Suppr超能文献

足月新生羔羊肾上腺素剂量和冲洗量的随机试验。

Randomised trial of epinephrine dose and flush volume in term newborn lambs.

机构信息

Department of Pediatrics, University of California Davis, Sacramento, California, USA

Department of Pediatrics, University at Buffalo Jacobs School of Medicine and Biomedical Sciences, Buffalo, New York, USA.

出版信息

Arch Dis Child Fetal Neonatal Ed. 2021 Nov;106(6):578-583. doi: 10.1136/archdischild-2020-321034. Epub 2021 Mar 9.

Abstract

OBJECTIVES

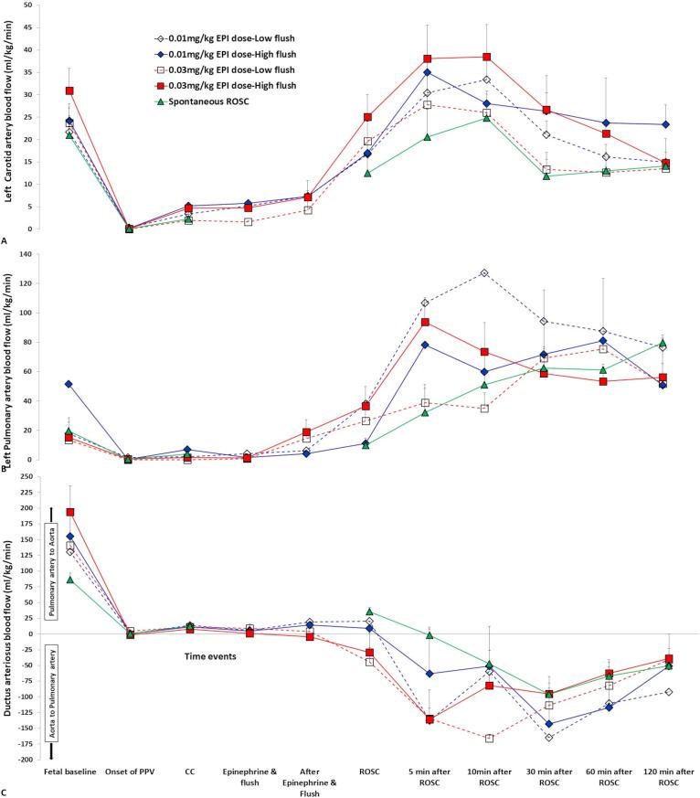
Neonatal resuscitation guidelines recommend 0.5-1 mL saline flush following 0.01-0.03 mg/kg of epinephrine via low umbilical venous catheter for persistent bradycardia despite effective positive pressure ventilation (PPV) and chest compressions (CC). We evaluated the effects of 1 mL vs 3 mL/kg flush volumes and 0.01 vs 0.03 mg/kg doses on return of spontaneous circulation (ROSC) and epinephrine pharmacokinetics in lambs with cardiac arrest.

DESIGN

Forty term lambs in cardiac arrest were randomised to receive 0.01 or 0.03 mg/kg epinephrine followed by 1 mL or 3 mL/kg flush after effective PPV and CC. Epinephrine (with 1 mL flush) was repeated every 3 min until ROSC or until 20 min. Haemodynamics, blood gases and plasma epinephrine concentrations were monitored.

RESULTS

Ten lambs had ROSC before epinephrine administration and 2 died during instrumentation. Among 28 lambs that received epinephrine, 2/6 in 0.01 mg/kg-1 mL flush, 3/6 in 0.01 mg/kg-3 mL/kg flush, 5/7 in 0.03 mg/kg-1 mL flush and 9/9 in 0.03 mg/kg-3 mL/kg flush achieved ROSC (p=0.02). ROSC was five times faster with 0.03 mg/kg epinephrine compared with 0.01 mg/kg (adjusted HR (95% CI) 5.08 (1.7 to 15.25)) and three times faster with 3 mL/kg flush compared with 1 mL flush (3.5 (1.27 to 9.71)). Plasma epinephrine concentrations were higher with 0.01 mg/kg-3 mL/kg flush (adjusted geometric mean ratio 6.0 (1.4 to 25.7)), 0.03 mg/kg-1 mL flush (11.3 (2.1 to 60.3)) and 0.03 mg/kg-3 mL/kg flush (11.0 (2.2 to 55.3)) compared with 0.01 mg/kg-1 mL flush.

CONCLUSIONS

0.03 mg/kg epinephrine dose with 3 mL/kg flush volume is associated with the highest ROSC rate, increases peak plasma epinephrine concentrations and hastens time to ROSC. Clinical trials evaluating optimal epinephrine dose and flush volume are warranted.

摘要

目的

新生儿复苏指南建议,在有效正压通气(PPV)和胸外按压(CC)后,对于持续心动过缓的新生儿,经低脐静脉导管给予 0.01-0.03mg/kg 肾上腺素后,给予 0.5-1mL 生理盐水冲洗。我们评估了 1mL 与 3mL/kg 冲洗量和 0.01 与 0.03mg/kg 剂量对患有心脏骤停的羔羊恢复自主循环(ROSC)和肾上腺素药代动力学的影响。

设计

40 只处于心脏骤停的足月羔羊随机接受 0.01 或 0.03mg/kg 肾上腺素,然后在有效 PPV 和 CC 后给予 1mL 或 3mL/kg 冲洗。用 1mL 冲洗液重复给予肾上腺素,直至 ROSC 或直至 20 分钟。监测血流动力学、血气和血浆肾上腺素浓度。

结果

在接受肾上腺素治疗之前,有 10 只羔羊出现 ROSC,2 只羔羊在仪器操作过程中死亡。在接受肾上腺素的 28 只羔羊中,0.01mg/kg-1mL 冲洗液组有 2/6 只,0.01mg/kg-3mL 冲洗液组有 3/6 只,0.03mg/kg-1mL 冲洗液组有 5/7 只,0.03mg/kg-3mL 冲洗液组有 9/9 只达到 ROSC(p=0.02)。与 0.01mg/kg 相比,0.03mg/kg 肾上腺素使 ROSC 快 5 倍(调整后的 HR(95%CI)为 5.08(1.7 至 15.25)),与 1mL 冲洗相比,3mL/kg 冲洗使 ROSC 快 3 倍(3.5(1.27 至 9.71))。与 0.01mg/kg-1mL 冲洗相比,0.01mg/kg-3mL 冲洗(调整后的几何均数比值为 6.0(1.4 至 25.7))、0.03mg/kg-1mL 冲洗(11.3(2.1 至 60.3))和 0.03mg/kg-3mL 冲洗(11.0(2.2 至 55.3))时,血浆肾上腺素浓度更高。

结论

0.03mg/kg 肾上腺素剂量与 3mL/kg 冲洗量相关,具有最高的 ROSC 率,增加了峰值血浆肾上腺素浓度,并加快了 ROSC 时间。需要进行评估最佳肾上腺素剂量和冲洗量的临床试验。

https://cdn.ncbi.nlm.nih.gov/pmc/blobs/2404/8543198/c8afc53640d0/archdischild-2020-321034f01.jpg

文献AI研究员

20分钟写一篇综述,助力文献阅读效率提升50倍。

立即体验

用中文搜PubMed

大模型驱动的PubMed中文搜索引擎

马上搜索

文档翻译

学术文献翻译模型,支持多种主流文档格式。

立即体验