Deng Biao, Yang Dapeng, Wang Guodong, Hou Ziyong, Yi Hongliang
The State Key Laboratory of Rolling and Automation, Northeastern University, Shenyang 110819, China.
Department of Materials Science and Engineering, KTH Royal Institute of Technology, SE-100 44 Stockholm, Sweden.
Materials (Basel). 2021 Feb 20;14(4):1000. doi: 10.3390/ma14041000.
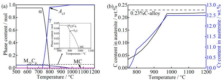
Austenitizing temperature is one decisive factor for the mechanical properties of medium carbon martensitic stainless steels (MCMSSs). In the present work, the effects of austenitizing temperature (1000, 1020, 1040 and 1060 °C) on the microstructure and mechanical properties of MCMSSs containing metastable retained austenite (RA) were investigated by means of electron microscopy, X-ray diffraction (XRD), as well as tensile and impact toughness tests. Results suggest that the microstructure including an area fraction of undissolved MC, carbon and chromium content in matrix, prior austenite grain size (PAGS), fraction and composition of RA in studied MCMSSs varies with employed austenitizing temperature. By optimizing austenitizing temperature (1060 °C for 40 min) and tempering (250 °C for 30 min) heat treatments, the MCMSS demonstrates excellent mechanical properties with the ultimate tensile strength of 1740 ± 8 MPa, a yield strength of 1237 ± 19 MPa, total elongation (ductility) of 10.3 ± 0.7% and impact toughness of 94.6 ± 8.0 Jcm at room temperature. The increased ductility of alloys is mainly attributed to the RA with a suitable stability via a transformation-induced plasticity (TRIP) effect, and a matrix containing reduced carbon and chromium content. However, the impact toughness of MCMSSs largely depends on MC carbides.
奥氏体化温度是中碳马氏体不锈钢(MCMSSs)力学性能的一个决定性因素。在本研究中,通过电子显微镜、X射线衍射(XRD)以及拉伸和冲击韧性试验,研究了奥氏体化温度(1000、1020、1040和1060℃)对含有亚稳残余奥氏体(RA)的MCMSSs组织和力学性能的影响。结果表明,在所研究的MCMSSs中,包括未溶解MC的面积分数、基体中的碳和铬含量、原始奥氏体晶粒尺寸(PAGS)、RA的分数和成分在内的组织随奥氏体化温度的变化而变化。通过优化奥氏体化温度(1060℃保温40分钟)和回火(250℃保温30分钟)热处理,MCMSSs表现出优异的力学性能,室温下的抗拉强度为1740±8MPa,屈服强度为1237±19MPa,总伸长率(延伸率)为10.3±0.7%,冲击韧性为94.6±8.0J/cm。合金延伸率的提高主要归因于通过相变诱发塑性(TRIP)效应具有合适稳定性的RA以及碳和铬含量降低的基体。然而,MCMSSs的冲击韧性在很大程度上取决于MC碳化物。