• 文献检索
  • 文档翻译
  • 深度研究
  • 学术资讯
  • Suppr Zotero 插件Zotero 插件
  • 邀请有礼
  • 套餐&价格
  • 历史记录
应用&插件
Suppr Zotero 插件Zotero 插件浏览器插件Mac 客户端Windows 客户端微信小程序
定价
高级版会员购买积分包购买API积分包
服务
文献检索文档翻译深度研究API 文档MCP 服务
关于我们
关于 Suppr公司介绍联系我们用户协议隐私条款
关注我们

Suppr 超能文献

核心技术专利:CN118964589B侵权必究
粤ICP备2023148730 号-1Suppr @ 2026

文献检索

告别复杂PubMed语法,用中文像聊天一样搜索,搜遍4000万医学文献。AI智能推荐,让科研检索更轻松。

立即免费搜索

文件翻译

保留排版,准确专业,支持PDF/Word/PPT等文件格式,支持 12+语言互译。

免费翻译文档

深度研究

AI帮你快速写综述,25分钟生成高质量综述,智能提取关键信息,辅助科研写作。

立即免费体验

采用绿色样品制备和电感耦合等离子体质谱法(ICP-MS)对红河沿岸地区(越南巴拉特河口)部分海产品中的痕量金属元素进行分析。

Trace Metal Element Analysis in Some Seafood in the Coastal Zone of the Red River (Ba Lat Estuary, Vietnam) by Green Sample Preparation and Inductively Coupled Plasma-Mass Spectrometry (ICP-MS).

作者信息

Da Le Nhu, Ha Hoang Thi Thu, Phung Vu Phong, Nguyen Thi Lien, Duong Thi Thuy, Dinh Le Minh, Huong Pham Thi Mai, Binh Phung Thi Xuan, Nguyen Tien Dat, Duong Thanh Nghi, Hanh Le Thi My, Le Phuong Thu, Quynh Le Thi Phuong

机构信息

Institute of Natural Product Chemistry (INPC), Vietnam Academy of Science and Technology, 18 Hoang Quoc Viet, Cau Giay, Hanoi, Vietnam.

Graduate University of Science and Technology, Vietnam Academy of Science and Technology, 18 Hoang Quoc Viet, Cau Giay, Hanoi, Vietnam.

出版信息

J Anal Methods Chem. 2021 Mar 4;2021:6649362. doi: 10.1155/2021/6649362. eCollection 2021.

DOI:10.1155/2021/6649362
PMID:33763286
原文链接:https://pmc.ncbi.nlm.nih.gov/articles/PMC7952155/
Abstract

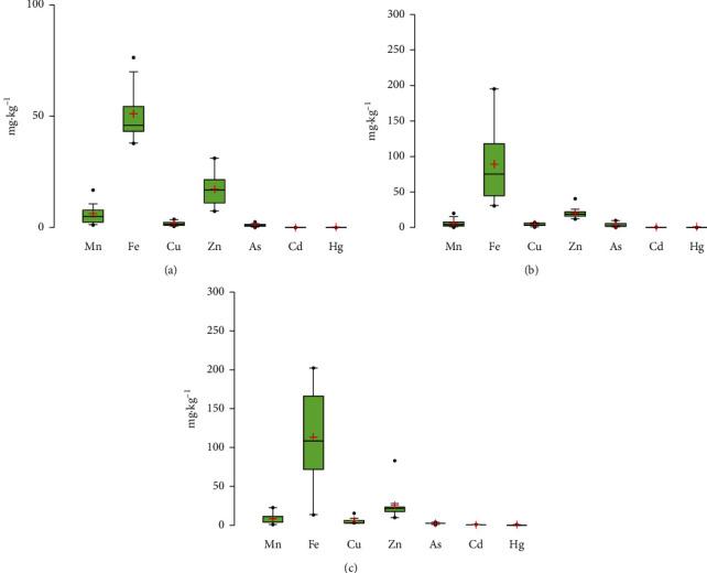
Fisheries and aquaculture production in the coastal zone of Vietnam contribute significantly to the national economy. However, seafood quality and safety, especially in terms of metal contents, are of increasing concern, for both domestic and international markets. This paper presents the results of an investigation in some trace metal elements (iron (Fe), zinc (Zn), manganese (Mn), copper (Cu), arsenic (As), cadmium (Cd), and mercury (Hg)) concentrations in some fishes, crustaceans, and molluscs in the coastal zone of the Red River (in the Ba Lat estuary in Thai Binh and Nam Dinh provinces) during four sampling campaigns in 2020. All samples were treated by a green sample preparation using microwave digestion and then analyzed by inductively coupled plasma-mass spectrometry (ICP-MS). The results showed that the trace metal element concentrations in fish, crustacean, and mollusc samples decreased in the following order: Fe > Zn > Mn > Cu > As > Cd ∼ Hg. In more details, the ranges of trace metal elements in seafood samples were 13.13-202.73; 7.63-82.71; 0.48-22.73; 0.72-15.58; 0.18-5.12; 0.001-1.114; and 0.001-0.923 mg·kg for Fe, Zn, Mn, Cu, As, Cd, and Hg, respectively. The research results contribute to the dataset of the seafood (both fishery and aquacultural seafood) quality in the Red River coastal zone. Although the mean values of different trace metal elements observed in this study were lower than the allowed values of Vietnam's or European's threshold for food safety, some high concentrations were detected. The survey results suggest the need to expand the monitoring scope (frequency of monitoring, number of samples, and observed variables) for obtaining a fully comprehensive assessment of seafood quality in this region. Our results also indicate that it is necessary to manage water quality in coastal areas, especially where aquaculture activities are carried out.

