Suppr超能文献

喹啉类芪类化合物和频哪醇的合成、分子对接分析及其抗菌和抗氧化性能评估

Synthesis, Molecular Docking Analysis, and Evaluation of Antibacterial and Antioxidant Properties of Stilbenes and Pinacol of Quinolines.

作者信息

Digafie Zeleke, Melaku Yadessa, Belay Zerihun, Eswaramoorthy Rajalakshmanan

机构信息

Department of Applied Chemistry, Adama Science and Technology University, Adama, Ethiopia.

Department of Applied Biology, Adama Science and Technology University, Adama, Ethiopia.

出版信息

Adv Pharmacol Pharm Sci. 2021 Mar 2;2021:6635270. doi: 10.1155/2021/6635270. eCollection 2021.

Abstract

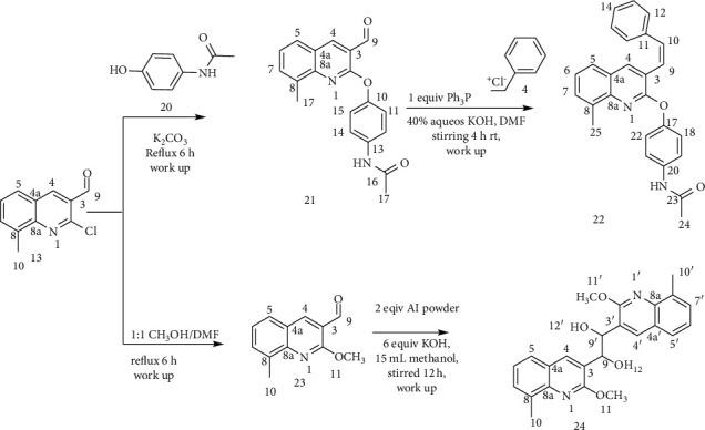
Emergence of antimicrobial resistance to standard commercial drugs has become a critical public health concern worldwide. Hence, novel antimicrobials with improved biological activities are urgently needed. In this regard, a series of quinoline-stilbene derivatives were synthesized from substituted quinoline and benzyltriphenylphosphonium chloride using Wittig reaction. Furthermore, a novel pinacol of quinoline was synthesized by pinacolinazation of 2-methoxyquinoline-3-carbaldehyde which was achieved by aluminum powder-potassium hydroxide reagent combination at ambient temperature in methanol. The structures of the synthesized compounds were established based on their spectral data. The antibacterial activities of the synthesized compounds were evaluated in vitro by the paper disc diffusion method against two Gram-positive bacteria ( and ) and two Gram-negative bacteria ( and ). The best activity was displayed by compound against E. coli with an inhibition zone of 16.0 ± 0.82 mm and 14.67 ± 0.94 mm at 500 and 250 g/mL, respectively. This is close to ciprofloxacin which is used as a positive control. The results of in silico molecular docking evaluation of the compounds against DNA gyraseB were in good agreement with the in vitro antibacterial analysis. Compounds 19 (-6.9 kcal/mol) and (-7.1 kcal/mol) showed the maximum binding affinity close to ciprofloxacin (-7.3 kcal/mol) used as positive control. Therefore, the antibacterial activity displayed by these compounds is encouraging for further investigation to improve the activities of quinoline-stilbenes by incorporating various bioisosteric groups in one or more positions of the phenyl nuclei for their potential pharmacological use. Findings of the DPPH radical scavenging assay indicated that some of the quinolone stilbenes and pinacol possess moderate antioxidant properties compared to ascorbic acid used as a natural antioxidant.

摘要

对标准商业药物产生抗微生物耐药性已成为全球范围内一个关键的公共卫生问题。因此,迫切需要具有更好生物活性的新型抗菌药物。在这方面,使用维蒂希反应由取代喹啉和苄基三苯基氯化鏻合成了一系列喹啉 - 芪衍生物。此外,通过2 - 甲氧基喹啉 - 3 - 甲醛的频哪醇缩合反应合成了一种新型喹啉频哪醇,该反应是在甲醇中于室温下通过铝粉 - 氢氧化钾试剂组合实现的。根据光谱数据确定了合成化合物的结构。通过纸片扩散法在体外评估了合成化合物对两种革兰氏阳性菌( 和 )和两种革兰氏阴性菌( 和 )的抗菌活性。化合物 对大肠杆菌表现出最佳活性,在500和250 μg/mL时抑菌圈分别为16.0 ± 0.82 mm和14.67 ± 0.94 mm。这接近用作阳性对照的环丙沙星。化合物针对DNA促旋酶B的计算机模拟分子对接评估结果与体外抗菌分析结果高度一致。化合物19(-6.9 kcal/mol)和 (-7.1 kcal/mol)显示出与用作阳性对照的环丙沙星(-7.3 kcal/mol)相近的最大结合亲和力。因此,这些化合物所显示出的抗菌活性对于进一步研究通过在苯核的一个或多个位置引入各种生物电子等排体基团来提高喹啉 - 芪的活性以用于潜在的药理学用途而言是令人鼓舞的。DPPH自由基清除试验的结果表明,与用作天然抗氧化剂的抗坏血酸相比,一些喹诺酮芪和频哪醇具有中等抗氧化性能。

https://cdn.ncbi.nlm.nih.gov/pmc/blobs/67e7/7946464/ec406dbeff5e/APS2021-6635270.001.jpg

文献AI研究员

20分钟写一篇综述,助力文献阅读效率提升50倍。

立即体验

用中文搜PubMed

大模型驱动的PubMed中文搜索引擎

马上搜索

文档翻译

学术文献翻译模型,支持多种主流文档格式。

立即体验