• 文献检索
  • 文档翻译
  • 深度研究
  • 学术资讯
  • Suppr Zotero 插件Zotero 插件
  • 邀请有礼
  • 套餐&价格
  • 历史记录
应用&插件
Suppr Zotero 插件Zotero 插件浏览器插件Mac 客户端Windows 客户端微信小程序
定价
高级版会员购买积分包购买API积分包
服务
文献检索文档翻译深度研究API 文档MCP 服务
关于我们
关于 Suppr公司介绍联系我们用户协议隐私条款
关注我们

Suppr 超能文献

核心技术专利:CN118964589B侵权必究
粤ICP备2023148730 号-1Suppr @ 2026

文献检索

告别复杂PubMed语法,用中文像聊天一样搜索,搜遍4000万医学文献。AI智能推荐,让科研检索更轻松。

立即免费搜索

文件翻译

保留排版,准确专业,支持PDF/Word/PPT等文件格式,支持 12+语言互译。

免费翻译文档

深度研究

AI帮你快速写综述,25分钟生成高质量综述,智能提取关键信息,辅助科研写作。

立即免费体验

热压液体萃取法获得的葡萄渣提取物的化学性质及其对2型糖尿病相关酶的抑制作用

Chemical Properties of Vitis Vinifera Pomace Extracts Obtained by Hot Pressurized Liquid Extraction, and Their Inhibitory Effect on Type 2 Diabetes Mellitus Related Enzymes.

作者信息

Huamán-Castilla Nils Leander, Campos David, García-Ríos Diego, Parada Javier, Martínez-Cifuentes Maximiliano, Mariotti-Celis María Salomé, Pérez-Correa José Ricardo

机构信息

Escuela de Ingeniería Agroindustrial, Universidad Nacional de Moquegua, Moquegua 18001, Peru.

Instituto de Biotecnología, Universidad Nacional Agraria la Molina, Lima 15026, Peru.

出版信息

Antioxidants (Basel). 2021 Mar 17;10(3):472. doi: 10.3390/antiox10030472.

DOI:10.3390/antiox10030472
PMID:33802638
原文链接:https://pmc.ncbi.nlm.nih.gov/articles/PMC8002554/
Abstract

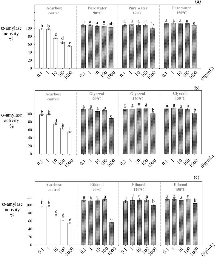
Grape pomace polyphenols inhibit Type 2 Diabetes Mellitus (T2DM)-related enzymes, reinforcing their sustainable recovery to be used as an alternative to the synthetic drug acarbose. Protic co-solvents (ethanol 15% and glycerol 15%) were evaluated in the hot pressurized liquid extraction (HPLE) of Carménère pomace at 90, 120, and 150 °C in order to obtain extracts rich in monomers and oligomers of procyanidins with high antioxidant capacities and inhibitory effects on α-amylase and α-glucosidase. The higher the HPLE temperature (from 90 °C to 150 °C) the higher the total polyphenol content (~79%, ~83%, and ~143% for water-ethanol, water-glycerol and pure water, respectively) and antioxidant capacity of the extracts (Oxygen Radical Absorbance Capacity, ORAC), increased by ~26%, 27% and 13%, while the half maximal inhibitory concentration (IC) decreased by ~65%, 67%, and 59% for water-ethanol, water-glycerol, and pure water extracts, respectively). Water-glycerol HPLE at 150 and 120 °C recovered the highest amounts of monomers (99, 421, and 112 µg/g dw of phenolic acids, flavanols, and flavonols, respectively) and dimers of procyanidins (65 and 87 µg/g dw of B1 and B2, respectively). At 90 °C, the water-ethanol mixture extracted the highest amounts of procyanidin trimers (13 and 49 µg/g dw of C1 and B2, respectively) and procyanidin tetramers of B2 di-O-gallate (13 µg/g dw). Among the Carménère pomace extracts analyzed in this study, 1000 µg/mL of the water-ethanol extract obtained, at 90 °C, reduced differentially the α-amylase (56%) and α-glucosidase (98%) activities. At the same concentration, acarbose inhibited 56% of α-amylase and 73% of α-glucosidase activities; thus, our grape HPLE extracts can be considered a good inhibitor compared to the synthetic drug.