摘要

越南沿海地区的渔业和水产养殖生产对国民经济贡献显著。然而,海鲜的质量和安全,尤其是金属含量方面,无论是在国内市场还是国际市场,都日益受到关注。本文介绍了2020年在红河沿海地区(太平省和南定省的巴拉特河口)进行的四次采样活动中,对一些鱼类、甲壳类动物和软体动物中某些痕量金属元素(铁(Fe)、锌(Zn)、锰(Mn)、铜(Cu)、砷(As)、镉(Cd)和汞(Hg))浓度的调查结果。所有样品均采用微波消解的绿色样品制备方法进行处理,然后通过电感耦合等离子体质谱法(ICP-MS)进行分析。结果表明,鱼类、甲壳类动物和软体动物样品中痕量金属元素浓度的顺序为:Fe>Zn>Mn>Cu>As>Cd ∼ Hg。更详细地说,海鲜样品中痕量金属元素的范围分别为:Fe为13.13 - 202.73;Zn为7.63 - 82.71;Mn为0.48 - 22.73;Cu为0.72 - 15.58;As为0.18 - 5.12;Cd为0.001 - 1.114;Hg为0.001 - 0.923 mg·kg。研究结果为红河沿海地区海鲜(包括渔业和水产养殖海鲜)质量数据集做出了贡献。尽管本研究中观察到的不同痕量金属元素的平均值低于越南或欧洲食品安全阈值的允许值,但仍检测到一些高浓度值。调查结果表明,需要扩大监测范围(监测频率、样品数量和观测变量),以便对该地区的海鲜质量进行全面评估。我们的结果还表明,有必要管理沿海地区的水质,特别是在进行水产养殖活动的地方。

https://cdn.ncbi.nlm.nih.gov/pmc/blobs/0156/7952155/2d073b18becd/JAMC2021-6649362.003.jpg
https://cdn.ncbi.nlm.nih.gov/pmc/blobs/0156/7952155/66eefb3d9169/JAMC2021-6649362.001.jpg
https://cdn.ncbi.nlm.nih.gov/pmc/blobs/0156/7952155/76fc834b648f/JAMC2021-6649362.002.jpg
https://cdn.ncbi.nlm.nih.gov/pmc/blobs/0156/7952155/2d073b18becd/JAMC2021-6649362.003.jpg
https://cdn.ncbi.nlm.nih.gov/pmc/blobs/0156/7952155/66eefb3d9169/JAMC2021-6649362.001.jpg
https://cdn.ncbi.nlm.nih.gov/pmc/blobs/0156/7952155/76fc834b648f/JAMC2021-6649362.002.jpg
https://cdn.ncbi.nlm.nih.gov/pmc/blobs/0156/7952155/2d073b18becd/JAMC2021-6649362.003.jpg

