• 文献检索
  • 文档翻译
  • 深度研究
  • 学术资讯
  • Suppr Zotero 插件Zotero 插件
  • 邀请有礼
  • 套餐&价格
  • 历史记录
应用&插件
Suppr Zotero 插件Zotero 插件浏览器插件Mac 客户端Windows 客户端微信小程序
定价
高级版会员购买积分包购买API积分包
服务
文献检索文档翻译深度研究API 文档MCP 服务
关于我们
关于 Suppr公司介绍联系我们用户协议隐私条款
关注我们

Suppr 超能文献

核心技术专利:CN118964589B侵权必究
粤ICP备2023148730 号-1Suppr @ 2026

文献检索

告别复杂PubMed语法,用中文像聊天一样搜索,搜遍4000万医学文献。AI智能推荐,让科研检索更轻松。

立即免费搜索

文件翻译

保留排版,准确专业,支持PDF/Word/PPT等文件格式,支持 12+语言互译。

免费翻译文档

深度研究

AI帮你快速写综述,25分钟生成高质量综述,智能提取关键信息,辅助科研写作。

立即免费体验

利用基于压印的微图案化技术的透明电磁屏蔽膜

Transparent Electromagnetic Shielding Film Utilizing Imprinting-Based Micro Patterning Technology.

作者信息

Choi Hyun-Seok, Suh Su-Jeong, Kim Sang-Woo, Kim Hyun-Joong, Park Ji-Won

机构信息

Advanced Materials Science and Engineering, SungKyunKwan University, Suwon-si, Gyeonggi-do 16419, Korea.

Clean Energy Research Center, Korea Institute of Science and Technology, Seoul 02792, Korea.

出版信息

Polymers (Basel). 2021 Feb 27;13(5):738. doi: 10.3390/polym13050738.

DOI:10.3390/polym13050738
PMID:33673576
原文链接:https://pmc.ncbi.nlm.nih.gov/articles/PMC7956853/
Abstract

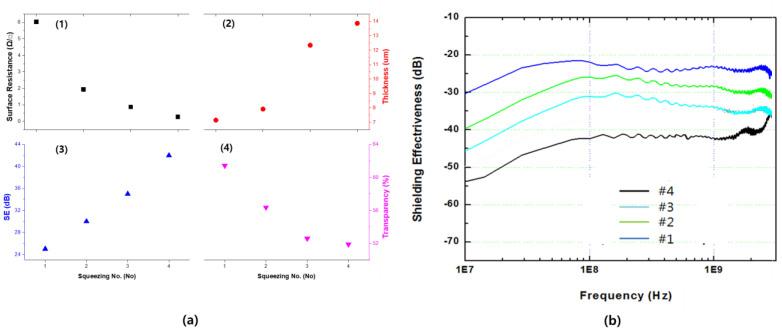
Utilization of methods involving component integration has accelerated, owing to the growth of the smart mobile industry. However, this integration leads to interference issues between the components, thereby elucidating the importance of the electromagnetic interference (EMI) shielding technology to solve such issues. EMI shielding technology has been previously implemented via the reflection or absorption of electromagnetic waves by using conductive materials. Nevertheless, to tackle the recent changes in the industry, a transparent and flexible EMI shielding technology is necessitated. In this study, a transparent and flexible EMI shielding material was fabricated by filling a conductive binder in a film comprising an intaglio pattern; this was achieved by using the ultraviolet (UV) imprinting technology to realize mass production. Subsequently, changes in the aperture ratio and shielding characteristics were analyzed according to the structure of the pattern. Based on this analysis, a square pattern was designed and a film with an intaglio pattern was developed through a UV imprinting process. Furthermore, it was confirmed that the transmittance, conductivity, and EMI shielding rate of the film were altered while changing the coating thickness of the conductive particles in the intaglio pattern. The final film prepared in this study exhibited characteristics that satisfied the required EMI shielding performance for electric and electronic applications, while achieving flexible structural stability and transparency.