摘要

葡萄皮渣多酚可抑制2型糖尿病(T2DM)相关酶,增强其可持续回收利用价值,以替代合成药物阿卡波糖。在90、120和150℃下,对卡门内尔葡萄皮渣进行热压液体萃取(HPLE)时,评估了质子共溶剂(15%乙醇和15%甘油),以获得富含原花青素单体和低聚物的提取物,这些提取物具有高抗氧化能力以及对α-淀粉酶和α-葡萄糖苷酶的抑制作用。HPLE温度越高(从90℃到150℃),提取物的总多酚含量越高(水-乙醇、水-甘油和纯水提取物分别约为79%、83%和143%),抗氧化能力(氧自由基吸收能力,ORAC)提高约26%、27%和13%,而水-乙醇、水-甘油和纯水提取物的半数最大抑制浓度(IC)分别降低约65%、67%和59%。150℃和120℃的水-甘油HPLE回收的单体含量最高(酚酸、黄烷醇和黄酮醇分别为99、421和112μg/g干重)以及原花青素二聚体含量最高(B1和B2分别为65和87μg/g干重)。在90℃时,水-乙醇混合物萃取的原花青素三聚体含量最高(C1和B2分别为13和49μg/g干重)以及B2二-O-没食子酸原花青素四聚体含量最高(13μg/g干重)。在本研究分析的卡门内尔葡萄皮渣提取物中,90℃下获得的1000μg/mL水-乙醇提取物对α-淀粉酶(56%)和α-葡萄糖苷酶(98%)活性有不同程度的降低。在相同浓度下,阿卡波糖抑制56%的α-淀粉酶活性和73%的α-葡萄糖苷酶活性;因此,与合成药物相比,我们的葡萄HPLE提取物可被视为一种良好的抑制剂。

https://cdn.ncbi.nlm.nih.gov/pmc/blobs/96ba/8002554/2da287f83c22/antioxidants-10-00472-g004.jpg
https://cdn.ncbi.nlm.nih.gov/pmc/blobs/96ba/8002554/7a3618da9692/antioxidants-10-00472-g001.jpg
https://cdn.ncbi.nlm.nih.gov/pmc/blobs/96ba/8002554/f6dfb5794635/antioxidants-10-00472-g002.jpg
https://cdn.ncbi.nlm.nih.gov/pmc/blobs/96ba/8002554/da019b178809/antioxidants-10-00472-g003.jpg
https://cdn.ncbi.nlm.nih.gov/pmc/blobs/96ba/8002554/2da287f83c22/antioxidants-10-00472-g004.jpg
https://cdn.ncbi.nlm.nih.gov/pmc/blobs/96ba/8002554/7a3618da9692/antioxidants-10-00472-g001.jpg
https://cdn.ncbi.nlm.nih.gov/pmc/blobs/96ba/8002554/f6dfb5794635/antioxidants-10-00472-g002.jpg
https://cdn.ncbi.nlm.nih.gov/pmc/blobs/96ba/8002554/da019b178809/antioxidants-10-00472-g003.jpg
https://cdn.ncbi.nlm.nih.gov/pmc/blobs/96ba/8002554/2da287f83c22/antioxidants-10-00472-g004.jpg

