• 文献检索
  • 文档翻译
  • 深度研究
  • 学术资讯
  • Suppr Zotero 插件Zotero 插件
  • 邀请有礼
  • 套餐&价格
  • 历史记录
应用&插件
Suppr Zotero 插件Zotero 插件浏览器插件Mac 客户端Windows 客户端微信小程序
定价
高级版会员购买积分包购买API积分包
服务
文献检索文档翻译深度研究API 文档MCP 服务
关于我们
关于 Suppr公司介绍联系我们用户协议隐私条款
关注我们

Suppr 超能文献

核心技术专利:CN118964589B侵权必究
粤ICP备2023148730 号-1Suppr @ 2026

文献检索

告别复杂PubMed语法,用中文像聊天一样搜索,搜遍4000万医学文献。AI智能推荐,让科研检索更轻松。

立即免费搜索

文件翻译

保留排版,准确专业,支持PDF/Word/PPT等文件格式,支持 12+语言互译。

免费翻译文档

深度研究

AI帮你快速写综述,25分钟生成高质量综述,智能提取关键信息,辅助科研写作。

立即免费体验

英国新冠病毒疫苗接种与保持社交距离相结合的潜在健康和经济价值:基于传播模型的未来情景分析与经济评估

The potential health and economic value of SARS-CoV-2 vaccination alongside physical distancing in the UK: a transmission model-based future scenario analysis and economic evaluation.

作者信息

Sandmann Frank G, Davies Nicholas G, Vassall Anna, Edmunds W John, Jit Mark

机构信息

Centre for Mathematical Modelling of Infectious Diseases, London School of Hygiene & Tropical Medicine, London, UK; Statistics, Modelling and Economics Department, National Infection Service, Public Health England, London, UK.

Centre for Mathematical Modelling of Infectious Diseases, London School of Hygiene & Tropical Medicine, London, UK.

出版信息

Lancet Infect Dis. 2021 Jul;21(7):962-974. doi: 10.1016/S1473-3099(21)00079-7. Epub 2021 Mar 18.

DOI:10.1016/S1473-3099(21)00079-7
PMID:33743846
原文链接:https://pmc.ncbi.nlm.nih.gov/articles/PMC7972313/
Abstract

BACKGROUND

In response to the COVID-19 pandemic, the UK first adopted physical distancing measures in March, 2020. Vaccines against SARS-CoV-2 became available in December, 2020. We explored the health and economic value of introducing SARS-CoV-2 immunisation alongside physical distancing in the UK to gain insights about possible future scenarios in a post-vaccination era.

METHODS

We used an age-structured dynamic transmission and economic model to explore different scenarios of UK mass immunisation programmes over 10 years. We compared vaccinating 75% of individuals aged 15 years or older (and annually revaccinating 50% of individuals aged 15-64 years and 75% of individuals aged 65 years or older) to no vaccination. We assumed either 50% vaccine efficacy against disease and 45-week protection (worst-case scenario) or 95% vaccine efficacy against infection and 3-year protection (best-case scenario). Natural immunity was assumed to wane within 45 weeks. We also explored the additional impact of physical distancing on vaccination by assuming either an initial lockdown followed by voluntary physical distancing, or an initial lockdown followed by increased physical distancing mandated above a certain threshold of incident daily infections. We considered benefits in terms of quality-adjusted life-years (QALYs) and costs, both to the health-care payer and the national economy. We discounted future costs and QALYs at 3·5% annually and assumed a monetary value per QALY of £20 000 and a conservative long-run cost per vaccine dose of £15. We explored and varied these parameters in sensitivity analyses. We expressed the health and economic benefits of each scenario with the net monetary value: QALYs × (monetary value per QALY) - costs.

