Suppr超能文献

Ho、Tm:KLu(WO)纳米颗粒的尺寸和形状对其自评估光热性能的影响。

Effect of the Size and Shape of Ho, Tm:KLu(WO) Nanoparticles on Their Self-Assessed Photothermal Properties.

作者信息

Nexha Albenc, Pujol Maria Cinta, Carvajal Joan Josep, Díaz Francesc, Aguiló Magdalena

机构信息

Campus Sescelades, Física i Cristalografia de Materials i Nanomaterials (FiCMA-FiCNA)-EMaS, Departament de Química Física i Inorgànica, Universitat Rovira I Virgili, E-43007 Tarragona, Spain.

出版信息

Nanomaterials (Basel). 2021 Feb 14;11(2):485. doi: 10.3390/nano11020485.

Abstract

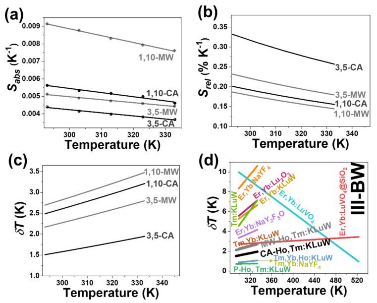
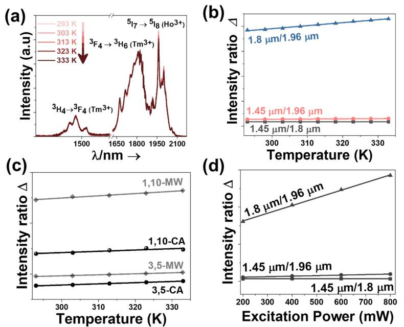
The incorporation of oleic acid and oleylamine, acting as organic surfactant coatings for a novel solvothermal synthesis procedure, resulted in the formation of monoclinic KLu(WO) nanocrystals. The formation of this crystalline phase was confirmed structurally from X-ray powder diffraction patterns and Raman vibrational modes, and thermally by differential thermal analysis. The transmission electron microscopy images confirm the nanodimensional size (~12 nm and ~16 nm for microwave-assisted and conventional autoclave solvothermal synthesis) of the particles and no agglomeration, contrary to the traditional modified sol-gel Pechini methodology. Upon doping with holmium (III) and thulium (III) lanthanide ions, these nanocrystals can generate simultaneously photoluminescence and heat, acting as nanothermometers and as photothermal agents in the third biological window, i.e., self-assessed photothermal agents, upon excitation with 808 nm near infrared, lying in the first biological window. The emissions of these nanocrystals, regardless of the solvothermal synthetic methodology applied to synthesize them, are located at 1.45 μm, 1.8 μm and 1.96 μm, attributed to the H → F and F → H electronic transition of Tm and I → I electronic transition of Ho, respectively. The self-assessing properties of these nanocrystals are studied as a function of their size and shape and compared to the ones prepared by the modified sol-gel Pechini methodology, revealing that the small nanocrystals obtained by the hydrothermal methods have the ability to generate heat more efficiently, but their capacity to sense temperature is not as good as that of the nanoparticles prepared by the modified sol-gel Pechnini method, revealing that the synthesis method influences the performance of these self-assessed photothermal agents. The self-assessing ability of these nanocrystals in the third biological window is proven via an ex-vivo experiment, achieving thermal knowledge and heat generation at a maximum penetration depth of 2 mm.

摘要

油酸和油胺作为新型溶剂热合成方法的有机表面活性剂涂层,参与反应后生成了单斜晶系的KLu(WO)纳米晶体。通过X射线粉末衍射图谱和拉曼振动模式对该晶相的形成进行了结构确认,并通过差示热分析进行了热学确认。透射电子显微镜图像证实了颗粒的纳米尺寸(微波辅助和传统高压釜溶剂热合成的颗粒尺寸分别约为12 nm和16 nm)且无团聚现象,这与传统的改性溶胶 - 凝胶Pechini方法不同。在用钬(III)和铥(III)镧系离子掺杂后,这些纳米晶体能够同时产生光致发光和热量,在第三个生物窗口中作为纳米温度计和光热剂,即在808 nm近红外光激发下(位于第一个生物窗口)作为自评估光热剂。这些纳米晶体的发射峰,无论采用何种溶剂热合成方法制备,均位于1.45μm、1.8μm和1.96μm处,分别归因于铥的H→F和F→H电子跃迁以及钬的I→I电子跃迁。研究了这些纳米晶体的自评估特性与其尺寸和形状的关系,并与通过改性溶胶 - 凝胶Pechini方法制备的纳米晶体进行了比较,结果表明通过水热法获得的小尺寸纳米晶体能够更有效地产生热量,但其温度传感能力不如通过改性溶胶 - 凝胶Pechini方法制备的纳米颗粒,这表明合成方法会影响这些自评估光热剂的性能。通过体外实验证明了这些纳米晶体在第三个生物窗口中的自评估能力,在最大穿透深度为2 mm时实现了热感知和热量产生。

https://cdn.ncbi.nlm.nih.gov/pmc/blobs/9db6/7918361/37c76919ffc4/nanomaterials-11-00485-g001.jpg

文献检索

告别复杂PubMed语法,用中文像聊天一样搜索,搜遍4000万医学文献。AI智能推荐,让科研检索更轻松。

立即免费搜索

文件翻译

保留排版,准确专业,支持PDF/Word/PPT等文件格式,支持 12+语言互译。

免费翻译文档

深度研究

AI帮你快速写综述,25分钟生成高质量综述,智能提取关键信息,辅助科研写作。

立即免费体验