• 文献检索
  • 文档翻译
  • 深度研究
  • 学术资讯
  • Suppr Zotero 插件Zotero 插件
  • 邀请有礼
  • 套餐&价格
  • 历史记录
应用&插件
Suppr Zotero 插件Zotero 插件浏览器插件Mac 客户端Windows 客户端微信小程序
定价
高级版会员购买积分包购买API积分包
服务
文献检索文档翻译深度研究API 文档MCP 服务
关于我们
关于 Suppr公司介绍联系我们用户协议隐私条款
关注我们

Suppr 超能文献

核心技术专利:CN118964589B侵权必究
粤ICP备2023148730 号-1Suppr @ 2026

文献检索

告别复杂PubMed语法,用中文像聊天一样搜索,搜遍4000万医学文献。AI智能推荐,让科研检索更轻松。

立即免费搜索

文件翻译

保留排版,准确专业,支持PDF/Word/PPT等文件格式,支持 12+语言互译。

免费翻译文档

深度研究

AI帮你快速写综述,25分钟生成高质量综述,智能提取关键信息,辅助科研写作。

立即免费体验

肉毒杆菌毒素与米诺环素联合通过促进SIRT1途径的抗氧化应激和抗炎作用改善神经性疼痛。

Combination of Botulinum Toxin and minocycline Ameliorates Neuropathic Pain Through Antioxidant Stress and Anti-Inflammation via Promoting SIRT1 Pathway.

作者信息

Yu Zhi, Liu Jiayu, Sun Le, Wang Yusheng, Meng Hongmei

机构信息

Department of Otolaryngology, Bethune First Hospital of Jilin University, Changchun, China.

Department of Neurology, Bethune First Hospital of Jilin University, Changchun, China.

出版信息

Front Pharmacol. 2021 Mar 8;11:602417. doi: 10.3389/fphar.2020.602417. eCollection 2020.

DOI:10.3389/fphar.2020.602417
PMID:33762927
原文链接:https://pmc.ncbi.nlm.nih.gov/articles/PMC7982576/
Abstract

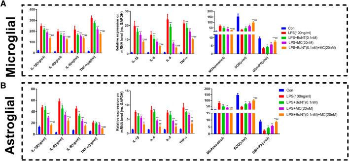
Neuropathic pain (NP) is one of the intractable complications of spinal cord injury (SCI), with poor prognosis and seriously affects the quality of life of patients. This study aims to determine the treatment effect and mechanism of multimodal therapies in a rat model of SCI-induced NP by combining treatment with the anti-inflammatory agent minocycline (MC) and botulinum toxin (BoNT). The combined utilization alleviated SCI-induced NP and reduced apoptosis, inflammation, and oxidative stress of SCI by activating SIRT1 and dampening pAKT, P53, and p-NF-KB. BoNT with a concentration of 0.1 nm and MC with a concentration of 20 uM were selected for the experiment in the primary microglia and astrocytes treated with LPS. It was found that the combination of BoNT and MC obviously inhibits the inflammatory response and oxidative stress of glial cells, and notably activates SIRT1 and restrains pAKT, P53, and p-NF-KB. Therefore, in the treatment of SCI-induced NP, the combination of BoNT and MC markedly improves the therapeutic effect of NP by promoting the SIRT1 expression, thereby inactivating NF-KB, P53, and PI3K/AKT signaling pathway, inhibiting inflammation and oxidative stress as well as relieving SCI-induced NP.

摘要

神经病理性疼痛(NP)是脊髓损伤(SCI)难以处理的并发症之一,预后较差,严重影响患者的生活质量。本研究旨在通过将抗炎药物米诺环素(MC)和肉毒杆菌毒素(BoNT)联合治疗,确定多模式疗法在SCI诱导的NP大鼠模型中的治疗效果和机制。联合应用通过激活SIRT1并抑制pAKT、P53和p-NF-κB,减轻了SCI诱导的NP,并减少了SCI的细胞凋亡、炎症和氧化应激。在经脂多糖处理的原代小胶质细胞和星形胶质细胞实验中,选择浓度为0.1 nM的BoNT和浓度为20 μM的MC。结果发现,BoNT和MC联合明显抑制胶质细胞的炎症反应和氧化应激,并显著激活SIRT1,抑制pAKT、P53和p-NF-κB。因此,在治疗SCI诱导的NP时,BoNT和MC联合通过促进SIRT1表达,从而使NF-κB、P53和PI3K/AKT信号通路失活,抑制炎症和氧化应激以及缓解SCI诱导的NP,显著提高了NP的治疗效果。

