Suppr超能文献

神经系统、精神和疼痛障碍中的中枢敏化:一项多中心病例对照研究。

Central Sensitization in Neurological, Psychiatric, and Pain Disorders: A Multicenter Case-Controlled Study.

机构信息

Department of Neurology, Dokkyo Medical University, Mibu, Japan.

Department of Public Health, Dokkyo Medical University School of Medicine, Mibu, Japan.

出版信息

Pain Res Manag. 2021 Feb 15;2021:6656917. doi: 10.1155/2021/6656917. eCollection 2021.

Abstract

BACKGROUND

The role of central sensitization in refractory pain-related diseases has not yet been clarified.

METHODS

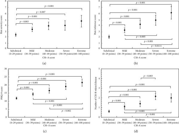
We performed a multicenter case-controlled study including 551 patients with various neurological, psychological, and pain disorders and 5,188 healthy controls to investigate the impact of central sensitization in these patients. Symptoms related to central sensitization syndrome (CSS) were assessed by the Central Sensitization Inventory (CSI) parts A and B. Patients were categorized into 5 groups based on CSI-A scores from subclinical to extreme. The Brief Pain Inventory (BPI), addressing pain severity and pain interference with daily activities, and the Patient Health Questionnaire (PHQ)-9, assessing depressive symptoms, were also administered.

RESULTS

CSI-A scores and CSI-B disease numbers were significantly greater in patients than in controls ( < 0.001). Medium effect sizes ( = 0.37) for CSI-A scores and large effect sizes ( = 0.64) for CSI-B disease numbers were found between patients and control groups. Compared with the CSI-A subclinical group, the CSI-A mild, moderate, severe, and extreme groups had significantly higher BPI pain interference and severity scores, PHQ-9 scores, and CSS-related disease numbers based on ANCOVA. Greater CSI-B numbers resulted in higher CSI-A scores ( < 0.001) and a higher odds ratio ( for trend <0.001). CSS-related symptoms were associated with pain severity, pain interference with daily activities, and depressive symptoms in various pain-related diseases.

CONCLUSIONS

Our findings suggest that CSS may participate in these conditions as common pathophysiology.

摘要

背景

中枢敏化在难治性疼痛相关疾病中的作用尚不清楚。

方法

我们进行了一项多中心病例对照研究,纳入了 551 名患有各种神经、心理和疼痛障碍的患者和 5188 名健康对照者,以研究中枢敏化在这些患者中的影响。通过中枢敏化量表(CSI)的 A 部分和 B 部分评估与中枢敏化综合征(CSS)相关的症状。根据 CSI-A 评分,将患者分为亚临床至极度 5 组。还使用简明疼痛量表(BPI)评估疼痛严重程度和疼痛对日常活动的干扰,使用患者健康问卷(PHQ-9)评估抑郁症状。

结果

患者的 CSI-A 评分和 CSI-B 疾病数量显著高于对照组(<0.001)。CSI-A 评分的中等效应量( = 0.37)和 CSI-B 疾病数量的较大效应量( = 0.64)存在于患者和对照组之间。与 CSI-A 亚临床组相比,CSI-A 轻度、中度、重度和极度组的 BPI 疼痛干扰和严重程度评分、PHQ-9 评分以及基于协方差分析的 CSS 相关疾病数量显著更高。CSI-B 数量的增加导致 CSI-A 评分的增加(<0.001)和优势比(趋势<0.001)的增加。CSS 相关症状与各种疼痛相关疾病的疼痛严重程度、疼痛对日常活动的干扰和抑郁症状相关。

结论

我们的研究结果表明,CSS 可能作为共同的病理生理学参与这些疾病。

https://cdn.ncbi.nlm.nih.gov/pmc/blobs/d600/7902126/4bc0cb7c93cc/PRM2021-6656917.001.jpg

文献检索

告别复杂PubMed语法,用中文像聊天一样搜索,搜遍4000万医学文献。AI智能推荐,让科研检索更轻松。

立即免费搜索

文件翻译

保留排版,准确专业,支持PDF/Word/PPT等文件格式,支持 12+语言互译。

免费翻译文档

深度研究

AI帮你快速写综述,25分钟生成高质量综述,智能提取关键信息,辅助科研写作。

立即免费体验