Suppr超能文献

半胱氨酸蛋白酶类木瓜蛋白酶对于光合作用基因表达的调控和高光胁迫适应是必需的。

Papain-like cysteine proteases are required for the regulation of photosynthetic gene expression and acclimation to high light stress.

机构信息

School of Biosciences, University of Birmingham, Edgbaston, Birmingham, UK.

Centre for Plant Sciences, School of Biology, Faculty of Biological Sciences, University of Leeds, Leeds, UK.

出版信息

J Exp Bot. 2021 Apr 13;72(9):3441-3454. doi: 10.1093/jxb/erab101.

Abstract

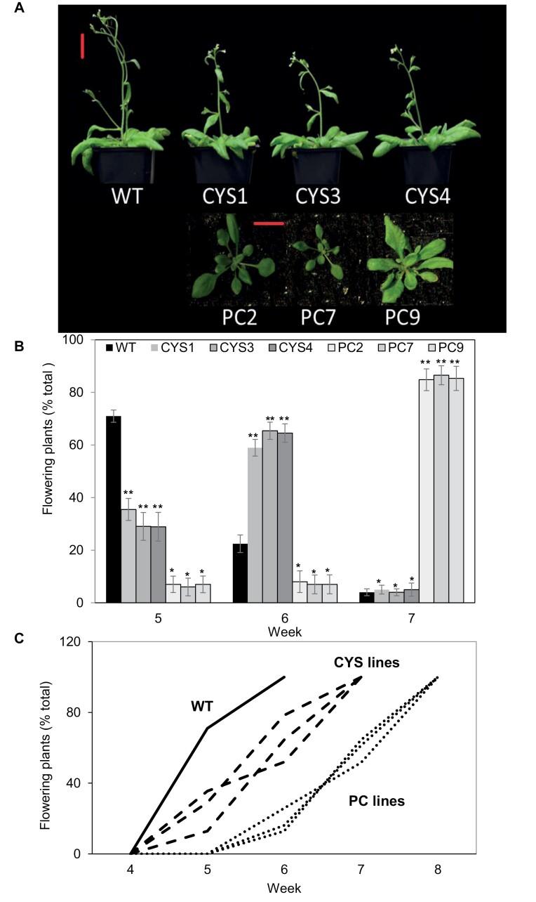
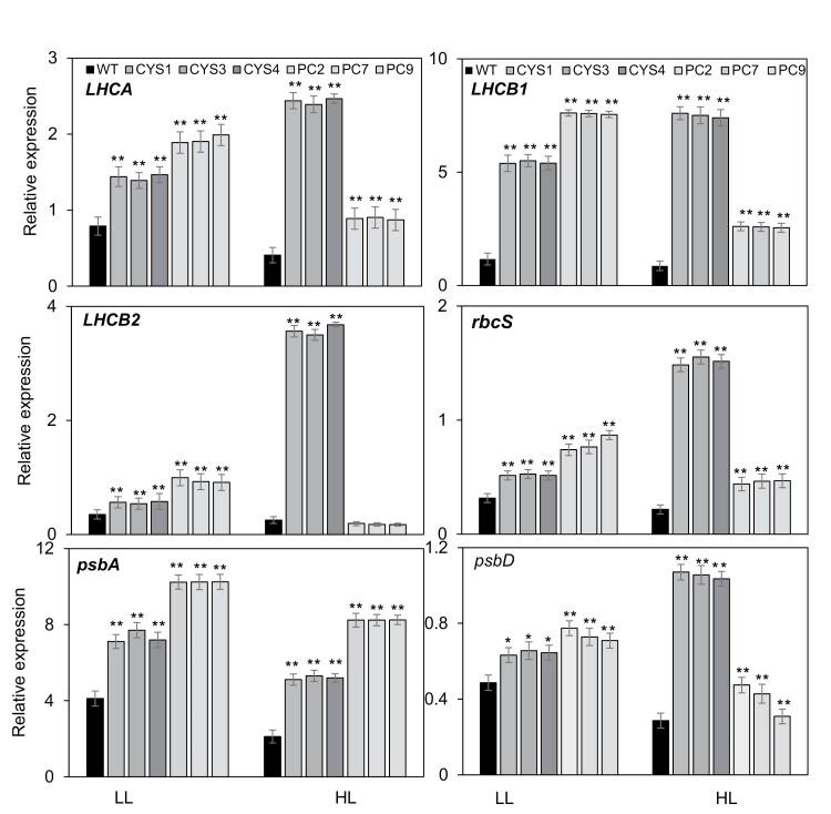
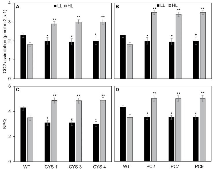
Chloroplasts are considered to be devoid of cysteine proteases. Using transgenic Arabidopsis lines expressing the rice cystatin, oryzacystatin I (OC-I), in the chloroplasts (PC lines) or cytosol (CYS lines), we explored the hypothesis that cysteine proteases regulate photosynthesis. The CYS and PC lines flowered later than the wild type (WT) and accumulated more biomass after flowering. In contrast to the PC rosettes, which accumulated more leaf chlorophyll and carotenoid pigments than the WT, the CYS lines had lower amounts of leaf pigments. High-light-dependent decreases in photosynthetic carbon assimilation and the abundance of the Rubisco large subunit protein, the D1 protein, and the phosphorylated form of D1 proteins were attenuated in the CYS lines and reversed in the PC lines relative to the WT. However, the transgenic lines had higher amounts of LHC, rbcs, pasbA, and pasbD transcripts than the WT, and also showed modified chloroplast to nucleus signalling. We conclude that cysteine proteases accelerate the reconfiguration of the chloroplast proteome after flowering and in response to high-light stress. Inhibition of cysteine proteases, such as AtCEP1, slows chloroplast protein degradation and stimulates photosynthetic gene expression and chloroplast to nucleus signalling, enhancing stress tolerance traits.