FINDINGS

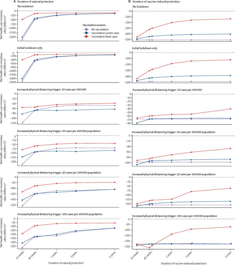
Without the initial lockdown, vaccination, and increased physical distancing, we estimated 148·0 million (95% uncertainty interval 48·5-198·8) COVID-19 cases and 3·1 million (0·84-4·5) deaths would occur in the UK over 10 years. In the best-case scenario, vaccination minimises community transmission without future periods of increased physical distancing, whereas SARS-CoV-2 becomes endemic with biannual epidemics in the worst-case scenario. Ongoing transmission is also expected in intermediate scenarios with vaccine efficacy similar to published clinical trial data. From a health-care perspective, introducing vaccination leads to incremental net monetary values ranging from £12·0 billion to £334·7 billion in the best-case scenario and from -£1·1 billion to £56·9 billion in the worst-case scenario. Incremental net monetary values of increased physical distancing might be negative from a societal perspective if national economy losses are persistent and large.

INTERPRETATION

Our model findings highlight the substantial health and economic value of introducing SARS-CoV-2 vaccination. Smaller outbreaks could continue even with vaccines, but population-wide implementation of increased physical distancing might no longer be justifiable. Our study provides early insights about possible future post-vaccination scenarios from an economic and epidemiological perspective.

FUNDING

National Institute for Health Research, European Commission, Bill & Melinda Gates Foundation.

摘要

背景

为应对新冠疫情,英国于2020年3月首次采取了物理距离措施。2020年12月,抗严重急性呼吸综合征冠状病毒2(SARS-CoV-2)疫苗开始可用。我们探讨了在英国将SARS-CoV-2免疫接种与物理距离措施相结合的健康和经济价值,以深入了解疫苗接种后时代可能出现的未来情况。

方法

我们使用了一个按年龄分层的动态传播和经济模型,来探索英国在10年内大规模免疫计划的不同情景。我们将为15岁及以上人群中的75%接种疫苗(并每年为15 - 64岁人群中的50%和65岁及以上人群中的75%再次接种疫苗)与不接种疫苗的情况进行了比较。我们假设疫苗对疾病的效力为50%且提供45周的保护(最坏情况),或对感染的效力为95%且提供3年的保护(最佳情况)。假定自然免疫力在45周内减弱。我们还通过假设两种情况来探讨物理距离措施对疫苗接种的额外影响,一种是最初实施封锁,随后是自愿保持物理距离,另一种是最初实施封锁,随后在每日新增感染病例达到一定阈值后强制实施更严格的物理距离措施。我们考虑了对医疗保健支付方和国民经济在质量调整生命年(QALYs)和成本方面的益处。我们按每年3.5%对未来成本和QALYs进行贴现,并假设每个QALY的货币价值为20000英镑,每剂疫苗的保守长期成本为15英镑。我们在敏感性分析中对这些参数进行了探索和变动。我们用净货币价值来表示每种情景的健康和经济效益:QALYs×(每个QALY的货币价值) - 成本。

结果

如果不采取最初的封锁、疫苗接种以及加强物理距离措施,我们估计在10年内英国将有1.480亿例(95%不确定区间为4850万 - 1.988亿例)新冠病例和310万例(84万 - 450万例)死亡。在最佳情况下,疫苗接种可将社区传播降至最低,且无需在未来进一步加强物理距离措施;而在最坏情况下,SARS-CoV-2将成为地方病,每半年出现一次疫情。在疫苗效力与已发表临床试验数据相似的中间情况下,预计仍会有持续传播。从医疗保健角度来看,在最佳情况下,引入疫苗接种带来的增量净货币价值在120亿英镑至3347亿英镑之间,在最坏情况下则在 - 11亿英镑至569亿英镑之间。如果国民经济损失持续且巨大,从社会角度来看,加强物理距离措施的增量净货币价值可能为负。

解读

我们的模型研究结果凸显了引入SARS-CoV-2疫苗接种的巨大健康和经济价值。即使有疫苗,小规模疫情仍可能继续,但在全国范围内实施更严格的物理距离措施可能不再合理。我们的研究从经济和流行病学角度对疫苗接种后可能出现的未来情况提供了早期见解。

