Suppr超能文献

土地利用转型下的碳存储变化分析及减排建议——以中国河南省为例。

Carbon Storage Change Analysis and Emission Reduction Suggestions under Land Use Transition: A Case Study of Henan Province, China.

机构信息

School of Surveying and Land Information Engineering of Henan Polytechnic University, Jiaozuo 454000, China.

Research Centre of Arable Land Protection and Urban-Rural High-Quality Development of Yellow River Basin, Henan Polytechnic University, Jiaozuo 454000, China.

出版信息

Int J Environ Res Public Health. 2021 Feb 14;18(4):1844. doi: 10.3390/ijerph18041844.

Abstract

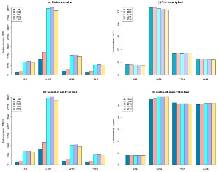
The significant spatial heterogeneity among river basin ecosystems makes it difficult for local governments to carry out comprehensive governance for different river basins in a special administrative region spanning multi-river basins. However, there are few studies on the construction of a comprehensive governance mechanism for multi-river basins at the provincial level. To fill this gap, this paper took Henan Province of China, which straddles four river basins, as the study region. The chord diagram, overlay analysis, and carbon emission models were applied to the remote sensing data of land use to analyze the temporal and spatial patterns of carbon storage caused by land-use changes in Henan Province from 1990 to 2018 to reflect the heterogeneity of the contribution of the four basins to human activities and economic development. The results revealed that food security land in the four basins decreased, while production and living land increased. Ecological conservation land was increased over time in the Yangtze River Basin. In addition, the conversion from food security land to production and living land was the common characteristic for the four basins. Carbon emission in Henan increased from 134.46 million tons in 1990 to 553.58 million tons in 2018, while its carbon absorption was relatively stable (1.67-1.69 million tons between 1990 and 2018). The carbon emitted in the Huai River Basin was the main contributor to Henan Province's total carbon emission. The carbon absorption in Yellow River Basin and Yangtze River Basin had an obvious spatial agglomeration effect. Finally, considering the current need of land spatial planning in China and the goal of carbon neutrality by 2060 set by the Chinese government, we suggested that carbon sequestration capacity should be further strengthened in Yellow River Basin and Yangtze River Basin based on their respective ecological resource advantages. For future development in Hai River Basin and Huai River Basin, coordinating the spatial allocation of urban scale and urban green space to build an ecological city is a key direction to embark upon.

摘要

流域生态系统的显著空间异质性使得跨流域的特别行政区的地方政府难以对不同流域进行全面治理。然而,对于省级多流域综合治理机制的构建研究较少。为了填补这一空白,本文以横跨四大流域的中国河南省为研究区域。利用土地利用遥感数据,采用和弦图、叠加分析和碳排放模型,分析了 1990 年至 2018 年河南省土地利用变化引起的碳储量的时空格局,反映了四大流域对人类活动和经济发展贡献的异质性。结果表明,四大流域的粮食安全土地减少,而生产生活用地增加。长江流域的生态保护用地随着时间的推移而增加。此外,粮食安全土地向生产生活用地的转化是四大流域的共同特征。1990 年至 2018 年,河南省碳排放量从 1.3446 亿吨增加到 5.5358 亿吨,而碳吸收量相对稳定(1990 年至 2018 年在 167 万至 169 万吨之间)。淮河流域的碳排放是河南省碳排放的主要贡献者。黄河流域和长江流域的碳吸收具有明显的空间集聚效应。最后,考虑到中国当前土地空间规划的需要和中国政府到 2060 年实现碳中和的目标,我们建议根据黄河流域和长江流域各自的生态资源优势,进一步加强碳汇能力。对于未来海河和淮河流域的发展,协调城市规模和城市绿地的空间配置,建设生态城市是一个关键方向。

https://cdn.ncbi.nlm.nih.gov/pmc/blobs/2959/7918624/92ed8bed49e8/ijerph-18-01844-g001.jpg

文献检索

告别复杂PubMed语法,用中文像聊天一样搜索,搜遍4000万医学文献。AI智能推荐,让科研检索更轻松。

立即免费搜索

文件翻译

保留排版,准确专业,支持PDF/Word/PPT等文件格式,支持 12+语言互译。

免费翻译文档

深度研究

AI帮你快速写综述,25分钟生成高质量综述,智能提取关键信息,辅助科研写作。

立即免费体验