https://cdn.ncbi.nlm.nih.gov/pmc/blobs/f7f3/7982576/eb158d9b9b45/fphar-11-602417-g006.jpg
https://cdn.ncbi.nlm.nih.gov/pmc/blobs/f7f3/7982576/3181fe23de05/fphar-11-602417-g001.jpg
https://cdn.ncbi.nlm.nih.gov/pmc/blobs/f7f3/7982576/823d6086ceee/fphar-11-602417-g002.jpg
https://cdn.ncbi.nlm.nih.gov/pmc/blobs/f7f3/7982576/51220b5ffd3e/fphar-11-602417-g003.jpg
https://cdn.ncbi.nlm.nih.gov/pmc/blobs/f7f3/7982576/e4758eb35a51/fphar-11-602417-g004.jpg
https://cdn.ncbi.nlm.nih.gov/pmc/blobs/f7f3/7982576/bdb4e43a63a4/fphar-11-602417-g005.jpg
https://cdn.ncbi.nlm.nih.gov/pmc/blobs/f7f3/7982576/eb158d9b9b45/fphar-11-602417-g006.jpg
https://cdn.ncbi.nlm.nih.gov/pmc/blobs/f7f3/7982576/3181fe23de05/fphar-11-602417-g001.jpg
https://cdn.ncbi.nlm.nih.gov/pmc/blobs/f7f3/7982576/823d6086ceee/fphar-11-602417-g002.jpg
https://cdn.ncbi.nlm.nih.gov/pmc/blobs/f7f3/7982576/51220b5ffd3e/fphar-11-602417-g003.jpg
https://cdn.ncbi.nlm.nih.gov/pmc/blobs/f7f3/7982576/e4758eb35a51/fphar-11-602417-g004.jpg
https://cdn.ncbi.nlm.nih.gov/pmc/blobs/f7f3/7982576/bdb4e43a63a4/fphar-11-602417-g005.jpg
https://cdn.ncbi.nlm.nih.gov/pmc/blobs/f7f3/7982576/eb158d9b9b45/fphar-11-602417-g006.jpg

相似文献

1
Combination of Botulinum Toxin and minocycline Ameliorates Neuropathic Pain Through Antioxidant Stress and Anti-Inflammation via Promoting SIRT1 Pathway.肉毒杆菌毒素与米诺环素联合通过促进SIRT1途径的抗氧化应激和抗炎作用改善神经性疼痛。
Front Pharmacol. 2021 Mar 8;11:602417. doi: 10.3389/fphar.2020.602417. eCollection 2020.
2
Botulinum toxin type A ameliorates adjuvant-arthritis pain by inhibiting microglial activation-mediated neuroinflammation and intracellular molecular signaling.A型肉毒毒素通过抑制小胶质细胞激活介导的神经炎症和细胞内分子信号转导来改善佐剂性关节炎疼痛。
Toxicon. 2020 Apr 30;178:33-40. doi: 10.1016/j.toxicon.2019.12.153. Epub 2019 Dec 23.
3
Participation of pro- and anti-nociceptive interleukins in botulinum toxin A-induced analgesia in a rat model of neuropathic pain.促伤害感受性和抗伤害感受性白细胞介素在肉毒杆菌毒素A诱导的神经性疼痛大鼠模型镇痛中的作用
Eur J Pharmacol. 2016 Nov 15;791:377-388. doi: 10.1016/j.ejphar.2016.09.019. Epub 2016 Sep 9.
4
Mulberrin (Mul) reduces spinal cord injury (SCI)-induced apoptosis, inflammation and oxidative stress in rats via miroRNA-337 by targeting Nrf-2.密蒙花(Mul)通过靶向 Nrf-2 作用于 microRNA-337 减少大鼠脊髓损伤(SCI)诱导的细胞凋亡、炎症和氧化应激。
Biomed Pharmacother. 2018 Nov;107:1480-1487. doi: 10.1016/j.biopha.2018.07.082. Epub 2018 Sep 4.
5
Valproic acid attenuates traumatic spinal cord injury-induced inflammation via STAT1 and NF-κB pathway dependent of HDAC3.丙戊酸通过依赖于 HDAC3 的 STAT1 和 NF-κB 通路减轻创伤性脊髓损伤诱导的炎症。
J Neuroinflammation. 2018 May 18;15(1):150. doi: 10.1186/s12974-018-1193-6.
6
Daphnetin Improves Neuropathic Pain by Inhibiting the Expression of Chemokines and Inflammatory Factors in the Spinal Cord and Interfering with Glial Cell Polarization.瑞香素通过抑制脊髓中趋化因子和炎症因子的表达以及干扰胶质细胞极化来改善神经性疼痛。
Pharmaceuticals (Basel). 2023 Feb 6;16(2):243. doi: 10.3390/ph16020243.
7
Inhibition of TREM1 reduces inflammation and oxidative stress after spinal cord injury (SCI) associated with HO-1 expressions.抑制 TREM1 可减少与 HO-1 表达相关的脊髓损伤(SCI)后的炎症和氧化应激。
Biomed Pharmacother. 2019 Jan;109:2014-2021. doi: 10.1016/j.biopha.2018.08.159. Epub 2018 Nov 26.
8
Overexpression of HIPK2 attenuates spinal cord injury in rats by modulating apoptosis, oxidative stress, and inflammation.HIPK2 的过表达通过调节细胞凋亡、氧化应激和炎症减轻大鼠脊髓损伤。
Biomed Pharmacother. 2018 Jul;103:127-134. doi: 10.1016/j.biopha.2018.03.117. Epub 2018 Apr 24.
9
Effects of Sirtuin 1 on microglia in spinal cord injury: involvement of Wnt/β-catenin signaling pathway.沉默调节蛋白1对脊髓损伤中微胶质细胞的影响:Wnt/β-连环蛋白信号通路的参与
Neuroreport. 2019 Sep 4;30(13):867-874. doi: 10.1097/WNR.0000000000001293.
10
Estrogen alleviates neuropathic pain induced after spinal cord injury by inhibiting microglia and astrocyte activation.雌激素通过抑制小胶质细胞和星形胶质细胞的激活来缓解脊髓损伤后的神经病理性疼痛。
Biochim Biophys Acta Mol Basis Dis. 2018 Jul;1864(7):2472-2480. doi: 10.1016/j.bbadis.2018.04.006. Epub 2018 Apr 16.