摘要

叶绿体被认为缺乏半胱氨酸蛋白酶。我们利用在叶绿体(PC 系)或细胞质(CYS 系)中表达水稻半胱氨酸蛋白酶抑制剂(oryzacystatin I,OC-I)的转基因拟南芥系,探索了半胱氨酸蛋白酶是否调节光合作用这一假说。与野生型(WT)相比,CYS 和 PC 系开花较晚,开花后积累更多生物量。与 WT 相比,PC 系的拟南芥莲座叶积累了更多的叶绿素和类胡萝卜素,但 CYS 系的叶片色素含量较低。与 WT 相比,CYS 系高光依赖性的光合作用碳同化减少,Rubisco 大亚基蛋白、D1 蛋白和 D1 蛋白磷酸化形式的丰度降低,而在 PC 系中则相反。然而,与 WT 相比,转基因系具有更高水平的 LHC、rbcs、pasbA 和 pasbD 转录本,并且还显示出改良的叶绿体到核信号转导。我们得出结论,半胱氨酸蛋白酶在开花后和高光胁迫下加速叶绿体蛋白质组的重配置。半胱氨酸蛋白酶的抑制,如 AtCEP1,会减缓叶绿体蛋白质的降解,并刺激光合作用基因的表达和叶绿体到核的信号转导,从而增强胁迫耐受性状。

https://cdn.ncbi.nlm.nih.gov/pmc/blobs/abcf/8256631/a46248451b22/erab101_fig1.jpg

文献检索

告别复杂PubMed语法,用中文像聊天一样搜索,搜遍4000万医学文献。AI智能推荐,让科研检索更轻松。

立即免费搜索

文件翻译

保留排版,准确专业,支持PDF/Word/PPT等文件格式,支持 12+语言互译。

免费翻译文档

深度研究

AI帮你快速写综述,25分钟生成高质量综述,智能提取关键信息,辅助科研写作。

立即免费体验