相似文献

1
Chemical Properties of Vitis Vinifera Pomace Extracts Obtained by Hot Pressurized Liquid Extraction, and Their Inhibitory Effect on Type 2 Diabetes Mellitus Related Enzymes.热压液体萃取法获得的葡萄渣提取物的化学性质及其对2型糖尿病相关酶的抑制作用
Antioxidants (Basel). 2021 Mar 17;10(3):472. doi: 10.3390/antiox10030472.
2
The Impact of Temperature and Ethanol Concentration on the Global Recovery of Specific Polyphenols in an Integrated HPLE/RP Process on Carménère Pomace Extracts.温度和乙醇浓度对 Carmenère 葡萄渣提取物在综合 HPLE/RP 工艺中特定多酚类物质全球回收率的影响。
Molecules. 2019 Aug 29;24(17):3145. doi: 10.3390/molecules24173145.
3
Glycerol as Alternative Co-Solvent for Water Extraction of Polyphenols from Pomace: Hot Pressurized Liquid Extraction and Computational Chemistry Calculations.甘油作为水提葡萄渣中多酚的替代共溶剂:热压液相萃取和计算化学计算。
Biomolecules. 2020 Mar 20;10(3):474. doi: 10.3390/biom10030474.
4
Enhanced Polyphenols Recovery from Grape Pomace: A Comparison of Pressurized and Atmospheric Extractions with Deep Eutectic Solvent Aqueous Mixtures.从葡萄皮渣中提高多酚回收率:使用深共熔溶剂水性混合物进行加压萃取和常压萃取的比较
Antioxidants (Basel). 2023 Jul 18;12(7):1446. doi: 10.3390/antiox12071446.
5
Design and optimization of a semicontinuous hot-cold extraction of polyphenols from grape pomace.设计和优化葡萄渣多酚的半连续冷热提取
J Agric Food Chem. 2012 Jun 6;60(22):5571-82. doi: 10.1021/jf300569w. Epub 2012 May 23.
6
Exploring a Sustainable Process for Polyphenol Extraction from Olive Leaves.探索从橄榄叶中提取多酚的可持续工艺。
Foods. 2024 Jan 15;13(2):265. doi: 10.3390/foods13020265.
7
White grape pomace extracts, obtained by a sequential enzymatic plus ethanol-based extraction, exert antioxidant, anti-tyrosinase and anti-inflammatory activities.采用顺序酶解加乙醇提取法得到的白葡萄渣提取物具有抗氧化、抗酪氨酸酶和抗炎活性。
N Biotechnol. 2017 Oct 25;39(Pt A):51-58. doi: 10.1016/j.nbt.2017.07.002. Epub 2017 Jul 8.
8
Selective Recovery of Polyphenols from Discarded Blueberries ( L.) Using Hot Pressurized Liquid Extraction Combined with Isopropanol as an Environmentally Friendly Solvent.使用热压液体萃取结合异丙醇作为环境友好型溶剂从废弃蓝莓(L.)中选择性回收多酚
Foods. 2023 Oct 8;12(19):3694. doi: 10.3390/foods12193694.
9
The Antidiabetic Effect of Grape Pomace Polysaccharide-Polyphenol Complexes.葡萄渣多糖-多酚复合物的降血糖作用。
Nutrients. 2021 Dec 15;13(12):4495. doi: 10.3390/nu13124495.
10
Evaluation of Rhodiola crenulata and Rhodiola rosea for management of type II diabetes and hypertension.评估大花红景天和红景天对II型糖尿病和高血压的治疗作用。
Asia Pac J Clin Nutr. 2006;15(3):425-32.

引用本文的文献

1
Valorization of Carménère Grape Pomace: Extraction, Microencapsulation, and Evaluation of the Bioactivity of Polyphenols in Caco-2 Cells.佳美娜葡萄渣的增值利用:多酚在Caco-2细胞中的提取、微胶囊化及生物活性评估
Int J Mol Sci. 2025 Aug 19;26(16):7994. doi: 10.3390/ijms26167994.
2
Past and Present of the Antioxidant Studies in Chile: A Bibliometric Study from 2000 to 2024.智利抗氧化剂研究的过去与现在:2000年至2024年的文献计量学研究
Antioxidants (Basel). 2025 Aug 11;14(8):985. doi: 10.3390/antiox14080985.
3
Efficient Conditions of Enzyme-Assisted Extractions and Pressurized Liquids for Recovering Polyphenols with Antioxidant Capacity from Pisco Grape Pomace as a Sustainable Strategy.