摘要

由于智能移动行业的发展,涉及组件集成的方法的应用加速了。然而,这种集成会导致组件之间的干扰问题,从而阐明了电磁干扰(EMI)屏蔽技术解决此类问题的重要性。EMI屏蔽技术以前是通过使用导电材料对电磁波进行反射或吸收来实现的。然而,为了应对行业的最新变化,需要一种透明且灵活的EMI屏蔽技术。在本研究中,通过在包含凹版图案的薄膜中填充导电粘合剂来制造一种透明且灵活的EMI屏蔽材料;这是通过使用紫外线(UV)压印技术来实现大规模生产的。随后,根据图案的结构分析了孔径比和屏蔽特性的变化。基于此分析,设计了一种方形图案,并通过UV压印工艺开发了一种具有凹版图案的薄膜。此外,证实了在改变凹版图案中导电颗粒的涂层厚度时,薄膜的透光率、导电性和EMI屏蔽率会发生变化。本研究中制备的最终薄膜表现出满足电气和电子应用所需EMI屏蔽性能的特性,同时实现了灵活的结构稳定性和透明度。

https://cdn.ncbi.nlm.nih.gov/pmc/blobs/0de8/7956853/ba97fb7b13b7/polymers-13-00738-g008.jpg
https://cdn.ncbi.nlm.nih.gov/pmc/blobs/0de8/7956853/b1e3a3893b5e/polymers-13-00738-g001.jpg
https://cdn.ncbi.nlm.nih.gov/pmc/blobs/0de8/7956853/ad6ca6e9f2eb/polymers-13-00738-g002.jpg
https://cdn.ncbi.nlm.nih.gov/pmc/blobs/0de8/7956853/eb66abc7e1c3/polymers-13-00738-g003.jpg
https://cdn.ncbi.nlm.nih.gov/pmc/blobs/0de8/7956853/2592092cabf2/polymers-13-00738-g004.jpg
https://cdn.ncbi.nlm.nih.gov/pmc/blobs/0de8/7956853/4fce789c0c59/polymers-13-00738-g005.jpg
https://cdn.ncbi.nlm.nih.gov/pmc/blobs/0de8/7956853/574a365bb728/polymers-13-00738-g006.jpg
https://cdn.ncbi.nlm.nih.gov/pmc/blobs/0de8/7956853/11ad1ccf432f/polymers-13-00738-g007.jpg
https://cdn.ncbi.nlm.nih.gov/pmc/blobs/0de8/7956853/ba97fb7b13b7/polymers-13-00738-g008.jpg
https://cdn.ncbi.nlm.nih.gov/pmc/blobs/0de8/7956853/b1e3a3893b5e/polymers-13-00738-g001.jpg
https://cdn.ncbi.nlm.nih.gov/pmc/blobs/0de8/7956853/ad6ca6e9f2eb/polymers-13-00738-g002.jpg
https://cdn.ncbi.nlm.nih.gov/pmc/blobs/0de8/7956853/eb66abc7e1c3/polymers-13-00738-g003.jpg
https://cdn.ncbi.nlm.nih.gov/pmc/blobs/0de8/7956853/2592092cabf2/polymers-13-00738-g004.jpg
https://cdn.ncbi.nlm.nih.gov/pmc/blobs/0de8/7956853/4fce789c0c59/polymers-13-00738-g005.jpg
https://cdn.ncbi.nlm.nih.gov/pmc/blobs/0de8/7956853/574a365bb728/polymers-13-00738-g006.jpg
https://cdn.ncbi.nlm.nih.gov/pmc/blobs/0de8/7956853/11ad1ccf432f/polymers-13-00738-g007.jpg
https://cdn.ncbi.nlm.nih.gov/pmc/blobs/0de8/7956853/ba97fb7b13b7/polymers-13-00738-g008.jpg