相似文献

1
Trace Metal Element Analysis in Some Seafood in the Coastal Zone of the Red River (Ba Lat Estuary, Vietnam) by Green Sample Preparation and Inductively Coupled Plasma-Mass Spectrometry (ICP-MS).采用绿色样品制备和电感耦合等离子体质谱法(ICP-MS)对红河沿岸地区(越南巴拉特河口)部分海产品中的痕量金属元素进行分析。
J Anal Methods Chem. 2021 Mar 4;2021:6649362. doi: 10.1155/2021/6649362. eCollection 2021.
2
Trace Element Concentrations in Mussels ( Mytilus galloprovincialis) from the Gulf of Trieste, Slovenia.斯洛文尼亚的里耶卡湾贻贝(Mytilus galloprovincialis)中的微量元素浓度。
J Food Prot. 2019 Mar;82(3):429-434. doi: 10.4315/0362-028X.JFP-18-378.
3
Evaluation of heavy metal contamination in the coastal aquaculture zone of the Red River Delta (Vietnam).评估红河三角洲(越南)沿海养殖区的重金属污染状况。
Chemosphere. 2022 Sep;303(Pt 1):134952. doi: 10.1016/j.chemosphere.2022.134952. Epub 2022 May 17.
4
Using laser ablation inductively coupled plasma mass spectrometry (LA-ICP-MS) to characterize copper, zinc and mercury along grizzly bear hair providing estimate of diet.利用激光烧蚀电感耦合等离子体质谱法 (LA-ICP-MS) 分析灰熊毛发中的铜、锌和汞,以此来评估其饮食。
Sci Total Environ. 2015 Oct 1;529:1-9. doi: 10.1016/j.scitotenv.2015.05.004. Epub 2015 May 22.
5
Distribution of trace metals in a soil-tea leaves-tea infusion system: characteristics, translocation and health risk assessment.土壤-茶叶-茶浸提液体系中微量元素的分布:特征、迁移及健康风险评估。
Environ Geochem Health. 2022 Dec;44(12):4631-4645. doi: 10.1007/s10653-021-01190-9. Epub 2022 Mar 5.
6
Concentration of heavy metals in seafood (fishes, shrimp, lobster and crabs) and human health assessment in Saint Martin Island, Bangladesh.孟加拉国圣马丁岛的海鲜(鱼类、虾类、龙虾和蟹类)中的重金属浓度及其对人类健康的评估。
Ecotoxicol Environ Saf. 2018 Sep 15;159:153-163. doi: 10.1016/j.ecoenv.2018.04.035. Epub 2018 May 7.
7
Assessment of 12 Metals and Metalloids in Blood of General Populations Living in Wuhan of China by ICP-MS.采用 ICP-MS 法测定中国武汉地区普通人群血中 12 种金属和类金属元素。
Biol Trace Elem Res. 2019 Jun;189(2):344-353. doi: 10.1007/s12011-018-1486-8. Epub 2018 Aug 23.
8
Oyster arsenic, cadmium, copper, mercury, lead and zinc levels in the northern South China Sea: long-term spatiotemporal distributions, combined effects, and risk assessment to human health.南海北部海域牡蛎中砷、镉、铜、汞、铅和锌的水平:长期时空分布、综合效应及对人类健康的风险评估。
Environ Sci Pollut Res Int. 2022 Feb;29(9):12706-12719. doi: 10.1007/s11356-021-18150-6. Epub 2022 Jan 6.
9
Review of the toxic trace elements arsenic, cadmium, lead and mercury in seafood species from Algeria and contiguous waters in the Southwestern Mediterranean Sea.综述来自阿尔及利亚和地中海西南部毗邻海域的海鲜物种中的有毒微量元素砷、镉、铅和汞。
Environ Sci Pollut Res Int. 2022 Jan;29(3):3288-3301. doi: 10.1007/s11356-021-17130-0. Epub 2021 Nov 10.
10
The application of ICP-SMS, GF-AAS and HG-AFS to the analysis of water and sediment samples from a temperate stratified estuary.电感耦合等离子体质谱法(ICP-SMS)、石墨炉原子吸收光谱法(GF-AAS)和氢化物发生原子荧光光谱法(HG-AFS)在温带分层河口的水和沉积物样品分析中的应用。
J Environ Monit. 2001 Feb;3(1):113-20. doi: 10.1039/b008172h.