资金来源

英国国家卫生研究院、欧盟委员会、比尔及梅琳达·盖茨基金会。

https://cdn.ncbi.nlm.nih.gov/pmc/blobs/4a73/8222006/a66b77666691/gr5.jpg
https://cdn.ncbi.nlm.nih.gov/pmc/blobs/4a73/8222006/fb15ddb27b28/gr1.jpg
https://cdn.ncbi.nlm.nih.gov/pmc/blobs/4a73/8222006/a296f32e2a49/gr2.jpg
https://cdn.ncbi.nlm.nih.gov/pmc/blobs/4a73/8222006/ef8bc7cc5fe1/gr3.jpg
https://cdn.ncbi.nlm.nih.gov/pmc/blobs/4a73/8222006/f6b5255dc067/gr4.jpg
https://cdn.ncbi.nlm.nih.gov/pmc/blobs/4a73/8222006/a66b77666691/gr5.jpg
https://cdn.ncbi.nlm.nih.gov/pmc/blobs/4a73/8222006/fb15ddb27b28/gr1.jpg
https://cdn.ncbi.nlm.nih.gov/pmc/blobs/4a73/8222006/a296f32e2a49/gr2.jpg
https://cdn.ncbi.nlm.nih.gov/pmc/blobs/4a73/8222006/ef8bc7cc5fe1/gr3.jpg
https://cdn.ncbi.nlm.nih.gov/pmc/blobs/4a73/8222006/f6b5255dc067/gr4.jpg
https://cdn.ncbi.nlm.nih.gov/pmc/blobs/4a73/8222006/a66b77666691/gr5.jpg

相似文献

1
The potential health and economic value of SARS-CoV-2 vaccination alongside physical distancing in the UK: a transmission model-based future scenario analysis and economic evaluation.英国新冠病毒疫苗接种与保持社交距离相结合的潜在健康和经济价值:基于传播模型的未来情景分析与经济评估
Lancet Infect Dis. 2021 Jul;21(7):962-974. doi: 10.1016/S1473-3099(21)00079-7. Epub 2021 Mar 18.
2
Modeling the potential public health and economic impact of different COVID-19 booster dose vaccination strategies with an adapted vaccine in the United Kingdom.在英国,采用改良疫苗对不同的 COVID-19 加强针接种策略进行潜在公共卫生和经济影响建模。
Expert Rev Vaccines. 2024 Jan-Dec;23(1):730-739. doi: 10.1080/14760584.2024.2383343. Epub 2024 Aug 5.
3
COVID-19 vaccination in Sindh Province, Pakistan: A modelling study of health impact and cost-effectiveness.巴基斯坦信德省的 COVID-19 疫苗接种:对健康影响和成本效益的建模研究。
PLoS Med. 2021 Oct 4;18(10):e1003815. doi: 10.1371/journal.pmed.1003815. eCollection 2021 Oct.
4
The cost-effectiveness of vaccination against COVID-19 illness during the initial year of vaccination.在疫苗接种的第一年,针对新冠疾病进行疫苗接种的成本效益。
Vaccine. 2025 Feb 27;48:126725. doi: 10.1016/j.vaccine.2025.126725. Epub 2025 Jan 21.
5
Vaccination and non-pharmaceutical interventions for COVID-19: a mathematical modelling study.2019冠状病毒病的疫苗接种与非药物干预措施:一项数学建模研究
Lancet Infect Dis. 2021 Jun;21(6):793-802. doi: 10.1016/S1473-3099(21)00143-2. Epub 2021 Mar 18.
6
Modelling of hypothetical SARS-CoV-2 point of care tests for routine testing in residential care homes: rapid cost-effectiveness analysis.针对养老院常规检测的新型冠状病毒2型即时检测模型:快速成本效益分析
Health Technol Assess. 2021 Jun;25(39):1-74. doi: 10.3310/hta25390.
7
Risk factors and disease profile of post-vaccination SARS-CoV-2 infection in UK users of the COVID Symptom Study app: a prospective, community-based, nested, case-control study.在 COVID 症状研究应用程序的英国用户中,疫苗接种后 SARS-CoV-2 感染的风险因素和疾病特征:一项前瞻性、基于社区的、嵌套的病例对照研究。
Lancet Infect Dis. 2022 Jan;22(1):43-55. doi: 10.1016/S1473-3099(21)00460-6. Epub 2021 Sep 1.
8
Public health impact and cost-effectiveness of gonorrhoea vaccination: an integrated transmission-dynamic health-economic modelling analysis.淋病疫苗接种的公共卫生影响和成本效益:综合传播动力学健康经济建模分析。
Lancet Infect Dis. 2022 Jul;22(7):1030-1041. doi: 10.1016/S1473-3099(21)00744-1. Epub 2022 Apr 12.
9
Modeling the potential public health and economic impact and cost-effectiveness of vaccination strategies using an adapted COVID-19 vaccine in Mexico.利用一种经过改良的新冠疫苗对墨西哥疫苗接种策略的潜在公共卫生和经济影响及成本效益进行建模。
Expert Rev Vaccines. 2025 Dec;24(1):393-402. doi: 10.1080/14760584.2025.2505087. Epub 2025 May 15.
10
Cost effectiveness of vaccination against pandemic influenza in European countries: mathematical modelling analysis.欧洲国家大流行性流感疫苗接种的成本效益:数学模型分析。
BMJ. 2012 Jul 12;345:e4445. doi: 10.1136/bmj.e4445.

