• 文献检索
  • 文档翻译
  • 深度研究
  • 学术资讯
  • Suppr Zotero 插件Zotero 插件
  • 邀请有礼
  • 套餐&价格
  • 历史记录
应用&插件
Suppr Zotero 插件Zotero 插件浏览器插件Mac 客户端Windows 客户端微信小程序
定价
高级版会员购买积分包购买API积分包
服务
文献检索文档翻译深度研究API 文档MCP 服务
关于我们
关于 Suppr公司介绍联系我们用户协议隐私条款
关注我们

Suppr 超能文献

核心技术专利:CN118964589B侵权必究
粤ICP备2023148730 号-1Suppr @ 2026

文献检索

告别复杂PubMed语法,用中文像聊天一样搜索,搜遍4000万医学文献。AI智能推荐,让科研检索更轻松。

立即免费搜索

文件翻译

保留排版,准确专业,支持PDF/Word/PPT等文件格式,支持 12+语言互译。

免费翻译文档

深度研究

AI帮你快速写综述,25分钟生成高质量综述,智能提取关键信息,辅助科研写作。

立即免费体验

活动性附着点炎相关关节炎且有骶髂关节炎MRI征象的儿童粪便钙卫蛋白水平升高:一项针对幼年特发性关节炎患者的单中心横断面探索性研究结果

The Increased Levels of Fecal Calprotectin in Children With Active Enthesitis Related Arthritis and MRI Signs of Sacroiliitis: The Results of a Single Center Cross-Sectional Exploratory Study in Juvenile Idiopathic Arthritis Patients.

作者信息

Lamot Lovro, Miler Marijana, Vukojević Rudolf, Vidović Mandica, Lamot Mirta, Trutin Ivana, Gabaj Nora Nikolac, Harjaček Miroslav

机构信息

Division of Clinical Immunology and Rheumatology, Department of Pediatrics, Sestre Milosrdnice University Hospital Center, Zagreb, Croatia.

Department of Pediatrics, University of Zagreb School of Medicine, Zagreb, Croatia.

出版信息

Front Med (Lausanne). 2021 Mar 8;8:650619. doi: 10.3389/fmed.2021.650619. eCollection 2021.

DOI:10.3389/fmed.2021.650619
PMID:33763437
原文链接:https://pmc.ncbi.nlm.nih.gov/articles/PMC7982855/
Abstract

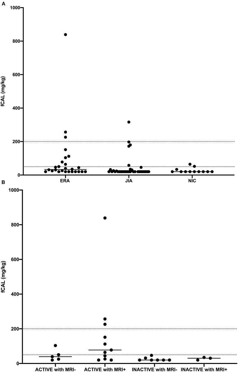
Enthesitis related arthritis (ERA) is a specific subtype of juvenile idiopathic arthritis (JIA), often regarded as an undifferentiated form of juvenile spondyloarthritis (jSpA). While gut is increasingly recognized as origin and/or target of inflammation in adult onset spondyloarthritis (SpA), the incidence of gut involvement in ERA patients is largely unknown. The aim of this study was to measure the concentration of fecal calprotectin (fCAL), a surrogate marker of gut inflammation, in patients with different subtypes of JIA, as well as to correlate the results with various demographic, clinical, laboratory, imaging, and treatment characteristics. The cross-sectional exploratory study involving 71 patients with ERA, other forms of JIA and children complaining musculoskeletal symptoms was therefore conducted. Along with fCAL assessment, a detailed clinical and laboratory examination was performed, including the calculation of a composite disease activity scores. Moreover, MRI of the sacroiliac joints was performed in all ERA and other patients complaining of low back pain. The median concentration of fCAL was highest in ERA patients (33.2 mg/kg, = 0.02), with a significant difference between those with inactive and active disease (20.0 vs. 57.4, = 0.01), as well as those with and without MRI signs of sacroiliitis (22.6 vs. 54.3, = 0.04). The fCAL did not differ depending on the NSAID use (23 vs. 20, = 0.18), although weak correlation was observed with the treatment duration ( = 0.25, = 0.03). In conclusion, our findings indicate that a parallel inflammation in musculoskeletal system and gut can occur not just in adults with SpA, but in children with ERA as well.

