi: 10.1055/s-0040-1709707. Epub 2020 Oct 14.
8
A Machine Learning-Based Algorithm for the Prediction of Intensive Care Unit Delirium (PRIDE): Retrospective Study.一种基于机器学习的重症监护病房谵妄预测算法(PRIDE):回顾性研究
JMIR Med Inform. 2021 Jul 26;9(7):e23401. doi: 10.2196/23401.
9
Machine Learning Did Not Outperform Conventional Competing Risk Modeling to Predict Revision Arthroplasty.在预测翻修关节成形术方面,机器学习的表现并未优于传统的竞争风险模型。
Clin Orthop Relat Res. 2024 Aug 1;482(8):1472-1482. doi: 10.1097/CORR.0000000000003018. Epub 2024 Mar 12.
10
Using machine learning methods to predict in-hospital mortality of sepsis patients in the ICU.使用机器学习方法预测 ICU 中脓毒症患者的院内死亡率。
BMC Med Inform Decis Mak. 2020 Oct 2;20(1):251. doi: 10.1186/s12911-020-01271-2.

引用本文的文献

1
Maternal Preconception Body Mass Index Overtakes Age as a Risk Factor for Gestational Diabetes Mellitus.孕前母体体重指数超过年龄成为妊娠期糖尿病的一个风险因素。
J Clin Med. 2023 Apr 12;12(8):2830. doi: 10.3390/jcm12082830.
2
A highly predictive cardiac positron emission tomography (PET) risk score for 90-day and one-year major adverse cardiac events and revascularization.用于预测 90 天和一年主要不良心脏事件和血运重建的高预测性心脏正电子发射断层扫描(PET)风险评分。
J Nucl Cardiol. 2023 Feb;30(1):46-58. doi: 10.1007/s12350-022-03028-y. Epub 2022 Dec 19.
3
Application of Machine Learning to Improve Appropriateness of Treatment in an Orthopaedic Setting of Personalized Medicine.

本文引用的文献

1
Critical care information display approaches and design frameworks: A systematic review and meta-analysis.重症监护信息显示方法与设计框架:一项系统综述与荟萃分析。
J Biomed Inform. 2019;100S:100041. doi: 10.1016/j.yjbinx.2019.100041. Epub 2019 Jun 22.
2
Assessment of Electronic Health Record Search Patterns and Practices by Practitioners in a Large Integrated Health Care System.大型综合医疗保健系统中从业者的电子健康记录搜索模式和实践评估。
JAMA Netw Open. 2020 Mar 2;3(3):e200512. doi: 10.1001/jamanetworkopen.2020.0512.
3
Association of Health Record Visualizations With Physicians' Cognitive Load When Prioritizing Hospitalized Patients.
机器学习在骨科个性化医疗环境中应用以提高治疗适宜性
J Pers Med. 2022 Oct 12;12(10):1706. doi: 10.3390/jpm12101706.
4
Evaluation of eye tracking for a decision support application.用于决策支持应用的眼动追踪评估。
JAMIA Open. 2021 Aug 2;4(3):ooab059. doi: 10.1093/jamiaopen/ooab059. eCollection 2021 Jul.
健康记录可视化对住院患者优先级排序时与医生认知负荷的关系。
JAMA Netw Open. 2020 Jan 3;3(1):e1919301. doi: 10.1001/jamanetworkopen.2019.19301.
4
Using machine learning to selectively highlight patient information.使用机器学习有选择地突出显示患者信息。
J Biomed Inform. 2019 Dec;100:103327. doi: 10.1016/j.jbi.2019.103327. Epub 2019 Oct 29.
5
What's behind the white coat: Potential mechanisms of physician-attributable variation in critical care.白大衣背后的原因:重症监护中医生归因差异的潜在机制。
PLoS One. 2019 May 16;14(5):e0216418. doi: 10.1371/journal.pone.0216418. eCollection 2019.
6
Association of the Usability of Electronic Health Records With Cognitive Workload and Performance Levels Among Physicians.电子病历的可用性与医生认知工作量和绩效水平的关联。
JAMA Netw Open. 2019 Apr 5;2(4):e191709. doi: 10.1001/jamanetworkopen.2019.1709.
7
Using Machine Learning to Predict the Information Seeking Behavior of Clinicians Using an Electronic Medical Record System.利用机器学习通过电子病历系统预测临床医生的信息搜索行为。
AMIA Annu Symp Proc. 2018 Dec 5;2018:673-682. eCollection 2018.
8
Health IT Usability Focus Section: Data Use and Navigation Patterns among Medical ICU Clinicians during Electronic Chart Review.健康信息技术可用性聚焦板块:电子病历审查期间医疗重症监护室临床医生的数据使用与导航模式
Appl Clin Inform. 2017 Oct;8(4):1117-1126. doi: 10.4338/ACI-2017-06-RA-0110. Epub 2017 Dec 14.
9
Multilevel Comparisons of Hospital Discharge among Older Adults with a Fall-Related Hospitalization.老年人跌倒相关性住院患者出院的多水平比较。
Health Serv Res. 2018 Aug;53(4):2227-2248. doi: 10.1111/1475-6773.12763. Epub 2017 Aug 31.
10
Eye-tracking for clinical decision support: A method to capture automatically what physicians are viewing in the EMR.用于临床决策支持的眼动追踪:一种自动捕捉医生在电子病历中所查看内容的方法。
AMIA Jt Summits Transl Sci Proc. 2017 Jul 26;2017:512-521. eCollection 2017.