引用本文的文献

1
[Not Available].[无可用内容]
Glob Reg Health Technol Assess. 2025 Jul 17;12:168-176. doi: 10.33393/grhta.2025.3403. eCollection 2025 Jan-Dec.
2
Age-targeted vaccination for reducing Clostridioides difficile infection in England: a coupled mathematical-economic modelling analysis.英格兰针对不同年龄组的疫苗接种以减少艰难梭菌感染:一项数学 - 经济耦合建模分析
BMC Med. 2025 Jul 15;23(1):426. doi: 10.1186/s12916-025-04265-x.
3
Cost-Utility Analysis of COVID-19 Vaccination Strategies for Endemic SARS-CoV-2.新冠病毒地方性流行时COVID-19疫苗接种策略的成本效用分析

本文引用的文献

1
Economic value of vaccines to address the COVID-19 pandemic: a U.S. cost-effectiveness and budget impact analysis.疫苗应对 COVID-19 大流行的经济价值:美国成本效益和预算影响分析。
J Med Econ. 2021 Jan-Dec;24(1):1060-1069. doi: 10.1080/13696998.2021.1965732.
2
Estimated transmissibility and impact of SARS-CoV-2 lineage B.1.1.7 in England.在英格兰,估计 SARS-CoV-2 谱系 B.1.1.7 的传染性和影响。
Science. 2021 Apr 9;372(6538). doi: 10.1126/science.abg3055. Epub 2021 Mar 3.
3
Safety and efficacy of the ChAdOx1 nCoV-19 vaccine (AZD1222) against SARS-CoV-2: an interim analysis of four randomised controlled trials in Brazil, South Africa, and the UK.
JAMA Netw Open. 2025 Jun 2;8(6):e2515534. doi: 10.1001/jamanetworkopen.2025.15534.
4
The impacts of gradually terminating nonpharmaceutical interventions for SARS-CoV-2: A mathematical modelling analysis.逐步终止针对严重急性呼吸综合征冠状病毒2(SARS-CoV-2)的非药物干预措施的影响:一项数学建模分析
Fundam Res. 2022 May 17;4(2):401-411. doi: 10.1016/j.fmre.2022.05.007. eCollection 2024 Mar.
5
Cost-Effectiveness of Introducing Nuvaxovid to COVID-19 Vaccination in the United Kingdom: A Dynamic Transmission Model.在英国将Nuvaxovid引入新冠疫苗接种的成本效益:动态传播模型
Vaccines (Basel). 2025 Feb 14;13(2):187. doi: 10.3390/vaccines13020187.
6
The role of economic evaluation in modelling public health and social measures for pandemic policy: a systematic review.经济评估在为大流行政策制定公共卫生和社会措施模型中的作用:一项系统综述。
Cost Eff Resour Alloc. 2024 Nov 1;22(1):77. doi: 10.1186/s12962-024-00585-6.
7
The global health and economic value of COVID-19 vaccination.COVID-19 疫苗接种的全球健康和经济价值。
BMJ Glob Health. 2024 Sep 7;9(9):e015031. doi: 10.1136/bmjgh-2024-015031.
8
The status and influencing factors of COVID-19 vaccination in patients with COPD.COPD 患者 COVID-19 疫苗接种的现状及影响因素。