摘要

附着点炎相关关节炎(ERA)是幼年特发性关节炎(JIA)的一种特殊亚型,常被视为幼年脊柱关节炎(jSpA)的未分化形式。虽然肠道在成人起病的脊柱关节炎(SpA)中越来越被认为是炎症的起源和/或靶点,但ERA患者肠道受累的发生率很大程度上未知。本研究的目的是测量不同亚型JIA患者粪便钙卫蛋白(fCAL)的浓度,fCAL是肠道炎症的替代标志物,并将结果与各种人口统计学、临床、实验室、影像学和治疗特征相关联。因此,开展了一项横断面探索性研究,纳入了71例ERA患者、其他形式的JIA患者以及主诉肌肉骨骼症状的儿童。除了fCAL评估外,还进行了详细的临床和实验室检查,包括计算综合疾病活动评分。此外,对所有ERA患者和其他主诉下背痛的患者进行了骶髂关节MRI检查。ERA患者的fCAL中位数浓度最高(33.2mg/kg,P = 0.02),疾病活动和非活动患者之间(20.0对57.4,P = 0.01)以及有和无骶髂关节炎MRI体征的患者之间(22.6对54.3,P = 0.04)存在显著差异。fCAL不受非甾体抗炎药使用情况的影响(23对20,P = 0.18),尽管与治疗持续时间存在弱相关性(r = 0.25,P = 0.03)。总之,我们的研究结果表明,肌肉骨骼系统和肠道的平行炎症不仅会发生在成人SpA患者中,也会发生在儿童ERA患者中。

https://cdn.ncbi.nlm.nih.gov/pmc/blobs/a82a/7982855/42d455bbdcf0/fmed-08-650619-g0001.jpg
https://cdn.ncbi.nlm.nih.gov/pmc/blobs/a82a/7982855/42d455bbdcf0/fmed-08-650619-g0001.jpg
https://cdn.ncbi.nlm.nih.gov/pmc/blobs/a82a/7982855/42d455bbdcf0/fmed-08-650619-g0001.jpg

相似文献

1
The Increased Levels of Fecal Calprotectin in Children With Active Enthesitis Related Arthritis and MRI Signs of Sacroiliitis: The Results of a Single Center Cross-Sectional Exploratory Study in Juvenile Idiopathic Arthritis Patients.活动性附着点炎相关关节炎且有骶髂关节炎MRI征象的儿童粪便钙卫蛋白水平升高:一项针对幼年特发性关节炎患者的单中心横断面探索性研究结果
Front Med (Lausanne). 2021 Mar 8;8:650619. doi: 10.3389/fmed.2021.650619. eCollection 2021.
2
Spondyloarthritis Research Consortium of Canada Scoring System for Sacroiliitis in Juvenile Spondyloarthritis/Enthesitis-related Arthritis: A Reliability, Validity, and Responsiveness Study.加拿大脊柱关节炎研究联合会幼年特发性脊柱关节炎/附着点炎相关关节炎的骶髂关节炎评分系统:一项可靠性、有效性和反应性研究。
J Rheumatol. 2019 Jun;46(6):636-644. doi: 10.3899/jrheum.180222. Epub 2019 Feb 1.
3
Presentation of enthesitis-related arthritis and juvenile-onset spondyloarthritis: a cross-sectional study in a pediatric and adult clinic.肌腱端炎相关关节炎和青少年发病型脊柱关节炎的表现:儿科和成人门诊的一项横断面研究。
Adv Rheumatol. 2024 May 8;64(1):39. doi: 10.1186/s42358-024-00378-8.
4
High prevalence of sacroiliitis and early structural changes in the sacroiliac joint in children with enthesitis-related arthritis: findings from a tertiary centre in Hong Kong.香港一家三级医院的研究发现,附着点相关关节炎患儿的中轴关节炎和骶髂关节的早期结构变化发生率较高。
Pediatr Rheumatol Online J. 2023 May 3;21(1):45. doi: 10.1186/s12969-023-00825-8.
5
Does sacroiliitis is a mandatory criterion for enthesitis-related arthritis diagnosis?骶髂关节炎是否是附着点相关关节炎诊断的强制性标准?
Reumatol Clin (Engl Ed). 2024 Apr;20(4):187-192. doi: 10.1016/j.reumae.2023.12.008.
6
Use of dynamic magnetic resonance imaging to detect sacroiliitis in HLA-B27 positive and negative children with juvenile arthritides.使用动态磁共振成像检测患幼年型关节炎的HLA - B27阳性和阴性儿童的骶髂关节炎。
J Rheumatol. 1998 Mar;25(3):556-64.
7
Enthesitis-related arthritis is the most common category of juvenile idiopathic arthritis in Taiwan and presents persistent active disease.附着点相关关节炎是台湾最常见的幼年特发性关节炎类别,表现为持续性活动期疾病。
Pediatr Rheumatol Online J. 2019 Aug 23;17(1):58. doi: 10.1186/s12969-019-0363-0.
8
Classifications and imaging of juvenile spondyloarthritis.青少年脊柱关节炎的分类与影像学
J Ultrason. 2018;18(74):224-233. doi: 10.15557/JoU.2018.0033.
9
Spinal involvement in juvenile idiopathic arthritis: what do we miss without imaging?青少年特发性关节炎的脊柱累及:没有影像学检查我们会遗漏什么?
Rheumatol Int. 2022 Mar;42(3):519-527. doi: 10.1007/s00296-021-04890-8. Epub 2021 Jun 11.
10
Advances in Juvenile Spondyloarthritis.青少年脊柱关节炎的研究进展。
Curr Rheumatol Rep. 2021 Jul 13;23(9):70. doi: 10.1007/s11926-021-01036-4.

