Suppr超能文献

三种新型联菲衍生物及一种来自[具体来源未给出]的新苯丙素酯及其α-葡萄糖苷酶抑制活性

Three Novel Biphenanthrene Derivatives and a New Phenylpropanoid Ester from and Their -Glucosidase Inhibitory Activity.

作者信息

Thant May Thazin, Sritularak Boonchoo, Chatsumpun Nutputsorn, Mekboonsonglarp Wanwimon, Punpreuk Yanyong, Likhitwitayawuid Kittisak

机构信息

Department of Pharmacognosy and Pharmaceutical Botany, Faculty of Pharmaceutical Sciences, Chulalongkorn University, Bangkok 10330, Thailand.

Department of Pharmacognosy, University of Pharmacy, Yangon 11031, Myanmar.

出版信息

Plants (Basel). 2021 Feb 17;10(2):385. doi: 10.3390/plants10020385.

Abstract

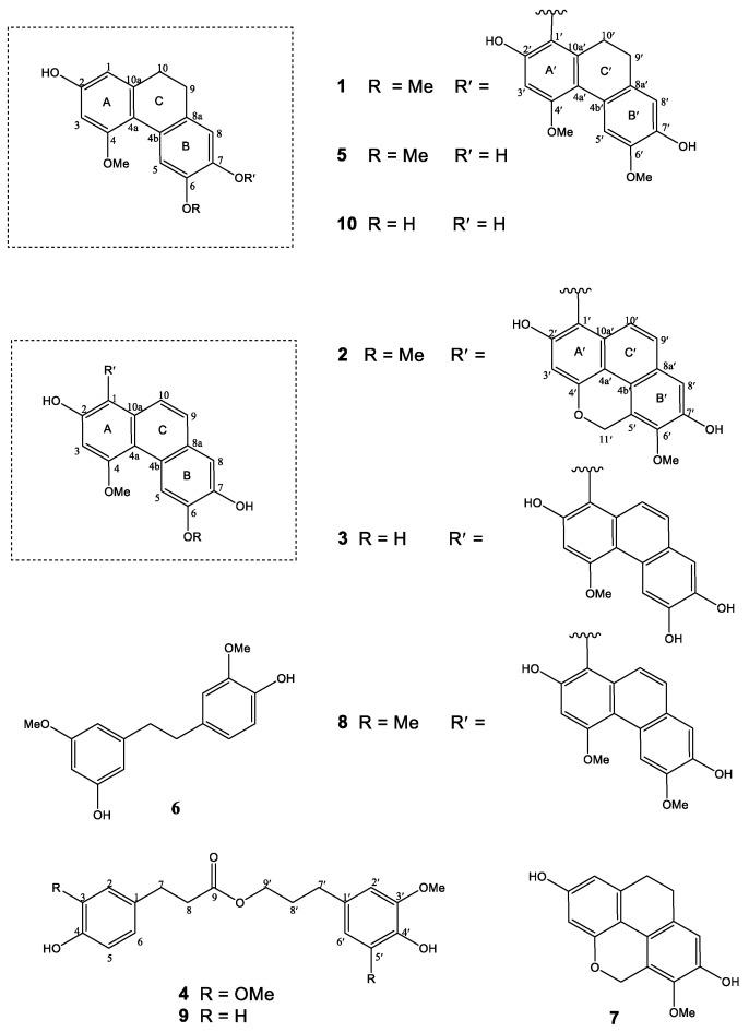
A phytochemical investigation on the whole plants of revealed the presence of three new biphenanthrene derivatives named aerimultins A-C (-) and a new natural phenylpropanoid ester dihydrosinapyl dihydroferulate (), together with six known compounds (-). The structures of the new compounds were elucidated by analysis of their spectroscopic data. All of the isolates were evaluated for their -glucosidase inhibitory activity. Aerimultin C () showed the most potent activity. The other compounds, except for compound , also exhibited stronger activity than the positive control acarbose. Compound showed non-competitive inhibition of the enzyme as determined from a Lineweaver-Burk plot. This study is the first phytochemical and biological investigation of .

摘要

对[植物名称未给出]全株的植物化学研究表明,存在三种新的联菲衍生物,命名为艾瑞多菌素A - C(-)以及一种新的天然苯丙素酯二氢芥子酰二氢阿魏酸酯(),还有六种已知化合物(-)。通过对其光谱数据的分析阐明了新化合物的结构。对所有分离物进行了α - 葡萄糖苷酶抑制活性评估。艾瑞多菌素C()表现出最强的活性。除化合物外,其他化合物也表现出比阳性对照阿卡波糖更强的活性。根据Lineweaver - Burk图确定,化合物对该酶表现出非竞争性抑制作用。本研究是对[植物名称未给出]的首次植物化学和生物学研究。

https://cdn.ncbi.nlm.nih.gov/pmc/blobs/97e3/7922108/89c81f271d11/plants-10-00385-g001.jpg

文献AI研究员

20分钟写一篇综述,助力文献阅读效率提升50倍。

立即体验

用中文搜PubMed

大模型驱动的PubMed中文搜索引擎

马上搜索

文档翻译

学术文献翻译模型,支持多种主流文档格式。

立即体验