引用本文的文献

1
FOXA2/miR-148a-3p/SMURF2 signaling feed-forward loop alleviates spinal cord ischemia-reperfusion injury-induced neuropathic pain by modulating microglia polarization in rats.FOXA2/miR-148a-3p/SMURF2信号前馈环通过调节大鼠小胶质细胞极化减轻脊髓缺血再灌注损伤诱导的神经性疼痛。
Front Immunol. 2025 May 13;16:1563377. doi: 10.3389/fimmu.2025.1563377. eCollection 2025.
2
Spinal astrocytes involved in the pathogenesis and treatment of neuropathic pain.脊髓星形胶质细胞参与神经性疼痛的发病机制及治疗。
Front Cell Neurosci. 2025 Feb 21;19:1547524. doi: 10.3389/fncel.2025.1547524. eCollection 2025.
3
Sirtuin1 in Spinal Cord Injury: Regulatory Mechanisms, Microenvironment Remodeling and Therapeutic Potential.

本文引用的文献

1
Suppression of miR-301a alleviates LPS-induced inflammatory injury in ATDC5 chondrogenic cells by targeting Sirt1.通过靶向Sirt1抑制miR-301a可减轻脂多糖诱导的ATDC5软骨细胞炎症损伤。
Int J Clin Exp Pathol. 2017 Aug 1;10(8):8991-9000. eCollection 2017.
2
New Engineered-Botulinum Toxins Inhibit the Release of Pain-Related Mediators.新型工程肉毒毒素抑制疼痛相关介质的释放。
Int J Mol Sci. 2019 Dec 30;21(1):262. doi: 10.3390/ijms21010262.
3
An investigation into the modulation of T cell phenotypes by amitriptyline and nortriptyline.
脊髓损伤中的沉默调节蛋白1:调控机制、微环境重塑及治疗潜力
CNS Neurosci Ther. 2025 Feb;31(2):e70244. doi: 10.1111/cns.70244.
4
A novel approach to treating post-stroke depression: administration of Botulinum Toxin A via local facial injection.一种治疗中风后抑郁症的新方法:通过局部面部注射施用A型肉毒杆菌毒素。
Front Neurol. 2024 Jun 18;15:1372547. doi: 10.3389/fneur.2024.1372547. eCollection 2024.
5
Protectin D1 ameliorates non-compressive lumbar disc herniation through SIRT1-mediated CGRP signaling.保护素 D1 通过 SIRT1 介导的 CGRP 信号改善非压迫性腰椎间盘突出症。
Mol Pain. 2024 Jan-Dec;20:17448069241232349. doi: 10.1177/17448069241232349.
6
Non-Coding RNAs Regulate Spinal Cord Injury-Related Neuropathic Pain via Neuroinflammation.非编码RNA通过神经炎症调节脊髓损伤相关的神经性疼痛。
J Inflamm Res. 2023 Jun 13;16:2477-2489. doi: 10.2147/JIR.S413264. eCollection 2023.
7
Safety of Onabotulinumtoxin A in Chronic Migraine: A Systematic Review and Meta-Analysis of Randomized Clinical Trials.肉毒毒素 A 在慢性偏头痛中的安全性:随机临床试验的系统评价和荟萃分析。
Toxins (Basel). 2023 May 12;15(5):332. doi: 10.3390/toxins15050332.
8
Improvement of Pain and Function by Using Botulinum Toxin Type A Injection in Patients with an Osteoarthritic Knee with Patellar Malalignment: An Electromyographic Study.A型肉毒毒素注射对伴有髌骨排列不齐的膝骨关节炎患者疼痛和功能的改善:一项肌电图研究