引用本文的文献

1
Juvenile Spondyloarthropathies: Diagnostic and Therapeutic Advances-A Narrative Review.青少年脊柱关节炎:诊断与治疗进展——一篇叙述性综述
J Clin Med. 2025 May 3;14(9):3166. doi: 10.3390/jcm14093166.
2
Effectiveness of tumor necrosis factor inhibitors in children with enthesitis-related arthritis: a single-center retrospective analysis.肿瘤坏死因子抑制剂在儿童附着点炎相关关节炎中的疗效:一项单中心回顾性分析。
Front Pediatr. 2023 May 26;11:1122233. doi: 10.3389/fped.2023.1122233. eCollection 2023.
3
High prevalence of sacroiliitis and early structural changes in the sacroiliac joint in children with enthesitis-related arthritis: findings from a tertiary centre in Hong Kong.

本文引用的文献

1
Usefulness of magnetic resonance enterography in detecting signs of sacroiliitis in young patients with inflammatory bowel disease.磁共振肠道成像在检测炎症性肠病年轻患者中骶髂关节炎征象的作用。
Pediatr Rheumatol Online J. 2020 Jun 3;18(1):42. doi: 10.1186/s12969-020-00433-w.
2
British Society of Gastroenterology consensus guidelines on the management of inflammatory bowel disease in adults.英国胃肠病学会成人炎症性肠病管理共识指南。
Gut. 2019 Dec;68(Suppl 3):s1-s106. doi: 10.1136/gutjnl-2019-318484. Epub 2019 Sep 27.
3
Clinical utility of fecal calprotectin: potential applications beyond inflammatory bowel disease for the primary care physician.
香港一家三级医院的研究发现,附着点相关关节炎患儿的中轴关节炎和骶髂关节的早期结构变化发生率较高。
Pediatr Rheumatol Online J. 2023 May 3;21(1):45. doi: 10.1186/s12969-023-00825-8.
4
MRI Findings in Axial Psoriatic Spondylarthritis.轴性银屑病关节炎的磁共振成像表现
Diagnostics (Basel). 2023 Apr 4;13(7):1342. doi: 10.3390/diagnostics13071342.
5
Chronic Nonbacterial Osteomyelitis and Inflammatory Bowel Disease: A Literature Review-Based Cohort.慢性非细菌性骨髓炎与炎症性肠病:一项基于文献综述的队列研究
Children (Basel). 2023 Mar 3;10(3):502. doi: 10.3390/children10030502.
6
Nutritional Aspects of Juvenile Idiopathic Arthritis: An A to Z for Dietitians.青少年特发性关节炎的营养问题:营养师全指南
Children (Basel). 2023 Jan 23;10(2):203. doi: 10.3390/children10020203.
7
Seronegative spondyloarthropathy-associated inflammatory bowel disease.血清阴性脊柱关节病相关的炎症性肠病。
World J Gastroenterol. 2023 Jan 21;29(3):450-468. doi: 10.3748/wjg.v29.i3.450.
8
Chronic Recurrent Multifocal Osteomyelitis (CRMO) and Juvenile Spondyloarthritis (JSpA): To What Extent Are They Related?慢性复发性多灶性骨髓炎(CRMO)与青少年脊柱关节炎(JSpA):它们在多大程度上相关?