Sci Rep. 2024 Jul 23;14(1):16917. doi: 10.1038/s41598-024-67791-3.
9
Pandemics: past, present, and future: multitasking challenges in need of cross-disciplinary, transdisciplinary, and multidisciplinary collaborative solutions.大流行:过去、现在与未来:需要跨学科、超学科和多学科协作解决方案的多重任务挑战
Osong Public Health Res Perspect. 2024 Aug;15(4):267-285. doi: 10.24171/j.phrp.2023.0372. Epub 2024 Jul 23.
10
When should lockdown be implemented? Devising cost-effective strategies for managing epidemics amid vaccine uncertainty.何时应该实施封锁?在疫苗不确定的情况下制定具有成本效益的传染病管理策略。
PLoS Comput Biol. 2024 Jul 18;20(7):e1012010. doi: 10.1371/journal.pcbi.1012010. eCollection 2024 Jul.
ChAdOx1 nCoV-19 疫苗(阿斯利康)对 SARS-CoV-2 的安全性和有效性:巴西、南非和英国四项随机对照试验的中期分析。
Lancet. 2021 Jan 9;397(10269):99-111. doi: 10.1016/S0140-6736(20)32661-1. Epub 2020 Dec 8.
4
Safety and Efficacy of the BNT162b2 mRNA Covid-19 Vaccine.BNT162b2 mRNA 新冠病毒疫苗的安全性和有效性。
N Engl J Med. 2020 Dec 31;383(27):2603-2615. doi: 10.1056/NEJMoa2034577. Epub 2020 Dec 10.
5
Covid-19: What do we know about the late stage vaccine candidates?新冠疫情:我们对后期阶段的疫苗候选产品了解多少?
BMJ. 2020 Nov 24;371:m4576. doi: 10.1136/bmj.m4576.
6
SARS-CoV-2 immunity: review and applications to phase 3 vaccine candidates.SARS-CoV-2 免疫:综述及对 3 期疫苗候选物的应用。
Lancet. 2020 Nov 14;396(10262):1595-1606. doi: 10.1016/S0140-6736(20)32137-1. Epub 2020 Oct 13.
7
Immune life history, vaccination, and the dynamics of SARS-CoV-2 over the next 5 years.未来 5 年的免疫史、疫苗接种和 SARS-CoV-2 的动态。
Science. 2020 Nov 13;370(6518):811-818. doi: 10.1126/science.abd7343. Epub 2020 Sep 21.
8
A systematic review of antibody mediated immunity to coronaviruses: kinetics, correlates of protection, and association with severity.冠状病毒抗体介导免疫的系统评价:动力学、保护相关性及与严重程度的关系。
Nat Commun. 2020 Sep 17;11(1):4704. doi: 10.1038/s41467-020-18450-4.
9
COVID-19 vaccine trials should seek worthwhile efficacy.新冠病毒疫苗试验应追求有价值的疗效。
Lancet. 2020 Sep 12;396(10253):741-743. doi: 10.1016/S0140-6736(20)31821-3. Epub 2020 Aug 27.
10
Effect of delays in the 2-week-wait cancer referral pathway during the COVID-19 pandemic on cancer survival in the UK: a modelling study.新冠大流行期间 2 周候诊癌症转诊通道延迟对英国癌症生存率的影响:一项建模研究。
Lancet Oncol. 2020 Aug;21(8):1035-1044. doi: 10.1016/S1470-2045(20)30392-2. Epub 2020 Jul 20.