相似文献

1
Transparent Electromagnetic Shielding Film Utilizing Imprinting-Based Micro Patterning Technology.利用基于压印的微图案化技术的透明电磁屏蔽膜
Polymers (Basel). 2021 Feb 27;13(5):738. doi: 10.3390/polym13050738.
2
Flexible and Transparent Ferroferric Oxide-Modified Silver Nanowire Film for Efficient Electromagnetic Interference Shielding.用于高效电磁干扰屏蔽的柔性透明氧化铁修饰银纳米线薄膜。
ACS Appl Mater Interfaces. 2020 Jan 15;12(2):2826-2834. doi: 10.1021/acsami.9b17513. Epub 2019 Dec 31.
3
Flexible, Transparent and Conductive Metal Mesh Films with Ultra-High FoM for Stretchable Heating and Electromagnetic Interference Shielding.具有超高品质因数的柔性、透明且导电的金属网膜,用于可拉伸加热和电磁干扰屏蔽。
Nanomicro Lett. 2024 Jan 22;16(1):92. doi: 10.1007/s40820-023-01295-z.
4
Highly Efficient and Reliable Transparent Electromagnetic Interference Shielding Film.高效可靠的透明电磁屏蔽膜。
ACS Appl Mater Interfaces. 2018 Apr 11;10(14):11941-11949. doi: 10.1021/acsami.8b00492. Epub 2018 Mar 28.
5
Flexible and transparent graphene/silver-nanowires composite film for high electromagnetic interference shielding effectiveness.用于高电磁干扰屏蔽效能的柔性透明石墨烯/银纳米线复合薄膜
Sci Bull (Beijing). 2019 Apr 30;64(8):540-546. doi: 10.1016/j.scib.2019.03.028. Epub 2019 Mar 28.
6
Flexible, Transparent, and Conductive TiCT MXene-Silver Nanowire Films with Smart Acoustic Sensitivity for High-Performance Electromagnetic Interference Shielding.具有智能声学敏感性的柔性、透明且导电的TiCT MXene-银纳米线薄膜用于高性能电磁干扰屏蔽
ACS Nano. 2020 Dec 22;14(12):16643-16653. doi: 10.1021/acsnano.0c01635. Epub 2020 Jun 1.
7
PET/Ag NW/PMMA transparent electromagnetic interference shielding films with high stability and flexibility.具有高稳定性和柔韧性的PET/银纳米线/聚甲基丙烯酸甲酯透明电磁干扰屏蔽薄膜
Nanoscale. 2021 May 6;13(17):8067-8076. doi: 10.1039/d1nr00977j.
8
Transparent and Flexible Electromagnetic Interference Shielding Film Using ITO Nanobranches by Internal Scattering.利用内部散射的ITO纳米分支制备的透明柔性电磁干扰屏蔽膜
ACS Appl Mater Interfaces. 2021 Dec 29;13(51):61413-61421. doi: 10.1021/acsami.1c17967. Epub 2021 Dec 15.
9
High-Performance and Reliable Silver Nanotube Networks for Efficient and Large-Scale Transparent Electromagnetic Interference Shielding.用于高效大规模透明电磁干扰屏蔽的高性能可靠银纳米管网络
ACS Appl Mater Interfaces. 2021 Apr 7;13(13):15525-15535. doi: 10.1021/acsami.1c00590. Epub 2021 Mar 26.
10
Gradient Structure Design of Flexible Waterborne Polyurethane Conductive Films for Ultraefficient Electromagnetic Shielding with Low Reflection Characteristic.具有低反射特性的超高电磁屏蔽效能的柔性水性聚氨酯导电薄膜的梯度结构设计。
ACS Appl Mater Interfaces. 2018 Jun 6;10(22):19143-19152. doi: 10.1021/acsami.8b05129. Epub 2018 May 24.

引用本文的文献

1
Nanofabrication of Bulk Diffraction Nanogratings via Direct Ultrashort-Pulse Laser Micro-Inscription in Elastomers and Heat-Shrinkable Polymers.通过在弹性体和热收缩聚合物中进行直接超短脉冲激光微刻写实现块状衍射纳米光栅的纳米制造。
Nanomaterials (Basel). 2023 Apr 12;13(8):1347. doi: 10.3390/nano13081347.
2
Low Cost Embedded Copper Mesh Based on Cracked Template for Highly Durability Transparent EMI Shielding Films.基于裂纹模板的低成本嵌入式铜网用于高耐久性透明电磁干扰屏蔽薄膜。
Materials (Basel). 2022 Feb 15;15(4):1449. doi: 10.3390/ma15041449.
3
Nanopatterned Polymer Molds Using Anodized Aluminum Templates for Anti-Reflective Coatings.