引用本文的文献

1
Recovery of high-quality struvite fertilizer product from swine wastewater using fluidized bed homogeneous crystallization.利用流化床均相结晶从猪废水中回收高质量鸟粪石肥料产品。
RSC Adv. 2025 Jul 10;15(30):24122-24136. doi: 10.1039/d5ra03370e.
2
Upcycling Shellfish Waste: Distribution of Amino Acids, Minerals, and Carotenoids in Body Parts of North Atlantic Crab and Shrimp.升级利用贝类废弃物:北大西洋螃蟹和虾身体各部位中氨基酸、矿物质和类胡萝卜素的分布
Foods. 2024 Aug 27;13(17):2700. doi: 10.3390/foods13172700.
3
Biomonitoring-Health Risk Nexus of Potentially Toxic Metals on : A Biomonitoring Study from Peninsular Malaysia.

本文引用的文献

1
Heavy metals in commercial fish and seafood products and risk assessment in adult population in Bosnia and Herzegovina.商业鱼类和海鲜产品中的重金属及其在波斯尼亚和黑塞哥维那成年人群体中的风险评估。
Sci Rep. 2020 Aug 6;10(1):13238. doi: 10.1038/s41598-020-70205-9.
2
Distribution and accumulation ability of heavy metals in bivalve shells and associated sediment from Red Sea coast, Egypt.红海埃及海岸双壳贝类贝壳和相关沉积物中重金属的分布和积累能力。
Environ Monit Assess. 2020 May 11;192(6):353. doi: 10.1007/s10661-020-08285-3.
3
Bioaccumulation of heavy metals in some commercially important fishes from a tropical river estuary suggests higher potential health risk in children than adults.
马来西亚半岛潜在有毒金属的生物监测-健康风险关系:一项生物监测研究
Foods. 2023 Apr 7;12(8):1575. doi: 10.3390/foods12081575.
热带河口水域中一些商业性重要鱼类体内重金属的生物累积表明,儿童面临的健康风险比成年人更高。
PLoS One. 2019 Oct 17;14(10):e0219336. doi: 10.1371/journal.pone.0219336. eCollection 2019.
4
Assessment of the human health risks of heavy metals in nine typical areas.九类典型区域重金属的人体健康风险评估
Environ Sci Pollut Res Int. 2019 Apr;26(12):12311-12323. doi: 10.1007/s11356-018-04076-z. Epub 2019 Mar 6.
5
Metals and arsenic in sediment and fish from Cau Hai lagoon in Vietnam: Ecological and human health risks.越南考海河沉积物和鱼类中的金属和砷:生态和人类健康风险。
Chemosphere. 2018 Nov;210:175-182. doi: 10.1016/j.chemosphere.2018.07.002. Epub 2018 Jul 2.
6
Concentration of heavy metals in seafood (fishes, shrimp, lobster and crabs) and human health assessment in Saint Martin Island, Bangladesh.孟加拉国圣马丁岛的海鲜(鱼类、虾类、龙虾和蟹类)中的重金属浓度及其对人类健康的评估。
Ecotoxicol Environ Saf. 2018 Sep 15;159:153-163. doi: 10.1016/j.ecoenv.2018.04.035. Epub 2018 May 7.
7
Heavy metals in vegetables: screening health risks involved in cultivation along wastewater drain and irrigating with wastewater.蔬菜中的重金属:筛查沿废水排放口种植及用废水灌溉所涉及的健康风险。
Springerplus. 2016 Apr 19;5:488. doi: 10.1186/s40064-016-2129-1. eCollection 2016.
8
Manganese in health and disease.健康与疾病中的锰
Met Ions Life Sci. 2013;13:199-227. doi: 10.1007/978-94-007-7500-8_7.
9
Iron poisoning: a literature-based review of epidemiology, diagnosis, and management.
Pediatr Emerg Care. 2011 Oct;27(10):978-85. doi: 10.1097/PEC.0b013e3182302604.
10
Seasonal variations in the concentrations of metals in Crassostrea corteziensis from Sonora, México.墨西哥索诺拉产 C. corteziensis 体内金属浓度的季节性变化。
Bull Environ Contam Toxicol. 2010 Aug;85(2):209-13. doi: 10.1007/s00128-010-0055-4. Epub 2010 Jun 29.