本文引用的文献

1
Green Extraction Methods for Polyphenols from Plant Matrices and Their Byproducts: A Review.植物基质及其副产品中多酚的绿色提取方法:综述
Compr Rev Food Sci Food Saf. 2017 Mar;16(2):295-315. doi: 10.1111/1541-4337.12253. Epub 2017 Jan 12.
2
Bioactive Polyphenols from Southern Chile Seaweed as Inhibitors of Enzymes for Starch Digestion.智利南部海藻中的生物活性多酚作为淀粉消化酶抑制剂。
Mar Drugs. 2020 Jul 8;18(7):353. doi: 10.3390/md18070353.
3
In vitro inhibitory effects of Chinese bayberry (Myrica rubra Sieb. et Zucc.) leaves proanthocyanidins on pancreatic α-amylase and their interaction.
酶辅助提取和加压液体从皮斯科葡萄渣中回收具有抗氧化能力的多酚的高效条件作为一种可持续策略。
Molecules. 2025 Jul 15;30(14):2977. doi: 10.3390/molecules30142977.
4
The release patterns and potential prebiotic characteristics of soluble and insoluble dietary fiber-bound polyphenols from pinot noir grape pomace digestion and fermentation.黑皮诺葡萄渣消化发酵过程中可溶性和不溶性膳食纤维结合多酚的释放模式及潜在益生元特性
Food Chem X. 2025 Jun 21;29:102694. doi: 10.1016/j.fochx.2025.102694. eCollection 2025 Jul.
5
Comparative Analysis of Sustainable Extraction Methods and Green Solvents for Olive Leaf Extracts with Antioxidant and Antihyperglycemic Activities.具有抗氧化和降血糖活性的橄榄叶提取物可持续提取方法及绿色溶剂的比较分析
Antioxidants (Basel). 2024 Dec 12;13(12):1523. doi: 10.3390/antiox13121523.
6
Pressurized Liquid Extraction of Antioxidant and α-Amylase-Inhibitory Compounds from Red Seaweed Using Water-Ethanol Mixtures.采用水-乙醇混合物从红海藻类中加压液体萃取抗氧化和α-淀粉酶抑制剂化合物。
Molecules. 2024 Oct 24;29(21):5018. doi: 10.3390/molecules29215018.
7
The high-value and sustainable utilization of grape pomace: A review.葡萄渣的高值化与可持续利用:综述
Food Chem X. 2024 Sep 17;24:101845. doi: 10.1016/j.fochx.2024.101845. eCollection 2024 Dec 30.
8
Valorization of Grape Pomace: A Review of Phenolic Composition, Bioactivity, and Therapeutic Potential.葡萄皮渣的增值利用:酚类成分、生物活性及治疗潜力综述
Antioxidants (Basel). 2024 Sep 19;13(9):1131. doi: 10.3390/antiox13091131.
9
Recent advances incombined Avant-garde technologies (thermal-thermal, non-thermal-non-thermal, and thermal-non-thermal matrix) to extract polyphenols from agro byproducts.联合先锋技术(热-热、非热-非热和热-非热基质)从农业副产物中提取多酚的最新进展。
J Food Drug Anal. 2023 Dec 15;31(4):552-582. doi: 10.38212/2224-6614.3479.
10
Enhanced Polyphenols Recovery from Grape Pomace: A Comparison of Pressurized and Atmospheric Extractions with Deep Eutectic Solvent Aqueous Mixtures.从葡萄皮渣中提高多酚回收率:使用深共熔溶剂水性混合物进行加压萃取和常压萃取的比较
Antioxidants (Basel). 2023 Jul 18;12(7):1446. doi: 10.3390/antiox12071446.
体外杨梅(Myrica rubra Sieb. et Zucc.)叶原花青素对胰腺 α-淀粉酶的抑制作用及其相互作用。
Bioorg Chem. 2020 Aug;101:104029. doi: 10.1016/j.bioorg.2020.104029. Epub 2020 Jun 19.
4
Glycerol as Alternative Co-Solvent for Water Extraction of Polyphenols from Pomace: Hot Pressurized Liquid Extraction and Computational Chemistry Calculations.甘油作为水提葡萄渣中多酚的替代共溶剂:热压液相萃取和计算化学计算。
Biomolecules. 2020 Mar 20;10(3):474. doi: 10.3390/biom10030474.
5
The Impact of Temperature and Ethanol Concentration on the Global Recovery of Specific Polyphenols in an Integrated HPLE/RP Process on Carménère Pomace Extracts.温度和乙醇浓度对 Carmenère 葡萄渣提取物在综合 HPLE/RP 工艺中特定多酚类物质全球回收率的影响。
Molecules. 2019 Aug 29;24(17):3145. doi: 10.3390/molecules24173145.
6
Proanthocyanidins: A comprehensive review.原花青素:全面综述。
Biomed Pharmacother. 2019 Aug;116:108999. doi: 10.1016/j.biopha.2019.108999. Epub 2019 May 27.
7
Diploid Genome Assembly of the Wine Grape Carménère.酿酒葡萄佳美娜的二倍体基因组组装。
G3 (Bethesda). 2019 May 7;9(5):1331-1337. doi: 10.1534/g3.119.400030.
8
Flavonoids and Other Phenolic Compounds from Medicinal Plants for Pharmaceutical and Medical Aspects: An Overview.药用植物中的黄酮类化合物及其他酚类化合物在制药和医学方面的概述
Medicines (Basel). 2018 Aug 25;5(3):93. doi: 10.3390/medicines5030093.
9
Optimization of Extraction of Hypoglycemic Ingredients from Grape Seeds and Evaluation of α-Glucosidase and α-Amylase Inhibitory Effects In Vitro.从葡萄籽中提取降血糖成分的优化及其体外α-葡萄糖苷酶和α-淀粉酶抑制活性评价。
J Food Sci. 2018 May;83(5):1422-1429. doi: 10.1111/1750-3841.14150. Epub 2018 Apr 18.
10
Inhibition of α-glucosidase, α-amylase, and aldose reductase by potato polyphenolic compounds.马铃薯多酚化合物对α-葡萄糖苷酶、α-淀粉酶和醛糖还原酶的抑制作用。
PLoS One. 2018 Jan 25;13(1):e0191025. doi: 10.1371/journal.pone.0191025. eCollection 2018.