本文引用的文献

1
Thermal Conductivity and Electromagnetic Interference (EMI) Absorbing Properties of Composite Sheets Composed of Dry Processed Core-Shell Structured Fillers and Silicone Polymers.由干法处理的核壳结构填料与有机硅聚合物组成的复合片材的热导率和电磁干扰(EMI)吸收特性
Polymers (Basel). 2020 Oct 10;12(10):2318. doi: 10.3390/polym12102318.
2
Highly efficient and stable transparent electromagnetic interference shielding films based on silver nanowires.基于银纳米线的高效稳定透明电磁干扰屏蔽薄膜
Nanoscale. 2020 Jul 21;12(27):14589-14597. doi: 10.1039/d0nr03790g. Epub 2020 Jul 2.
3
Reduced Graphene Oxide Conformally Wrapped Silver Nanowire Networks for Flexible Transparent Heating and Electromagnetic Interference Shielding.
使用阳极氧化铝模板制备用于抗反射涂层的纳米图案聚合物模具。
Polymers (Basel). 2021 Sep 29;13(19):3333. doi: 10.3390/polym13193333.
用于柔性透明加热和电磁干扰屏蔽的还原氧化石墨烯共形包裹银纳米线网络
ACS Nano. 2020 Jul 28;14(7):8754-8765. doi: 10.1021/acsnano.0c03337. Epub 2020 Jun 19.
4
Ultralight, Flexible, and Biomimetic Nanocellulose/Silver Nanowire Aerogels for Electromagnetic Interference Shielding.超轻、柔韧、仿生机纳米纤维素/银纳米线气凝胶用于电磁干扰屏蔽。
ACS Nano. 2020 Mar 24;14(3):2927-2938. doi: 10.1021/acsnano.9b07452. Epub 2020 Mar 4.
5
Poly(dimethylsilylene)diacetylene-Guided ZIF-Based Heterostructures for Full Ku-Band Electromagnetic Wave Absorption.聚(二甲基硅撑)二乙炔导向的基于ZIF的异质结构用于全Ku波段电磁波吸收。
ACS Appl Mater Interfaces. 2019 May 15;11(19):17706-17713. doi: 10.1021/acsami.9b03944. Epub 2019 May 2.
6
Highly Transparent and Broadband Electromagnetic Interference Shielding Based on Ultrathin Doped Ag and Conducting Oxides Hybrid Film Structures.基于超薄掺杂 Ag 和导电氧化物混合薄膜结构的高透明宽带电磁屏蔽。
ACS Appl Mater Interfaces. 2019 Mar 27;11(12):11782-11791. doi: 10.1021/acsami.9b00716. Epub 2019 Mar 12.
7
Flexural Properties and Fracture Behavior of Nanoporous Alumina film by Three-Point Bending Test.通过三点弯曲试验研究纳米多孔氧化铝薄膜的弯曲性能和断裂行为
Micromachines (Basel). 2017 Jun 27;8(7):206. doi: 10.3390/mi8070206.
8
Two-dimensional materials for miniaturized energy storage devices: from individual devices to smart integrated systems.二维材料在小型化储能器件中的应用:从单个器件到智能集成系统。
Chem Soc Rev. 2018 Oct 1;47(19):7426-7451. doi: 10.1039/c8cs00561c.
9
Highly Efficient and Reliable Transparent Electromagnetic Interference Shielding Film.高效可靠的透明电磁屏蔽膜。
ACS Appl Mater Interfaces. 2018 Apr 11;10(14):11941-11949. doi: 10.1021/acsami.8b00492. Epub 2018 Mar 28.
10
Highly Stretchable and Transparent Electromagnetic Interference Shielding Film Based on Silver Nanowire Percolation Network for Wearable Electronics Applications.基于银纳米线渗流网络的高拉伸透明电磁屏蔽膜在可穿戴电子产品中的应用。
ACS Appl Mater Interfaces. 2017 Dec 27;9(51):44609-44616. doi: 10.1021/acsami.7b14626. Epub 2017 Dec 12.