Life (Basel). 2022 Dec 29;13(1):95. doi: 10.3390/life13010095.
9
Botulinum Neurotoxins beyond Neurons: Interplay with Glial Cells.肉毒杆菌神经毒素超越神经元:与神经胶质细胞的相互作用。
Toxins (Basel). 2022 Oct 13;14(10):704. doi: 10.3390/toxins14100704.
10
Drug Repurposing to Target Neuroinflammation and Sensory Neuron-Dependent Pain.药物重定位以靶向神经炎症和感觉神经元依赖性疼痛。
Drugs. 2022 Mar;82(4):357-373. doi: 10.1007/s40265-022-01689-0. Epub 2022 Mar 7.
阿米替林和去甲替林对 T 细胞表型的调节作用研究。
Eur Neuropsychopharmacol. 2020 Feb;31:131-144. doi: 10.1016/j.euroneuro.2019.12.106. Epub 2019 Dec 24.
4
Microvascular decompression for the treatment of neurogenic hypertension with trigeminal neuralgia.微血管减压术治疗伴有三叉神经痛的神经性高血压。
BMC Neurol. 2019 Dec 27;19(1):341. doi: 10.1186/s12883-019-1569-y.
5
How long does the effect of botulinum toxin in neurogenic patients last? An analysis of the subset of "good responders".神经源性患者中肉毒毒素的效果能持续多久?“良好反应者”亚组分析。
Low Urin Tract Symptoms. 2020 May;12(2):155-161. doi: 10.1111/luts.12297. Epub 2019 Dec 19.
6
Neuropathic pain after spinal cord injury and physical exercise in animal models: A systematic review and meta-analysis.脊髓损伤后神经病理性疼痛与动物模型中的体育锻炼:系统评价和荟萃分析。
Neurosci Biobehav Rev. 2020 Jan;108:781-795. doi: 10.1016/j.neubiorev.2019.12.016. Epub 2019 Dec 16.
7
ING4 alleviated lipopolysaccharide-induced inflammation by regulating the NF-κB pathway via a direct interaction with SIRT1.ING4 通过与 SIRT1 的直接相互作用来调节 NF-κB 通路,从而减轻脂多糖诱导的炎症。
Immunol Cell Biol. 2020 Feb;98(2):127-137. doi: 10.1111/imcb.12308. Epub 2020 Jan 14.
8
The effects of minocycline on proliferation, differentiation and migration of neural stem/progenitor cells.米诺环素对神经干细胞/祖细胞增殖、分化和迁移的影响。
Int J Neurosci. 2020 Jun;130(6):601-609. doi: 10.1080/00207454.2019.1699083. Epub 2019 Dec 5.
9
The use of botulinum toxin type A in nervus intermedius neuralgia.A型肉毒毒素在中间神经痛中的应用。
Neurologia (Engl Ed). 2020 Oct;35(8):617-619. doi: 10.1016/j.nrl.2019.06.003. Epub 2019 Nov 23.
10
Minocycline treatment prevents depression and anxiety-like behaviors and promotes neuroprotection after experimental ischemic stroke.米诺环素治疗可预防实验性缺血性中风后抑郁和焦虑样行为,并促进神经保护。
Brain Res Bull. 2020 Feb;155:1-10. doi: 10.1016/j.brainresbull.2019.11.009. Epub 2019 Nov 19.