Suppr超能文献

通过封装在玉米醇溶蛋白-磷脂酰胆碱混合纳米颗粒中增强吲哚菁绿的稳定性,用于癌症光疗。

Enhanced Stability of Indocyanine Green by Encapsulation in Zein-Phosphatidylcholine Hybrid Nanoparticles for Use in the Phototherapy of Cancer.

作者信息

Lee Eun-Hye, Lee Mi-Kyung, Lim Soo-Jeong

机构信息

Department of Integrated Bioscience and Biotechnology, Sejong University, Seoul 05006, Korea.

Department of Pharmaceutical Sciences, Woosuk University, Jeollabuk-do 55338, Korea.

出版信息

Pharmaceutics. 2021 Feb 26;13(3):305. doi: 10.3390/pharmaceutics13030305.

Abstract

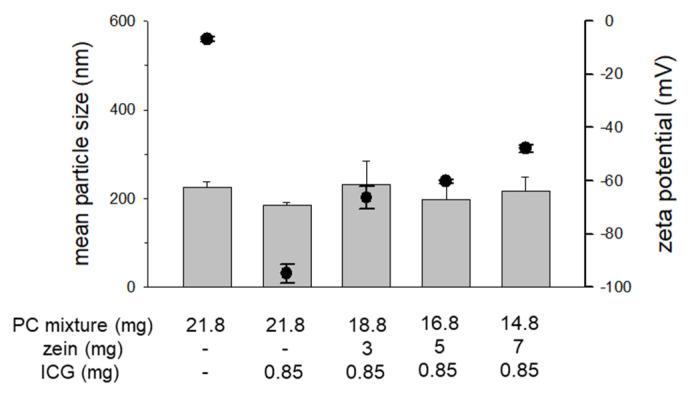
Indocyanine green (ICG) is a clinically approved near-infrared dye that has shown promise as a photosensitizer for the phototherapy of cancer. However, its chemical instability in an aqueous solution has limited its clinical application. Encapsulating ICG in liposomes, phosphatidylcholine nanoparticles (PC-NP), has shown partial effectiveness in stabilizing it. Prompted by our recent finding that the zein-phosphatidylcholine hybrid nanoparticles (Z/PC-NP) provide an advanced drug carrier compared to PC-NP, we herein investigated the potential of Z/PC-NP as an improved ICG formulation. Dynamic light scattering analysis, transmission electron microscopy, and Fourier-transform infrared spectroscopy studies showed that ICG was encapsulated in Z/PC-NP without hampering the high colloidal stability of the Z/PC-NP. During storage, the Z/PC-NP almost completely inhibited the ICG aggregation, whereas the PC-NP did so partially. The Z/PC-NP also more effectively blocked the ICG degradation compared to the PC-NP. The phototoxicity of ICG encapsulated in Z/PC-NP on cancer cells was twofold higher than that in the PC-NP. The ICG encapsulated in Z/PC-NP, but not in PC-NP, maintained its photocytotoxicity after four-day storage. These findings highlight the promising potential of Z/PC-NP as an ICG formulation that provides a higher stabilization effect than PC-NP.

摘要

吲哚菁绿(ICG)是一种临床批准的近红外染料,已显示出作为癌症光动力疗法光敏剂的潜力。然而,其在水溶液中的化学不稳定性限制了其临床应用。将ICG包裹在脂质体、磷脂酰胆碱纳米颗粒(PC-NP)中,已显示出一定的稳定效果。基于我们最近的发现,即玉米醇溶蛋白-磷脂酰胆碱杂化纳米颗粒(Z/PC-NP)与PC-NP相比是一种更先进的药物载体,我们在此研究了Z/PC-NP作为改进的ICG制剂的潜力。动态光散射分析、透射电子显微镜和傅里叶变换红外光谱研究表明,ICG被包裹在Z/PC-NP中,而不影响Z/PC-NP的高胶体稳定性。在储存过程中,Z/PC-NP几乎完全抑制了ICG的聚集,而PC-NP只是部分抑制。与PC-NP相比,Z/PC-NP还更有效地阻止了ICG的降解。包裹在Z/PC-NP中的ICG对癌细胞的光毒性比包裹在PC-NP中的高两倍。包裹在Z/PC-NP而非PC-NP中的ICG在储存四天后仍保持其光细胞毒性。这些发现突出了Z/PC-NP作为一种ICG制剂的潜在前景,它比PC-NP具有更高的稳定效果。

https://cdn.ncbi.nlm.nih.gov/pmc/blobs/5e05/7996753/3a53d2b7696f/pharmaceutics-13-00305-g001.jpg

文献检索

告别复杂PubMed语法,用中文像聊天一样搜索,搜遍4000万医学文献。AI智能推荐,让科研检索更轻松。

立即免费搜索

文件翻译

保留排版,准确专业,支持PDF/Word/PPT等文件格式,支持 12+语言互译。

免费翻译文档

深度研究

AI帮你快速写综述,25分钟生成高质量综述,智能提取关键信息,辅助科研写作。

立即免费体验