J Clin Med. 2023 Jan 5;12(2):453. doi: 10.3390/jcm12020453.
9
Decreased fecal calprotectin levels in Spondyloarthritis patients colonized by Blastocystis spp.肠炎型关节炎患者粪便钙卫蛋白水平降低与 Blastocystis spp.定植相关
Sci Rep. 2022 Sep 23;12(1):15840. doi: 10.1038/s41598-022-18308-3.
10
Serum Calprotectin Is a Valid Biomarker in Distinction of Bacterial Urinary Tract Infection From Viral Respiratory Illness in Children Under 3 Years of Age.血清钙卫蛋白是区分3岁以下儿童细菌性尿路感染与病毒性呼吸道疾病的有效生物标志物。
Front Pediatr. 2022 Mar 14;10:768260. doi: 10.3389/fped.2022.768260. eCollection 2022.
粪便钙卫蛋白的临床应用:基层医疗医生在炎症性肠病之外的潜在应用
Ann Gastroenterol. 2019 Sep-Oct;32(5):425-430. doi: 10.20524/aog.2019.0394. Epub 2019 Jun 20.
4
Inflammatory bowel diseases and spondyloarthropathies: From pathogenesis to treatment.炎症性肠病和脊柱关节病:从发病机制到治疗。
World J Gastroenterol. 2019 May 14;25(18):2162-2176. doi: 10.3748/wjg.v25.i18.2162.
5
Preliminary Definitions for Sacroiliac Joint Pathologies in the OMERACT Juvenile Idiopathic Arthritis Magnetic Resonance Imaging Score (OMERACT JAMRIS-SIJ).OMERACT JAMRIS-SIJ 中骶髂关节病变的初步定义。
J Rheumatol. 2019 Sep;46(9):1192-1197. doi: 10.3899/jrheum.181115. Epub 2019 Feb 15.
6
Proton pump inhibitor use is associated with elevated faecal calprotectin levels. A cross-sectional study on subjects referred for colonoscopy.使用质子泵抑制剂与粪便钙卫蛋白水平升高有关。一项针对接受结肠镜检查的受试者的横断面研究。
Scand J Gastroenterol. 2019 Feb;54(2):152-157. doi: 10.1080/00365521.2019.1566493. Epub 2019 Jan 24.
7
The Early Phases of Ankylosing Spondylitis: Emerging Insights From Clinical and Basic Science.强直性脊柱炎的早期阶段:临床和基础科学的新见解。
Front Immunol. 2018 Nov 16;9:2668. doi: 10.3389/fimmu.2018.02668. eCollection 2018.
8
The ties that bind: skin, gut and spondyloarthritis.将人绑定在一起的纽带:皮肤、肠道和脊柱关节炎。
Curr Opin Rheumatol. 2019 Jan;31(1):62-69. doi: 10.1097/BOR.0000000000000569.
9
Recurrent Abdominal Pain in Children.儿童复发性腹痛。
Am Fam Physician. 2018 Jun 15;97(12):785-793.
10
Prospective validation of the Juvenile Spondyloarthritis Disease Activity Index in children with enthesitis-related arthritis.前瞻性验证幼年特发性关节炎附着点相关关节炎患儿的幼年脊柱关节炎疾病活动指数。
Rheumatology (Oxford). 2018 Dec 1;57(12):2167-2171. doi: 10.1093/rheumatology/key246.